数据分布点纹图
数据分布点纹图
使用图形或图像来揭示随机信号中蕴含的信息非常直观,相比一堆复杂数据更容易被人脑学习、接受和理解。数据点纹图就是这样一种数据的图形表达方法。将一个圆形分成m个扇形区域,用于展示随机信号序列{ x(t),t = 0, 1, 2, …, N-1 }中x(t)~x(t+i),i = 1, 2, …, m的关系,扇形中的一个点代表一个x(t)~x(t+i)数据对,x(t)与该点的径长成正比,x(t+i)与扇区内该点的辐角成正比。在一个圆内可以同时观察到延时i从1到m的x(t)~x(t+i)数据关系图。
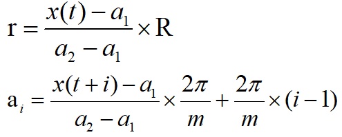
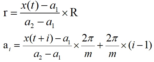
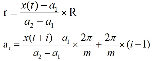
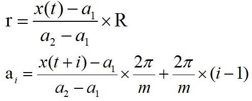
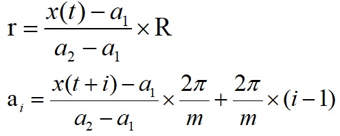
设随机信号序列x(i),i=0, 1, …, N-1,其取值范围是[a1, a2],在矩形区域(x1,y1)-(x2,y2)内绘制数据分布点纹图。以矩形区域为限绘制一个圆,圆心坐标是(x0, y0),x0=(x1+x2)/2,y0=(y1+y2)/2,圆的半径为R,R = MIN((x2-x1)/2, (y2-y1)/2),将圆内分成m各扇形区域,如下图所示。

第i各扇形区域的角度范围是2π/m*(i-1)~2π/m*i,i=1, 2, …, m。
将数据x(t)~x(t+i)的关系在第i个扇形区域内表达,其方法是:以x(t)表示径长r,以x(t+i)表示辐角ai,绘制离散点。

i=1, 2, …, m。
数据对(x(t), x(t+i)),在第i个扇形区域内的点位置为(xp, yp):
![]()
将所有的点(t=0, 1, 2, …, N-i-1)绘制完成后,形成数据分布的点纹图。数据点纹图可以将x(t)~x(t+i), i=1, 2, …, m的关系同时显示出来。以下x(t), x(t+i)值的大小在扇形区域中绘制的点位置示意图。

如果x(t)与x(t+i)是线性关系,那么极径长度和辐角也成线性关系。数据点纹图可以应用于心电、脉搏、呼吸、心音等信号图示分析。
数据分布点纹图例子
多道信号分析软件,对当前通道信号绘制数据点纹图菜单操作:《分析》→《通用分析》→《数据点纹图》,出现如下对话框:

要求用户输入辐条数,即扇形区域个数,以及梯度颜色ID,使用当前通道全程数据还是使用当前显示段数据绘制图形。
例1:一段5分钟心电图,采样率为200Hz,数据分布点纹图。

例2:一段仿真信号,正弦信号+微小高斯噪声,采样率100Hz,正弦波频率10Hz,信号长度150秒

例3:心率和心电图的点纹图

例4:随机信号x(t) = 0.9x(t-1) + w(t),w(t)是高斯白噪声。

参考文献
[1] 谢正祥,陈良迟,张世强 等著. 医学信号数字处理技术[M]. 北京 科学技术文献出版社, 1992年10月第1版,第121-124页。
联系作者:chengbowork@163.com
相关文章
多道信号分析软件系统
生物医学信号处理与分析软件系统设计
曲线拟合软件
离散小波变换用于信号滤波
多维特征参数机器学习算法
多维特征参数机器学习软件
Kohonen自组织特征映射神经网络(环形和球面形网络)
矩阵的三维图形显示软件
图片浏览软件工具
主成分分析(K-L变换)与信号的分解与合成(滤波)
信号的样本熵序列计算
信号的双谱分析
信号的经验模态分解(EMD)
希尔伯特(Hilbert)变换信号瞬时频率计算
给定概率分布的随机变量仿真
信号的特征参数计算
- 点赞
- 收藏
- 关注作者
评论(0)