离散正交变换及其应用
离散正交变换及其应用
正交变换是欧式空间中的一种重要的变换,是保持内积和长度不变的线性变换。正交变换的应用领域十分广泛,包括数学、理论物理、信号分析、图像处理、机械故障诊断、医学成像等,特别是在语音、图像压缩中起到关键作用。对数字信号的离散正交变换(orthogonal transformation)包括离散最佳变换(K-L变换)、离散傅里叶变换(DFT)、离散余弦变换(DCT)、离散沃尔什变换、离散哈尔变换、离散小波变换等,这些变换矩阵的转置是反变换矩阵,反之亦然,且变换矩阵乘以该矩阵的转置之结果只有对角线上元素为1,其余元素为0。离散正交变换在信号频谱分析、数据压缩、信号编码、信号滤波等处理方面有十分重要的作用。最后用实例说明了如何使用正交变换对信号进行滤波处理。
(1)离散K-L变换

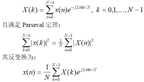
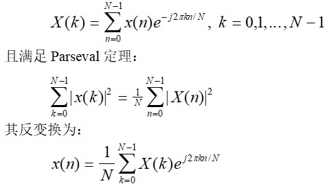
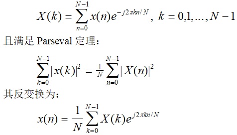
(2)离散付利叶变换
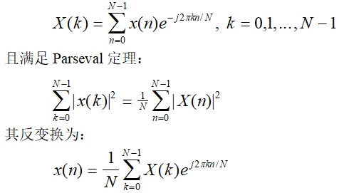
(2.1)一维离散付利叶变换
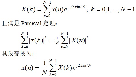
设随机过程x(t)的离散采样序列为x(n),则其离散付利叶变换为:

离散付立叶变换有许多特性和快速算法,可参考有关文献。
(2.2)二维离散付利叶变换

其快速算法和它的相关性质可参考相关文献。
(3)离散沃尔什变换

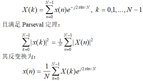
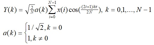
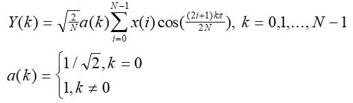
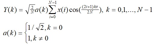
(4)离散余弦变换
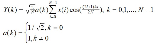
(4.1)正变换
设有信号序列x(i),其离散余弦变换(DCT)可定义为:

(4.2)反变换

(4.3)正变换快速算法

(4.4)反变换快速算法

(5)离散哈尔变换
N× N维哈尔变换矩阵定义为(N为2的整数幂):

例如Har(3)为:

离散哈尔变换为:
H = Har(p)X/N
反变换为:
X=Har(p)H
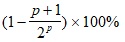
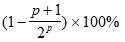
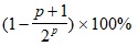
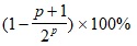
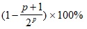
哈尔变换的突出特点是变换矩阵中的零元素个数占全部元素的百分比为:

当p>3时Har(p)中的零元素个数超过一半。
(6)离散小波变换
小波是一种长度有限、平均值为零的特殊波形。小波由一族小波基函数构成,它可以描述信号时间(空间)域和频率(尺度)域的局部特性。常用的小波函数有Haar、Daubenchies(dbN)、Morlet、Meryer、Symlet、Coiflet、Biothogonal等小波。傅里叶变换将信号分解成一系列不同频率的正弦波叠加,而小波变换将信号分解成一系列小波叠加,这些小波是由一个母小波经过平移、伸缩而得到的。离散小波变换是一种快速线性运算,它对长度是2的幂次数据向量进行操作,将它变换成同样长度但在数字上不同的量,小波变换是可逆的变换。小波变换分析既可以看到信号的概貌又可以看到信号的细节,小波变换后的系数比较大就表明小波和信号波形的相似性较大,反之则比较小。小波变换已被广泛地应用于信号处理、图象处理、语音识别等领域。
下图直观地表示了小波变换信号滤波的过程,假设信号的长度为32点,产生4个信号分量,选择其中的某些分量来合成信号,达到滤波的效果。

