信号双谱分析
信号双谱分析
双谱估计算法
双谱(Bispectrum)是分析非线性、非高斯、非最小相位的平稳随机信号的有力工具,在雷达、声呐、生物医学、故障诊断等领域得到成功应用。双谱具有较好的抑制高斯噪声的能力,但对于非高斯噪声无能为力。随着计算机技术的发展,对于双谱和高阶谱的算法及应用研究已经越来越重视且深入。
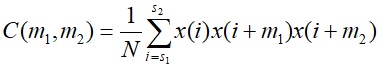
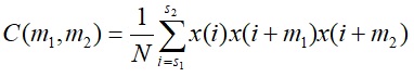
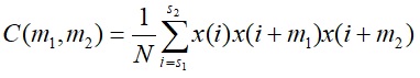
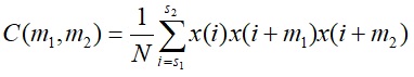
设x(i),i=0,1, …, N-1,是零均值平稳过程的一个样本,则三阶累积量估计为:

其中:

双谱密度函数估计为:

x(n)的1.5维谱定义为三阶累积量的对角切片c(i)=C(i,i)的一维傅里叶变换,即双谱切片谱,和双谱计算相比这样可以大大降低运算量。
参考文献
[1] 张贤达 著. 现代信号处理[M]. 北京 清华大学出版社,2002年10月第2版.
[2] 张严,王树勋. 非线性相位耦合的切片谱分析方法[J]. 电子学报,1998年,第26卷第10期,第104-109页.
双谱估计举例
使用多道信号分析软件,对仿真相位耦合信号进行双谱、双谱切片谱以及功率谱估计。
菜单操作:《分析》→《通用分析》→《双谱估计》;《分析》→《通用分析》→《双谱切片谱》;《分析》→《通用分析》→《功率谱估计》。
(1)例子1:二次相位耦合信号仿真x(n):

其中f1=10, f2=13, f3=f1+f2=23, f4=7, f5=28, f6=f4+f5=35, 采样率:Fs=100Hz
a1, a2, a3, a4, a5, a6是相位,满足a3 = a1+a2, a6 = a4+a5。a1=pi/10, a2=pi/5, a3=3pi/10, a4=pi/2, a5=pi/4, a6=3pi/4。
原始信号:

信号双谱估计结果:



双谱切片谱估计结果:

功率谱估计结果

(2)例子2:第2个例子是x(t)=sin(2π10t/Fs-π/3) + sin(2π15t/Fs+π/4) + sin(2π25t/Fs+π/12), Fs=100Hz, t=0,1,…,N-1。

双谱估计结果:


双谱切片谱:

功率谱估计:

联系作者:chengbowork@163.com
相关文章
- 点赞
- 收藏
- 关注作者
评论(0)