信号的特征参数计算
信号的特征参数计算
设随机信号为x(i),i=0, 1, …, N-1,为了便于对该信号展开分析,提取信号的时域和频域特征参数,如幅度差、均值、标准差、变异系数、四分位跨度、过零率、均值频率、峰值频率、中值频率、频率标准差、能量聚度、频率变异系数等,用来描述信号的特点,探讨特征参数随时间的变化规律,以及对信号进行分类和识别,是一项重要的基础性工作。
(1)均值与方差,变异系数;(2)众数;(3)中值;(4)过零率;(5)峰值率;(6)平均偏差;(7)偏斜度;(8)峰度;(9)自相关函数估计;(10)互相关函数估计;(11)卷积计算;(12)直方图统计;(13)四分位跨度;(14)峰值频率;(15)均值频率;(16)中值频率;(17)频率标准差;(18)四分位频宽;(19)频率变异系数;(20)频谱峰度;(21)频谱偏度;(22)能量聚度;(23)频谱熵比。
(1)均值与方差,变异系数
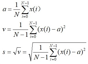
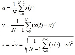
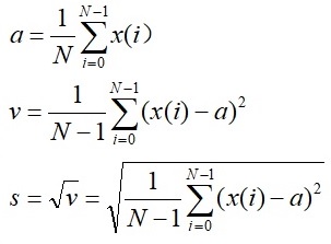
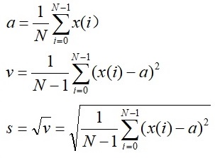
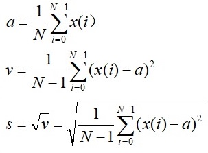
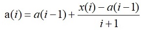
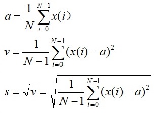
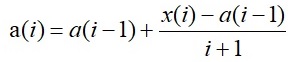
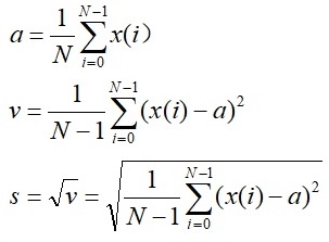
由信号序列x(i),i = 0, 1, …, N-1估计其均值a与方差v,以及标准差s:

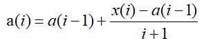
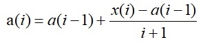
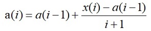
可用递推方法进行均值计算:假设i时刻的均值为a(i),且a(-1)=0,则i时刻的均值可由i-1时刻的均值算得:
![]()
变异系数(Coefficient of Variation,CV):当需要比较两组数据离散程度大小的时候,如果两组数据的测量尺度相差太大,或者数据量纲的不同,直接使用标准差来进行比较不合适,此时就应当消除测量尺度和量纲的影响,于是定义变异系数(CV)为标准差与均值的百分比:CV = s/a*100。
(2)众数
众数(由称为典型值)是样本集中出现次数最多的值。例如,样本:
10,2,9,15,2,3,9,8,10,2,5
2出现了3次,是出现次数最多的数,因而2是上述序列的众数。
在实际中,如果信号序列是浮点数,或者变化范围很大,则给具有鲁棒性的众数计算带来困难。因此,这里采用一种近似的计算法。假设v1,v2分别是信号序列x(i)的最小值和最大值,将数据x(i)的幅度值限制在[0, 255]之间的整数k(i),0≤ k(i)≤ 255,即:
k(i) = round(v) = round((x(i)-v1)/(v2-v1)*255)
round()为四舍五入函数。如果整数序列k(i),i=0, 1, …, N-1中出现次数最多的值为K,则近似地认为序列x(i)的众数为Mode=K*255/(v2-v1)+v1。如果限制的范围扩大,如[0, 8191],则会使得计算出来的众数值更加精确。实质上众数是数据分布直方图顶点对应的幅度值。
(3)中值
如果对数值序列中的数按从小到大进行排序后,位于中间的那个数就称为中值。如果数值的点数是偶数则取中间两个值的平均作为中值。
(4)过零率
平稳随机过程x(t)与电平x=a在单位时间内交叉的次数称为阈交密度,当a为x(t)的均值时,此值称为零叉密度。这里定义过零率(zr)为零交叉密度(zd)的一半,zr=zd/2。
对于随机信号序列(时间序列)x(i), i = 0, 1, …, N-1,假设其均值为a,采样率为Fs,则过零率zr(次/秒)可近似计算:
zr=0;
for(i=0;i<N-1;i++){
s=(x(i)-a)*(x(i+1)-a);
if(s<0) zr++;
}
zr=zr/2;
zr=zr*Fs/(N-1);
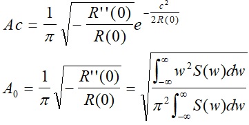
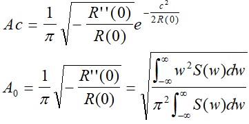
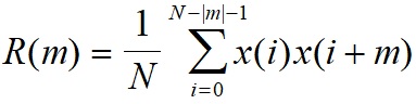
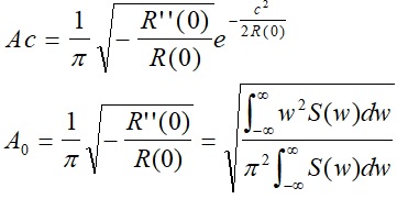
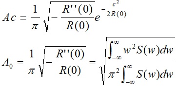
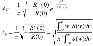
假设信号是平稳高斯过程,它的域交密度为Ac(域值为c), 则:

