主成分分析(K-L变换)与信号的分解与合成(滤波)
主成分分析(K-L变换)与信号的分解与合成(滤波)
K-L变换是Karhunen-Loéve变换的简称(KLT),是一种特殊的正交变换。对于给定的向量X = [x(0), x(1), …, x(n-1)]T,经过K-L变换后变为n点向量Y,Y的各分量之间完全去掉了相关性,且Y对X近似的均方误差为最小。因此,K-L变换被称为最佳正交变换。主成分分析(principal component analysis--PCA)是根据原始变量间的相互关系,寻找一组由原变量组成、而彼此不相关的综合变量,从而浓缩原数据信息、简化数据结构、压缩数据规模的一种统计方法。K-L变换和主成分分析是从信号处理角度和数据统计分析角度提出的两个概念,其方法的实质上是一样的。
对于n维向量随机变量X,估计出其n×n维协方差矩阵,计算该矩阵的特征向量和特征值,用特征值由大到小排列特征向量构成一个变换矩阵A,每一行对应一个特征向量。K-L变换,称为最佳正交变换,或者主成分变换,Y=AX,反变换为X=BY,B是A的转置矩阵。根据滤波需要设置Y中的某些分量为零,计算反变换X’=BY’,此时X’就是所需要的滤波结果。
1 协方差矩阵及其特征值与特征向量
一个宽平稳的实随机向量X,其协方差矩阵Cx定义为:

式中E{·}代表求均值运算,U=E{X}是向量X的均值向量。协方差矩阵是实对称的,体现了向量X的各分量之间的相关性,若X的各分量互不相关,那么协方差矩阵Cx中除对角线以外的元素皆为零。K-L变换的思想就是寻求正交变换矩阵A,使得A对X的变换Y的协方差矩阵Cy为对角矩阵,Y=AX。

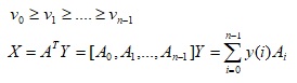
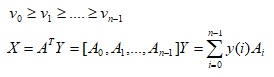
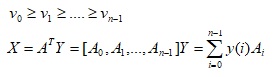
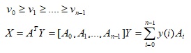
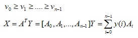
Ai是协方差矩阵Cx的第i个特征值向量,对应的特征值为vi,且按vi由大到小排列,即矩阵A的每一行对应一个特征向量,

所以,Y=AX,X=ATY构成一对正变换和反变换。
由于K-L变换,又称最佳正交变换,或主成分变换,其变换矩阵由协方差矩阵的特征向量组成,特征值和特征向量的计算比较复杂,没有快速算法,而且矩阵维数越高,计算量越大。
2 基于自相关函数的单通道信号的分解与合成
对于时间序列s(t), t = 0, 1, 2, …, N-1,计算自相关序列估值r(i), i=0,1,…,n-1,构建n×n维协方差矩阵Cx,
Cx = { cij } = { r(|i-j|), i,j = 0,1, …, n-1 }, n远小于N。计算协方差矩阵的特征向量矩阵,或者变换矩阵A,对输入时间序列进行变换,将Y(t)向量中的有些元素设置成零(认为是噪声分量)构建向量Yz(t),再对Yz(t)进行反变换,得到滤波后向量Sz(t)=ATYz(t)。
S(t) = [s(t), s(t+1), …, s(t+n-1)]T,Y(t)=AS(t)
3 多通道信号的分解与合成
把输入向量X的各元素对应通道样本值,n是通道个数,利用信号样本估计n×n协方差矩阵Cx,计算协方差矩阵的特征向量矩阵(每行代表一个特征向量)A,对输入向量进行变换Y=AX,然后将Y向量中认为是噪声的分量设置成零,再进行反变换,实现对多通信号的滤波。
参考文献
[1] 胡广书 编著. 数字信号处理-理论、算法与实现[M]. 北京 清华大学出版社,1997年8月第1版,第105-107页.
[2] 刘筱娴 主编. 医学统计学[M]. 北京 科学出版社,2000年10月第1版,第305-311页.
4 软件使用及实例
单通道信号时域K-T滤波
对当前通道(第27通道,CZ)进行时域K-T滤波。

菜单操作:《处理》→ 《时域K-T滤波》,出现对话框,输入计算自相关函数的延时点数,即自相关函数的长度,r(i), I = 0, 1, 2, …, n-1。输入延迟n大于2小于或者等于100。

输入自相关函数估计延迟点数n之后,用当前通道当前段信号(显示信号段)估计自相关函数,构建协方差矩阵,计算特征向量。选择n各分量中的一些组合经过叠加生成新的合成信号。如下图所示。在左边的列表框中选择参与叠加的分量,打勾为参与分量。在选定好叠加分量之后,通过菜单操作:《操作》→ 《合成信号》,在窗口底部的波形为合成后波形,如图所示是1,2,3,4,5分量合成的结果。

菜单或者按钮功能:

自动幅度:显示的每个分量波形按照自己的最大值和最小值来显示,凸显小分量的细节。
显示全程:在时间轴上切换显示全程或者一段分量波形。
显示选段:设置显示段的长度(点数),以及显示起点。
分量下页:由于分量太多,显示不全,通过分量翻页方式显示下页分量。
分量上页:由于分量太多,显示不全,通过分量翻页方式显示上页分量。
波形翻页:如果波形不是全程显示的,则可以通过波形翻页显示下页波形。
分量全选:左边列表框中显示了全部分量,可以选择其中一些分量来合成信号达到滤波目的。切换全部选择分量或者全不选分量。
合成信号:用所选择的分量来合成信号,合成波形。
保存分量:可以将各分量保存到*.DSS文件之中。
时间展开显示:在显示波形中要展开的起点处按下鼠标左键不松开移动鼠标至终点松开按键,随即选段波形在时间轴上展开显示,变得稀疏。更精确的可以通过《显示选段》来输入设置起点和长度。
点击“确定”按钮,对当前通道信号实施全程时域K-L滤波,并关闭该会话窗口;如果不进行滤波处理直接点击“关闭”按钮。滤波后输出结果如下图(红色曲线)。

多通道信号空域K-L滤波
如果通道个数为m,变换矩阵是通道间协方差矩阵的特征向量矩阵,矩阵维数是m×m,变换后的分量数为m。协方差矩阵是由当前时间段计算的,滤波是对全部通道全程进行滤波。操作:《处理》→ 《空域K-L滤波》。
滤波前信号波形,66通道,长度4秒,采样率1000Hz

滤波后信号波形,选择0-65分量中的2-10分量进行合成。

其他操作和时域K-L滤波一样。
屏蔽无效通道:如果某些通道信号收到干扰干扰,可以将该通道屏蔽,菜单操作:《资料》→ 《通道位置》,出现如下会话框,在通道上点击鼠标右键弹出菜单,可将该通道屏蔽,以便消除该通道对滤波结果的影响。

相关文章
多道信号分析软件系统
生物医学信号处理与分析软件系统设计
曲线拟合软件
离散小波变换用于信号滤波
多维特征参数机器学习软件
Kohonen自组织特征映射神经网络(环形和球面形网络)
矩阵的三维图形显示软件
图片浏览软件工具
主成分分析(K-L变换)与信号的分解与合成(滤波)
作者邮箱:chengbowork@163.com
- 点赞
- 收藏
- 关注作者
评论(0)