参考:离散小波变换用于信号滤波
参考文献
[1 ]曾孔德,胡广书 编著. 数字信号处理[M]. 北京 清华大学出版社,1988年6月第1版.
[2] 何振亚 编. 数字信号处理的理论与应用(上、下)[M]. 北京 人民邮电出版社,1983年第1版.
[3] [美]W.H.Press, S.A.Teukolsky, W.T.Vetterling, B.P.Flannery 著. 傅祖芸,赵梅娜,丁岩 等译. C语言数值算法程序大全(第二版)[M]. 北京 电子工业出版社,1995年10月第1版. 第502-515页.
Numerical Recipes in C, The Art of Scientific Computing, Second Edition, Cambridge University Press, 1988, 1992.
[4] 徐佩霞,孙功宪 编著. 小波分析与应用实例[M]. 北京 中国科学技术大学出版社,1996年7月第1版.
[5] 李金宗 编. 离散正交变换导论[M]. 北京 高等教育出版社,1989年6月第1版.
(7)使用快速余弦变换滤波
定义通带频率范围,可以定义多个通带,使用余弦变换对信号全程或者当前信号进行滤波。当多通道信号的采样率相同时,可以选择对信号全部通道进行滤波处理。菜单操作:《处理》→ 余弦变换滤波》,出现如下对话框。

余弦变换系数与信号频率有对应关系(0-Fs/2)。对话框中显示了原始信号波形和滤波后信号波形,可以观察滤波效果,从而由用户来确认是否采用该方法来对信号进行滤波处理。因为对整个通道全程的处理是分段进行的,段与段之间的连接处可能产生不连续变化,如果信号是零均值的这种不连续会得到缓和。
(8)在变换域处理信号
将较长的信号分成多个小片段(每段样点数限制在[64, 32768]之间),对每段信号进行正交变换后得到变换系数,然后对变换后系数进行取舍处理之后实施反变换,达到对信号进行滤波的目的。菜单操作:《处理》→ 《正交变换处理》,出现如下对话框,设置变换处理参数后点击“计算”按钮观察本段信号处理效果,点击“应用”对当前通道显示段或者全程进行处理,点击“复原”撤销应用处理。正交变换方法可以从余弦变换、Walsh变换、Coiflets小波(coif2) 变换、Haar小波(db1) 变换、Daubenchies小波(db15) 变换、Symlets小波(sym5) 、Biothogonal小波(Bior2.4) 变换、Biothogonal小波(Bior3.3) 变换中选择。变换域处理方法可以选择:多通带处理、低幅度归零、高幅度归零、无处理。当选择“多通带处理”时,可以在系数波形中拖放鼠标弹出对话框来设置通带或阻带,或者在通带列表框中双击鼠标左键或回车弹出对话框定义通带。当选择“低幅度归零”或则“高幅度归零”时,可以输入归零门限,此门限值是系数最大值的百分数(0-100)。在对话框中显示了原始信号波形、变换后系数、经过处理反变换后波形,由此可以观察信号处理效果,以决定是否采用该方法对信号实施处理。当参数被修改而没有更新显示效果时,“计算”按钮的背景是红色的,提示用户需要点击该按钮使参数设置生效。如果输入信号是零均值的或者事先处理成零均值的(去基线漂移),那么信号滤波后的段与段之间的连接处发生不连续的情况就可能不太明显。
例1:正交变换为:Biothogonal 3.3 ,系数处理是小于10%的幅度归零。这种低幅系数归零处理方法也是信号(语音、图像等)有损失压缩的关键步骤(参考:多通道信号数据压缩存储)。

选择其他小波变换,有更多的小波变换选项可供选择。

例2:正交变换为余弦变换,系数处理是多通带处理,保留127-159,189-221之间的系数,其余设置成零。

联系作者:chengbowork@163.com
相关文章
多通道信号分析软件系统
生物医学信号处理与分析软件系统设计
曲线拟合软件
离散小波变换用于信号滤波
多维特征参数机器学习算法
多维特征参数机器学习软件
Kohonen自组织特征映射神经网络(环形和球面形网络)
矩阵的三维图形显示软件
图片浏览软件工具
主成分分析(K-L变换)与信号的分解与合成(滤波)
信号的样本熵序列计算
信号的双谱分析
信号的经验模态分解(EMD)
希尔伯特(Hilbert)变换信号瞬时频率计算
给定概率分布的随机变量仿真
信号的特征参数计算
数据分布点纹图
多通道信号数据压缩存储
图像处理基本算法及软件简介
信号功率谱估计
特殊函数计算器
滤波器设计、自适应滤波、匹配滤波方法
- 点赞
- 收藏
- 关注作者
评论(0)