其中R(0)是相关函数,R″(0)是相关函数的二阶导数,S(w)是功率谱密度。由上式可知对于单频正弦信号其过零率应与其频率相等。
(5)峰值率
峰值率定义为随机过程x(t)在单位时间内出现极大值或者极小值的次数。对于时间序列x(t)可用下述方法近似计算峰值率pr(次/秒),Fs是信号的采样率。
pr=0
for(i=0; i<N-2; i++){
s1=x(i+1)-x(i);
s2=x(i+2)-x(i+1);
s=s1*s2;
if(s<0) pr++;
}
pr=pr/2;
pr=pr*Fs/(N-2);
对于正弦信号其峰值率应当等于信号频率。峰值率相当于信号序列差分过零率,凸显了高频成分,通常峰值率大于过零率,而对于正弦信号二者相等。
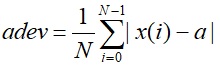
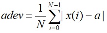
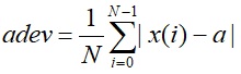
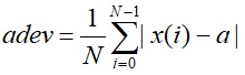
(6)平均偏差
设随机信号序列x(i), i=0, 1, 2, …, N-1,其平均值为a,那么平均偏差为adev:
![]()
(7)偏斜度
设随机信号序列x(i), i=0, 1, 2, …, N-1,其平均值为a,标准差为s,那么偏斜度(skew)计算为

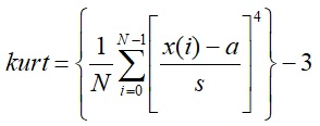
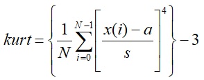
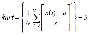
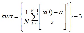
(8)峰度
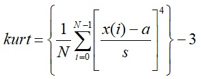
设随机信号序列x(i), i=0, 1, 2, …, N-1,其平均值为a,标准差为s,那么峰度(kurt)计算为

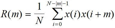
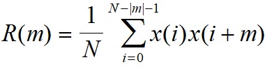
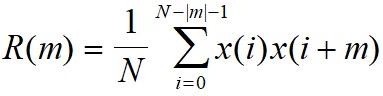
(9)自相关函数估计
自相关函数无偏估计
![]()
式中假设x(i)的均值为零,如果均值不为零,则应先去掉均值后再做上述计算。在上式无偏估计中当m接近N时,估计误差增大,当m较大时较少使用无偏估计。
自相关函数有偏估计

式中假设x(i)的均值为零,如果均值不为零,则应先去掉均值后再做上述运算。在上式有偏估计中当m接近N时,估计R(m)接近于零。
(10)互相关函数估计
设有两个随机信号序列x(i)和y(i),i = 0, 1, 2, …, N-1,则它们的互相关函数可用下式来估计:

式中假设x(i),y(i)的均值为零,如果均值不为零,则应先去掉均值后再做上述计算。在上式当k=1时是无偏估计,当k=0时是有偏估计。
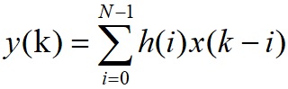
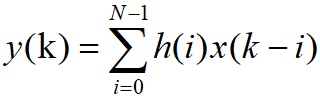
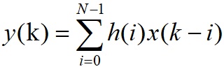
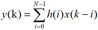
(11)卷积计算
设有两个有限长序列h(i)和x(i),h(i)的长度为N,x(i)的长度为M,则它们的线性卷积为:

