信号的经验模态分解(EMD)
信号的经验模态分解(EMD)
经验模态分解(Empirical Mode Decomposition, EMD)方法是黄锷(N. E. Huang)在1998年提出的一种新型自适应信号时频处理方法,特别适用于非线性非平稳信号的分析处理。EMD的出发点是把信号内的震荡看成是局部的,它把信号分解成若干个突出信号局部特征的内蕴模态分量(Intrinsic Mode Functions, IMF)之和。EMD方法在不同的工程领域得到有效应用,例如大气、海洋、天体观测资料与地震记录分析、机械故障诊断等。
信号可分为单分量信号和多分量信号两大类,单分量信号在任意时刻都只有一个频率,该频率称为信号的瞬时频率。多分量信号则在某些时刻具有各自的瞬时频率。
瞬时频率是对于单分量信号x(t)而言的,其瞬时频率定义如下。

x(t)是单分量信号(调幅调频信号),z(t)为x(t)的解析信号,argz(t)表示z(t)的相位角,f(t)是瞬时频率。z(t) = x(t) + jH[x(t)],是复信号,其中H[x(t)]是x(t)的希尔伯特(Hilbert)变换。
基于极值点的时间跨度测量方法,都能有效地找出信号的所有模态,从某一极大值(或者极小值)到另一个极大值(或者极小值),定义信号的局部波动特征,称这个时间跨度为基于极值点的特征尺度参数,它反映了信号不同模态的特征。
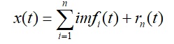
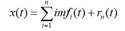
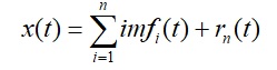
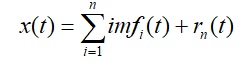
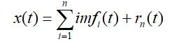
经验模态分解(EMD)是直接针对数据的、自适应的和不需预先确定分解基函数的非平稳信号分析方法。EMD分解基于这样的假设:信号是由各种不同的简单固有振荡模态分量组成的,这些振荡模态分量可能是线性的,也可能是非线性的,它们具有完全意义上的窄带性质,即瞬时频率唯一。通过EMD方法,信号x(t)被分解成一系列的内蕴模态分量,表示如下:

式中,imfi(t)是分解获得的第i个imfi,rn(t)是经分解筛除得到n个IMF后的信号残余分量,常常代表着信号的直流分量或信号的趋势。
EMD按频段由高到低地分解出的内蕴模态分量满足以下两个条件:
⑴模态分量在整个时间范围内,局部极值点和过零点的数目必须相等,或最多相差一个;
⑵在任意时刻点,局部最大值的包络(上包络线)和局部最小值的包络(下包络线) 平均必须为零。
根据这两个条件,不断迭代筛除得到模态分量,其中要通过不断地求解由所有的极大值、极小值构成三次样条包络确定的瞬时平均,不断地进行筛除,即从信号中去除瞬时平均,最后按一定的误差规则使筛除过程停止,得到一个内蕴模态分量。经过以上不断地循环,直到信号的残余分量rn(t)是一个单调函数,不能再分解出模态分量时,EMD分解才结束。
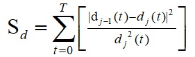
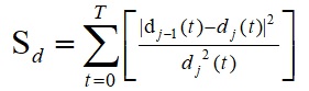
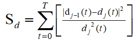
EMD分解产生一个内蕴模态分量(Intrinsic Mode Functions, IMF)的步骤:①找到残余序列r(t)的所有极大值和极小值,初始时(n=0)残余序列等于输入的原始序列x(t);②用三次样条插值方法对极大值点进行插值形成上包络eup(t), 对极小值点进行插值形成下包络edn(t);③计算平均值m(t)=(eup(t) + edn(t))/2;④计算细节d(t)=r(t)-m(t);⑤将d(t)赋值到r(t), d(t)→r(t),重复①到④,直至迭代满足停止准则,此时输出的d(t)就是一个内蕴模态分量(IMF);⑥计算rn(t),赋值到r(t),重复①到⑤,计算下一个IMF,直到d(t)为零。
在计算出n个IMF分量后的残余序列计算:

计算IMF分量时的迭代停止准则是Sd<th(th是门限,取值范围为0.2~0.3,如th=0.25),其中dj(t)是第j次迭代的细节序列。

当所有IMF分量求出之后,d(t)等于零。
参考文献
[1] Huang N E., shen Z. Long S R. 1998. The empirical mode decomposition and hilbert spectrum for nonlinear and non-stationary time series analysis[J]. Proc. R. Soc. Lond A, (454):903-995.
[2] 徐平, 郝旺身 编著. 振动信号处理与数据分析[M]. 北京 科学出版社,2016年8月第1版. 第164-171页.
经验模态分解(EMD)举例
对一段2s的脑电信号进行经验模态分解,原始信号分解成8个模式分量,可以选择其中的一些分量来合成新的信号,达到滤波的效果。利用多道信号分析软件对当前通道显示段信号来进行经验模式分解,菜单操作为:《处理》→ 《经验模式分解》,出现对话框要求用户输入模式分量数目m(2≤ m≤ 32),在输入8确定之后出现如下信号分析界面,在界面上可以选择其中的一些模式来合成新的信号,并替换当前显示信号段(“应用”按钮)。模式数目由用户指定,不能太多也不能太少,太多会致使一些高模式分量为0,太少分量又不足得到所有的模式序列。

在显示波形中点击鼠标右键弹出如下菜单,包含“全程、功率谱、显示幅度、自动幅度、分量反选,分量能量选择,保存模式序列,关闭”菜单项,其中“全程”是将展开后显示的波形后恢复到全程显示;“功率谱”是估计合成信号的功率谱;“显示幅度”是设置显示的幅度范围;“自动幅度”会根据每个分量的信号幅度范围自动调整波形显示,而不是根据全局幅度范围显示波形;“分量反选”将合成信号所使用的模式分量反过来选择;“分量能量选择”输入合成信号的能量门限,来选择前几个参与合成的模式分量;“保存模式序列”将分解的各模式序列保存成文件,文件格式为*.DSS;“关闭”退出此窗口。

以下是将模式序列保存后(*.DSS),再用多道信号分析软件打开后的结果,其中波形幅度按照每个序列的实际幅度自动调节显示的,把小幅度模式序列的波动也看的清楚些。

波形的展开显示,如果原始信号比较长,则全程显示波形挤在一起,看不到细节,此时可以从时间轴选一段信号来显示。具体操作是:在波形中需要显示的起点按下鼠标左键不松开移动鼠标至显示终点后松开鼠标按键,此时弹出对话框要求用户输入显示时间段。



通过输入“显示幅度”或者“自动幅度”菜单项,可改变波形的显示幅度,凸显微小幅度分量的变化。
联系作者:chengbowork@163.com
相关文章
多道信号分析软件系统
生物医学信号处理与分析软件系统设计
曲线拟合软件
离散小波变换用于信号滤波
多维特征参数机器学习算法
多维特征参数机器学习软件
Kohonen自组织特征映射神经网络(环形和球面形网络)
矩阵的三维图形显示软件
图片浏览软件工具
主成分分析(K-L变换)与信号的分解与合成(滤波)
信号的样本熵序列计算
信号的双谱分析
- 点赞
- 收藏
- 关注作者
评论(0)