特殊函数计算器
特殊函数计算器
特殊函数又称高等超越函数,或称数学物理函数。特殊函数是指一些具有特定性质的函数,在数学分析、物理研究、工程计算中时常用到,在数学用表中也常出现。特殊函数一般是指某类微分方程的解又不能用初等函数的有限形式表示的函数,如贝塞尔(Bessel)函数。另外一些是由特定形式的积分所定义的函数,如伽马(Gamma)函数。还有从函数的周期性的角度来考虑的所谓椭圆函数。计算机及其软件的发展为特殊函数的计算带来了极大的方便。这里简单列出了以下几种特殊函数:正态分布、k平方分布、t分布、F分布、正弦积分、余弦积分、指数积分、第一类椭圆积分、第二类椭圆积分、误差函数、第一类整数阶贝塞尔函数、第二类整数阶贝塞尔函数、变型第一类整数阶贝塞尔函数、变型第二类整数阶贝塞尔函数、伽马函数、不完全伽马函数、不完全贝塔函数。最后介绍一种特殊函数计算器的使用。
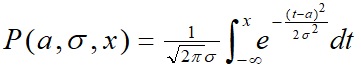
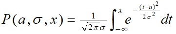
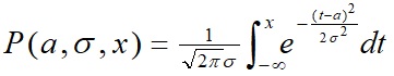
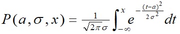
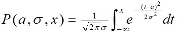
(1)正态分布
随机变量x的正态分布函数P(a,,x)定义为:

其中a是均值,σ是标准差,x是输入变量值。
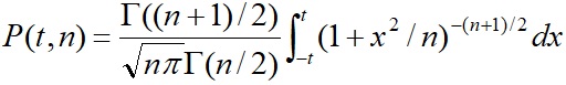
(2) 卡方分布
随机变量k平方分布函数(或
)如下:

其中x是输入变量值,n是自由度。

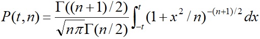
(3)t分布函数
随机变量t分布(Student-分布)函数定义如下:

其中n为自由度,t为随机变量,t≥ 0,P(0,n)=0,P(∞,n)=1。
(4)F分布函数
随机变量F-分布函数定义如下:

(5)正弦积分函数
正弦积分函数定义如下:

(6)余弦积分函数
余弦积分函数定义如下:

计算余弦积分的公式为:

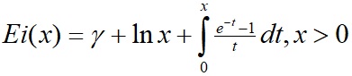
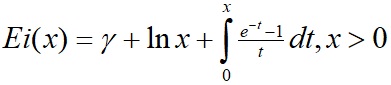
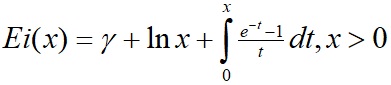
(7)指数积分
指数积分函数定义如下:
指数积分的计算公式为:

(8)第一类椭圆积分
第一类椭圆积分定义为:

(9)第二类椭圆积分
第二类椭圆积分函数定义为:

其中:0≤k≤1。
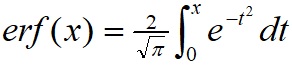
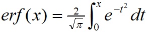
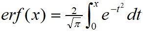
(10)误差函数
误差函数定义为:

(11)第一类整数阶贝塞耳函数
实变量x的第一类整数阶贝塞耳(Bessel))函数Jn(x)定义为:

其中n为非负整数,其积分表达式为:

具体计算方法参考有关文献。
(12)第二类整数阶贝塞耳函数
实变量x的第二类整数阶贝塞耳(Bessel)函数Yn(x)具有如下递推关系:

其中x>0,n是非负整数。具体计算方法参考有关文献。
(13)变型第一类整数阶贝塞耳函数
实变量x的变型第一类贝塞耳(Bessel)函数In(x)表示为:

其中n为非负整数,i为虚数,Jn(ix)为纯虚变量(ix)的第一类贝塞尔函数。具体计算方法参考有关文献。
(14)变型第二类整数阶贝塞耳函数
实变量x的变型第二类整数阶贝塞耳(Bessel)函数Kn(x)表示为:

其中n为非负整数,i为虚数,Jn(ix)为纯虚变量(ix)的第一类贝塞尔函数,Yn(ix)为纯虚变量(ix)的第二类贝塞尔函数。
具体计算方法参考有关文献。
(15)伽马(Gamma)函数
实变量x的伽马(Gamma)函数定义为:

具体计算方法参考有关文献。
(16)不完全伽马函数
不完全伽马函数定义为:

其中a>0,x>0。具体计算方法参考有关文献。
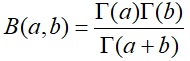
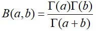
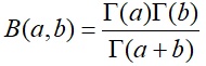
(17)不完全贝塔函数
不完全贝塔(Beta)函数定义为:

其中a,b>0,0≤x≤1,B(a,b)为贝塔函数,即:

具体计算方法参考有关文献。
参考文献
[1] 徐士良 编. C常用算法程序集[M]. 北京 清华大学出版社,1994年1月第1版,第442-486页.
[2] 宁智 编写. Microsoft C科学与工程工具库[M]. 北京 学苑出版社,1993年12月第1版,第116-126页.
[3] [美]W.H.Press, S.A.Teukolsky, W.T.Vetterling, B.P.Flannery 著. 傅祖芸,赵梅娜,丁岩 等译. C语言数值算法程序大全(第二版)[M]. 北京 电子工业出版社,1995年10月第1版. 第174-225页.
Numerical Recipes in C, The Art of Scientific Computing, Second Edition, Cambridge University Press, 1988, 1992.
[4] 《数学手册》编写组. 数学手册[M]. 北京 高等教育出版社,1979年5月第1版,第587-648页。
(18)一种特殊函数计算器
以下是一种特殊函数计算器的界面,该软件运行在Windows操作系统,具有上述特殊函数的计算功能。从下拉框中可以选择特殊函数的种类,输入特殊函数对应的参数后,点击“计算”按钮后输出计算结果,用红色数字显示。在界面下面部分有特殊函数对应的公式,说明输入参数的意义及限制。