上式中假设在序列长度以外的值为零。
(12)直方图统计

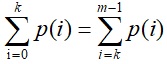
(13)四分位跨度
设随机信号序列为x(i),i=0, 1, 2, …, N-1,将这N个数按由小到大排列,构成新的序列y(i),i = 0, 1, 2, …, N-1,满足y(0)≤ y(1) ≤y(2) ≤…≤y(N-1),取四分位位置k=INT((N-1)/4),INT()表示取整数部分,则四分位低端值为y(k),四分位高端值为y(N-1-k),四分位跨度为Q=y(N-1-k)-y(k)。如果k=INT((N-1)/2),则y(k)是中位数(中值)。

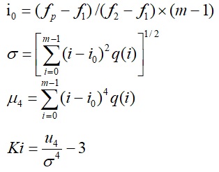
(14)峰值频率
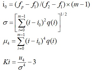
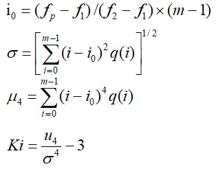
设随机信号序列{x(i),i=0, 1, 2, …, N-1}的功率谱为p(i),i = 0, 1, …, m-1,对应的频率范围为[f1,f2],设p(i)中的最大值Pmax对应的序号为Imax,则峰值频率为fpeak = f1+(f2-f1)/(m-1)*Imax。
Pmax=MAX{ p(i), i=0,1, …, m-1 }=p(Imax)
如果f1=0, f2=Fs/2(Fs是信号的采样率),那么fpeak=Fs/(2*(m-1))*Imax。
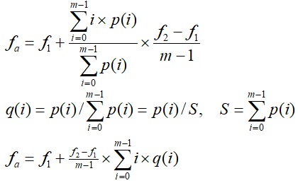
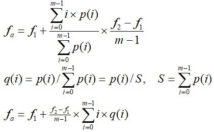
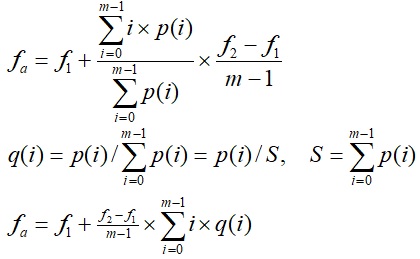
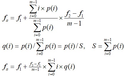
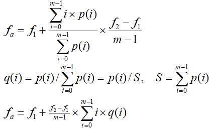
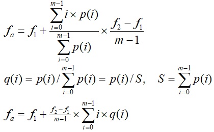
(15)均值频率
设信号序列{x(i),i=0, 1, 2, …, N-1}的功率谱为p(i),i = 0, 1, …, m-1,对应的频率范围为[f1,f2]。
那么均值频率fa为:

其中q(i)是归一化功率谱,把q(i)看成是概率密度函数,求平均值。
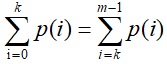
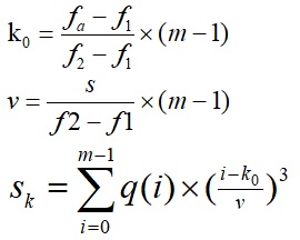
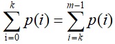
(16)中值频率
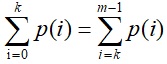
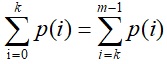
设随机信号序列{x(i),i=0, 1, 2, …, N-1}的功率谱为p(i),i = 0, 1, …, m-1,对应的频率范围为[f1,f2]。
寻找两端面积相等的点k,使得:

那么中值频率fm为:

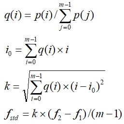
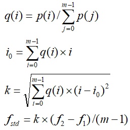
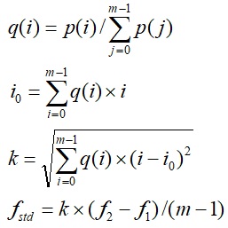
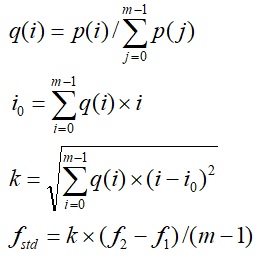
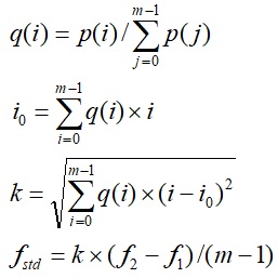
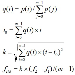
(17)频率标准差
设随机信号序列{x(i),i=0, 1, 2, …, N-1}的功率谱为p(i),i = 0, 1, …, m-1,对应的频率范围为[f1,f2]。q(i)是p(i)的归一化功率谱,那么频率标准差fstd为:

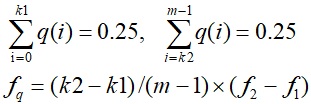
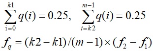
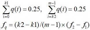
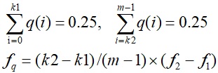
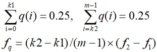
(18)四分位频宽
设随机信号序列{x(i),i=0, 1, 2, …, N-1}的功率谱为p(i),i = 0, 1, …, m-1,对应的频率范围为[f1,f2]。q(i)是p(i)的归一化功率谱,寻找k1和k2使q(i)的两端之和为0.25,那么四分位频宽fq为:

(19)频率变异系数
频率变异系数定义为频率标准差除以均值频率×100%,即:fcv=fstd/fa×100%。频率变异系数可以衡量功率在各频率点上的离散程度。
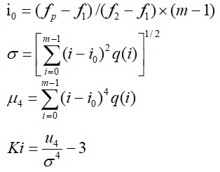
(20)频谱峰度
峰度是用来反映频数分布曲线顶端尖峭或者扁平程度的指标。其定义为四阶中心矩除以标准差的四次方减去3。频谱峰度表征功率谱密度曲线在峰值频率处的尖度。频谱峰度是和正态分布相比较而言统计量,如果峰度大于3,峰的形状比较尖,比正态分布峰要陡峭,反之亦然。
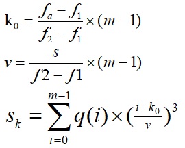
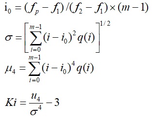
设随机信号序列{x(i),i=0, 1, 2, …, N-1}的功率谱为p(i),i = 0, 1, …, m-1,对应的频率范围为[f1,f2],q(i)是p(i)的归一化功率谱,fp是峰值频率,频谱峰度(Ki)定义为,

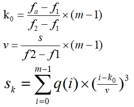
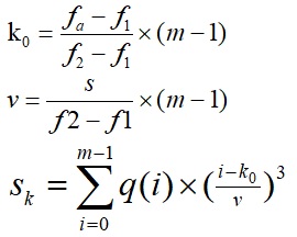
(21)频谱偏度
把归一化功率谱密度q(i), i = 0, 1, …, m-1,看成是概率密度分布,q(i)对应的频率范围为[f1,f2],设均值频率为fa,频率标准差为s,根据偏斜度定义计算频谱偏度(Sk):

频谱偏度的绝对值越大,表明功率谱密度的非对称性越大。
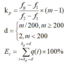
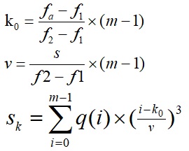
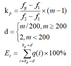
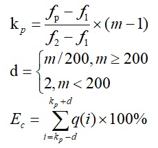
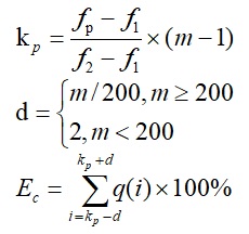
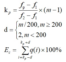
(22)能量聚度
能量聚度是表示在峰值频率附近的能量聚集程度的参数。设随机信号序列{x(i),i=0, 1, 2, …, N-1}的功率谱为p(i),i = 0, 1, …, m-1,对应的频率范围为[f1,f2],q(i)是p(i)的归一化功率谱,fp是峰值频率,那么能量聚度(Ec)计算如下:

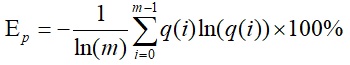
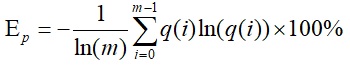
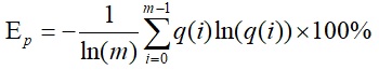
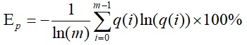
(23)频谱熵比
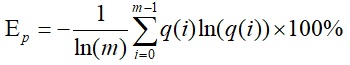
频谱熵比(Ep)是反映功率谱密度曲线扁平程度的参数。设随机信号序列{x(i),i=0, 1, 2, …, N-1}的功率谱为p(i),i = 0, 1, …, m-1,对应的频率范围为[f1,f2],q(i)是p(i)的归一化功率谱,把q(i)看成概率密度分布,那么频谱熵比(Ep)计算如下:
![]()
其中ln()是自然对数,频谱熵比是频谱熵与均匀分布变量熵的百分比,频谱熵比(Ep)越大表示功率谱曲线在各频率点的能量越分散。
参考文献:
[1] 陆大䋮 编著. 随机过程及其应用[M]. 北京 清华大学出版社,1986年8月第1版. 第527-528页(零交和阈交问题).
[2] 马振华 主编. 现代应用数学手册--概率统计与随机过程卷[M]. 北京 清华大学出版社,2000年7月第1版. 第472-473页(零交和阈交问题).
[3] 赵淑清,郑薇 编著. 随机信号分析[M]. 哈尔滨工业大学出版社,1999年6月第1版. 第44页(均值、方差).
[4] 胡广书 编著. 数字信号处理--理论、算法与实现[M]. 北京 清华大学出版社. 2003年8月第2版. 第496-497页(自相关函数).
[5] (美)John A.Rice 著. 田金方 译. 数理统计与数据分析[M]. 北京 机械工业出版社,2016年5月第1版. 第266-273页(分位数、中位数),第134页(样本均值、方差).
[6] 俞卞章,李志钧,金明录 编著. 数字信号处理[M]. 西安 西北工业大学出版社,1994年1月第1版. 第142-143页(均值、方差、自相关、互相关).
[7] 刘筱娴 主编. 医学统计学[M]. 北京 科学出版社,2000年10月第1版. 第21-24页(中位数、百分位数、四分位间距), 第27页(变异系数),第16-18页(直方图、众数).
[8] (美)W.H.Press, S.A.Teukolsky, W.T.Vetterling, B.P.Flannery 著. 傅祖芸,赵梅娜,丁岩 等译. C语言数值算法程序大全(第二版)[M]. 北京 电子工业出版社,1995年10月第1版. 第518-519页(偏度、峰度).
[9] 谢正祥,陈良迟,张世强,卢耘,耿京汉 著. 医学信号数字处理技术及应用[M]. 北京 科学技术文献出版社,1992年10月第1版. 第28-43页(相关与卷积).
[10] 伊彦芝 编著. C语言常用算法与子程序[M]. 北京 清华大学出版社,1991年8月第1版. 第458-480页(中值、众数、相关系数等).
信号特征参数计算举例
例1:原始信号,脑电,采样率1000Hz,总长度5s(每行1s,总共5行),计算这段信号的特征参数。

菜单操作:《分析》→《通用分析》→《概要统计》,对当前通道当前段信号进行概要统计,即提取一些参数来描述这段信号的特点。包括如下特征参数:
最小值,最大值,幅度差,平均值,标准差,四分位跨度,差分标准差,变异系数(%),能量聚度,频谱熵比,峰值频率(Hz),均值频率(Hz),中值频率(Hz),四分位频宽(Hz),频率变异系数(%)等。

例2:事件段信号的特征参数计算,在声音信号中的一个事件段中点击鼠标右键弹出菜单,选择“特征参数”菜单项,计算该事件段的特征参数。


特征参数计算后,显示的对话框中“导出”按钮可以导出特征参数,接续添加到文件之中,提示用户输入特征参数的分类值,例如输入1代表实验组,输入-1代表对照组,文件中累积许多特征参数记录,为事后机器学习提供数据支持。输出文件名为:\Features\feaSumEvent.csv (对应事件段)和\Features\feaSumWave.csv (对应当前显示波形段)。
例3:幅度直方图显示及特征参数。菜单操作:《分析》→ 《通用分析》→《幅度分布图》。

在信号幅度分布直方图中,可以设置直方图绘制的参数,显示信号的特征参数,以及导出参数,导出文件为:\Features\feaHistWave.csv。
联系作者:chengbowork@163.com
相关文章
多道信号分析软件系统
生物医学信号处理与分析软件系统设计
曲线拟合软件
离散小波变换用于信号滤波
多维特征参数机器学习算法
多维特征参数机器学习软件
Kohonen自组织特征映射神经网络(环形和球面形网络)
矩阵的三维图形显示软件
图片浏览软件工具
主成分分析(K-L变换)与信号的分解与合成(滤波)
信号的样本熵序列计算
信号的双谱分析
信号的经验模态分解(EMD)
希尔伯特(Hilbert)变换信号瞬时频率计算
给定概率分布的随机变量仿真
- 点赞
- 收藏
- 关注作者
评论(0)