该特殊函数计算器支持有31种函数,它们是:
1>正态分布函数
2>t-分布函数
3>k-分布函数
4>F-分布函数
5>误差函数
6>正弦积分函数
7>余弦积分函数
8>指数积分函数
9>第一类椭圆积分函数
10>第二类椭圆积分函数
11>第一类整数阶贝塞耳(Bessel)函数
12>第二类整数阶贝塞耳(Bessel)函数
13>变型第一类整数阶贝塞耳(Bessel)函数
14>变型第二类整数阶贝塞耳(Bessel)函数
15>伽马(Gamma)函数
16>不完全伽马(Gamma)函数
17>不完全贝塔(Beta)函数
18>指数函数
19>正弦函数
20>余弦函数
21>正切函数
22>余切函数
23>反正弦函数
24>反余弦函数
25>反正切函数
26>反余切函数
27>自然对数函数
28>以2为底的对数函数
29>以10为底的对数函数
30>幂函数
31>阶乘n!
特殊函数计算器运行在MS Windows操作系统下,如Windows XP、9x、2000、Windows10。
特殊函数计算例子
| 序号 |
函数名 |
输入参数 |
计算结果 |
对照MATLAB |
| 1 |
正态分布 |
a=0, σ=1, x=2.5 |
0.9937903 |
normcdf(2.5,0,1)= 0.993790334674224 |
| |
|
a=-1, σ=0.5, x=-10 |
0.0000000 |
normcdf(-10,-1,0.5)= 9.740948918937211e-73 |
| |
|
a=-1, σ=0.5, x=0 |
0.9772499 |
normcdf(0,-1,0.5)= 0.977249868051821 |
| 2 |
t-分布 |
n=1, t=0.5 |
0.2951701 |
2*tcdf(0.5,1)-1= 0.295167235300867 |
| |
|
n=1, t=5 |
0.8743329 |
2*tcdf(5,1)-1= 0.874334083621997 |
| |
|
n=2, t=0.5 |
0.33333 |
2*tcdf(0.5,2)-1= 0.333333333333333 |
| |
|
n=4, t=5 |
0.9925096 |
2*tcdf(5,4)-1= 0.992509566118726 |
| |
|
n=5, t=5 |
0.9958952 |
2*tcdf(5,5)-1= 0.995895284019947 |
| 3 |
k平方分布 |
n=1, t=0.5 |
0.5204999 |
Chi2cdf(0.5,1)= 0.520499877813047 |
| |
|
n=1, t=5 |
0.9746527 |
Chi2cdf(5,1)= 0.974652681322532 |
| |
|
n=2, t=0.5 |
0.2211992 |
Chi2cdf(5,1)= 0.221199216928595 |
| 4 |
F-分布 |
n1=2, n2=3, f=3.5 |
0.1643151 |
1.0-fcdf(3.5,2,3)= 0.164316767251550 |
| |
|
n1=2, n2=3, f=9 |
0.0539944 |
1.0-fcdf(9,2,3)= 0.053994924715604 |
| |
|
n1=5, n2=10, f=3.5 |
0.0434846 |
1.0-fcdf(3.5,5,10)= 0.043485040659111 |
| |
|
n1=5, n2=10, f=9 |
0.0018223 |
1.0-fcdf(9,5,10)= 0.001822281898469 |
| 5 |
误差函数 |
x=0 |
0.0000000 |
1-erfc(0)=0 |
| |
|
x=0.25 |
0.2763264 |
1-erfc(0.25)= 0.276326390168237 |
| |
|
x=2 |
0.9953223 |
1-erfc(2)= 0.995322265018953 |
| 6 |
正弦积分 |
x=0.5 |
0.4931074 |
|
| |
|
x=4.5 |
1.6541404 |
|
| 7 |
余弦积分 |
x=0.5 |
-0.1777841 |
|
| |
|
x=10.5 |
-0.0782840 |
|
| |
|
x=14.5 |
0.0655370 |
|
| 8 |
指数积分 |
x=0.05 |
-2.4678985 |
|
| |
|
x=1.25 |
-0.1464134 |
|
| |
|
x=-1.25 |
-0.1464134 |
|
| 9 |
第一类椭圆积分函数 |
k=0.5, f=0 |
0.0000000 |
|
| |
|
k=0.5, f=1.221730 |
1.2853000 |
|
| |
|
k=1, f=0.349066 |
0.3563787 |
|
| 10 |
第二类椭圆积分函数 |
k=0.5, f=0 |
0.0000000 |
|
| |
|
k=0.5, f=0.523599 |
0.5178822 |
|
| |
|
k=1, f=1.570796 |
1.0000000 |
|
| 11 |
第一类整数阶贝塞耳函数 |
n=0, x=0.05 |
0.9993751 |
besselj(0,0.05)= 0.999375097649469 |
| |
|
n=1, x=50 |
-0.0975118 |
besselj(1,50)= -0.097511828125175 |
| |
|
n=5, x=5 |
0.2611405 |
besselj(5,5)= 0.261140546120170 |
| 12 |
第二类整数阶贝塞耳函数 |
n=0, x=0.05 |
-1.9793110 |
bessely(0,0.05)= -1.979311000817210 |
| |
|
n=1, x=5 |
0.1478631 |
bessely(1,5)= 0.147863143391227 |
| |
|
n=2, x=0.5 |
-5.4413708 |
bessely(2,0.5)= -5.441370837174266 |
| 13 |
变型第一类整数阶贝塞耳函数 |
n=0, x=0.05 |
1.0006251 |
besseli(0,0.05)= 1.000625097663032 |
| |
|
n=1, x=5 |
24.3356418 |
besseli(1,5)= 24.335642142450531 |
| 14 |
变型第二类整数阶贝塞耳函数 |
n=0, x=0.05 |
3.1142340 |
besselk(0,0.05)= 3.114234029471990 |
| |
|
n=1, x=0.5 |
1.6564411 |
besselk(1,0.5)= 1.656441120003301 |
| 15 |
伽马函数 |
x=0.5 |
1.7724541 |
gamma(0.5)= 1.772453850905516 |
| |
|
x=2.5 |
1.3293405 |
gamma(2.5)= 1.329340388179137 |
| 16 |
不完全伽马函数 |
a=0.5, x=0.1 |
0.3452792 |
gammainc(0.1,0.5)= 0.345279153981423 |
| |
|
a=0.5, x=1 |
0.8427008 |
gammainc(1,0.5)= 0.842700792949715 |
| |
|
a=5, x=1 |
0.0036598 |
gammainc(1,5)= 0.003659846827344 |
| 17 |
不完全贝塔函数 |
a=0.5, b=0.5, x=0 |
0.0000000 |
betainc(0,0.5,0.5)=0 |
| |
|
a=0.5, b=5.0, x=0.2 |
0.8550738 |
betainc(0.2,0.5,5)= 0.855072394595919 |
| 18 |
指数函数 |
x=1 |
2.7182818 |
|
| |
|
x=0.5 |
1.6487213 |
|
| 19 |
自然对数函数 |
x=2 |
0.6931472 |
|
| 20 |
阶乘n! |
n=5 |
120 |
|
联系作者:chengbowork@163.com
相关文章
多道信号分析软件系统
生物医学信号处理与分析软件系统设计
曲线拟合软件
离散小波变换用于信号滤波
多维特征参数机器学习算法
多维特征参数机器学习软件
Kohonen自组织特征映射神经网络(环形和球面形网络)
矩阵的三维图形显示软件
图片浏览软件工具
主成分分析(K-L变换)与信号的分解与合成(滤波)
信号的样本熵序列计算
信号的双谱分析
信号的经验模态分解(EMD)
希尔伯特(Hilbert)变换信号瞬时频率计算
给定概率分布的随机变量仿真
信号的特征参数计算
数据分布点纹图
多通道信号数据压缩存储
图像处理基本算法及软件简介
信号功率谱估计
- 点赞
- 收藏
- 关注作者
评论(0)