信号功率谱估计
信号功率谱估计
信号的功率谱密度用于描述信号的功率随频率的变化情况,简称为功率谱。这里介绍几种信号功率谱估计(Power Spectrum Density Estimate)常用方法,包括利用快速傅里叶变换的周期图法(periodogram),长信号分段叠加计算的Welch方法,基于自相关函数傅里叶变换的间接方法(BT法),自回归(AR)模型方法。为了减少由于数据截断而引起泄露所带来的功率谱估计误差,给出了几种数据加窗函数:矩形窗、Parzen窗、Hamming窗、Hanning窗、Welch窗、ExactBlackman窗、三角窗。最后用实例说明了功率谱估计。
(1)用FFT算法做功率谱估计
(1.1)周期图法
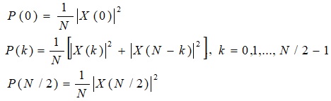
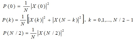
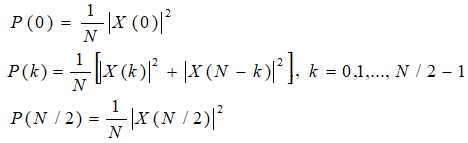
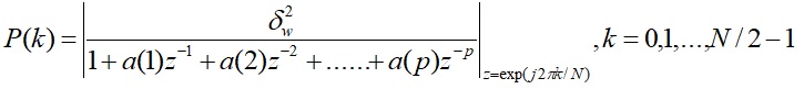
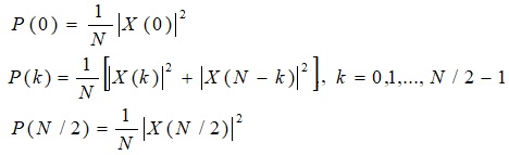
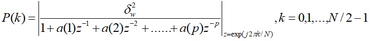
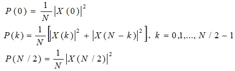
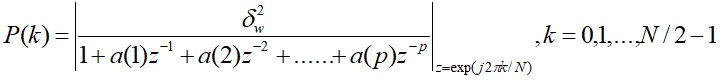
设等间隔采样的信号序列为x(i), i = 0 , 1 , … , N-1, 它的付利叶变换为X(k), k = 0, 1, …, N-1, 则功率谱的周期图(periodogram)估计P(k)为:

其中k对应于信号的零频率和正频率。如果信号的采样率为Fs,则k=0对应零频率,k=N/2代表Fs/2。
(1.2)窗函数
为了减少由于数据截断而引起泄露所带来的误差,一般在时域上对数据加窗,用户应根据信号的不同性质和不同处理目的来选择不同的窗函数。设信号为x(i),窗函数为W(i),那么数据加窗就是原数据乘以窗函数,即x’(i)=x(i)w(i) , i = 0, 1, ……, N-1。

(1.3)韦尔奇(Welch)方法估计功率谱
1. 先将长度为N的信号序列x(i)分段,每段长度为L,相邻两段之间有M点数据重叠。
2. 将每段数据在时域上乘以窗函数。
3. 将加窗后的数据用FFT算法做周期图功率谱估计。
4. 将各段功率谱做平均,结果作为整个信号的功率谱估计。
韦尔奇(Welch)又称加权交叠平均法,是应用较广的一种方法。
(2)极大熵功率谱估计
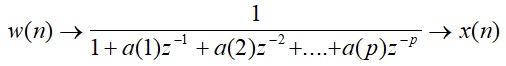
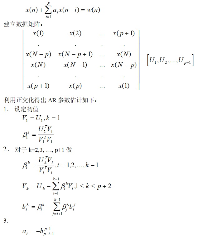
(2.1)时间序列AR模型
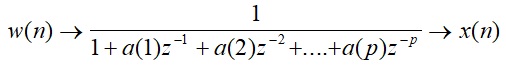
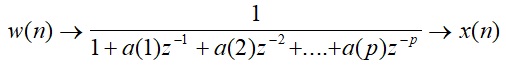
平稳高斯随机序列x(n)可以假定为高斯白噪声w(n)通过线性系统产生,即:

写成时域表达式为:
x(t) + a(1)x(t-1) + … + a(p)x(t-p) = w(t)
上式称为时间序列AR(p)模型。
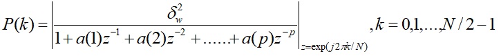
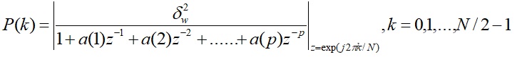
(2.2)极大熵AR功率谱估计
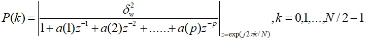
由随机信号的自回归(AR)模型计算功率谱:

通过估计AR模型的阶次和参数,然后由AR模型的传递函数计算出功率谱密度,这种方法称为极大熵谱估计方法。
(2.3)AR模型定阶
1 FPE准则
FPE(Final Prediction Error)准则是由模型的预报误差来判别AR模型的阶次是否恰当,其原理是如果数据所符合的真实模型是AR(p),而我们用AR(n)(n>p或n<p)来拟合,那么导致预报误差的方差增大。
最终预报误差准则(FPE)定义为:

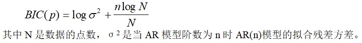
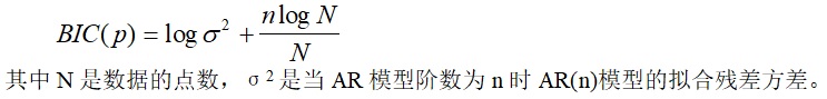
上式中N为数据的长度,R(i)为x(t)的自相关函数。
我们从低阶到高阶建立AR模型,得到估计参数并计算出FPE值,当FPE值达到最小时对应的阶次为AR模型的阶次。
2 AIC准则
AIC准则是由日本统计学家Akaike于1973年提出的,全称是最小化信息量准则(Akaike Information Criterion)。AIC准则定义为:

这里M是最大可能的阶数。
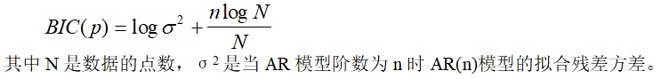
3 BIC准则
当样本容量N很大时,在AIC准则中拟合误差提供的信息就要受到样本容量的放大。BIC(Bayesian Information Criterion)贝叶斯信息准则是Schwartz在1978年根据Bayes理论提出的判别准则,BIC准则函数定义如下:

阶数p的选择为:
BIC(p) = min(BIC(n)), n=0, 1 ,.., M
M是最大可能的阶数。
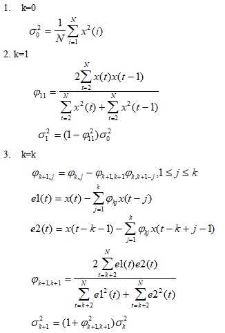
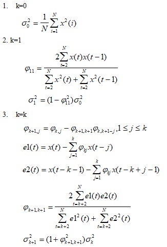
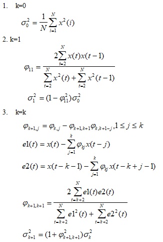
(2.4)AR参数的Burg算法求解
设自回归模型AR(p)的系数为: a(i), i=1,2, …, p,则AR参数BURG递阶估计为:

当k=p时, 求得的系数φpj, j=1,2, …, p就是AR模型参数估计值, σ2p是残差方差。
由上述参数估计过程可以看出,可利用σ2k和AIC或BIC准则自动选定AR模型的阶数。
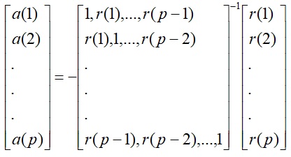
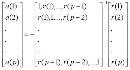
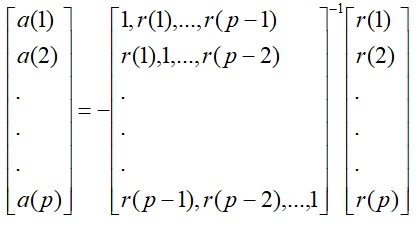
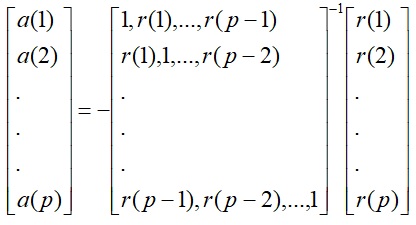
(2.5)AR参数的Yule-Walker方程求解
p阶AR过程x(t)满足差分方程:
x(t) + a(1)x(t-1)+ … +a(p)x(t-p)=w(t)
其中a(1), a(2), …, a(p)为AR系数,w(t)为纯随机过程。
在上式两边同时乘以x(t-k), k>1并取期望得:
r(k) + a(1)r(k-1) + a(2)r(k-2) + … + a(p)r(k-p)=0
上式中r(n)为x(t)的自相关函数,且r(-n)=r(n)。由此可得出下述线性方程组:

此方程称为Yule-Walker方程。
(2.6)AR参数Levinson-Durbin递推算法求解
直接求解Yule-Walker方程中的AR参数需要作矩阵求逆运算,当阶数增大时,运算量也显著增大。Levinson-Durbin算法对Yule-Walker方程的求解提供了一个高效的解法,其算法可描述如下:

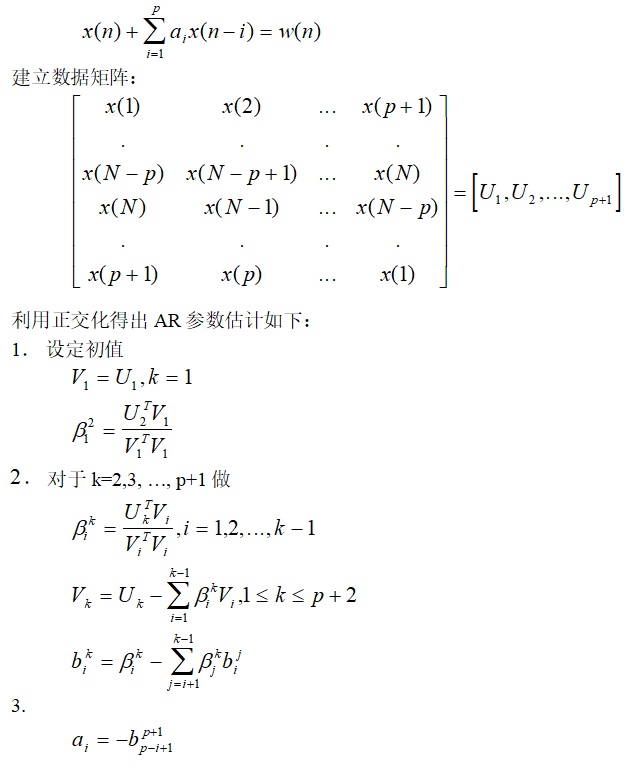
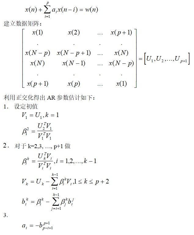
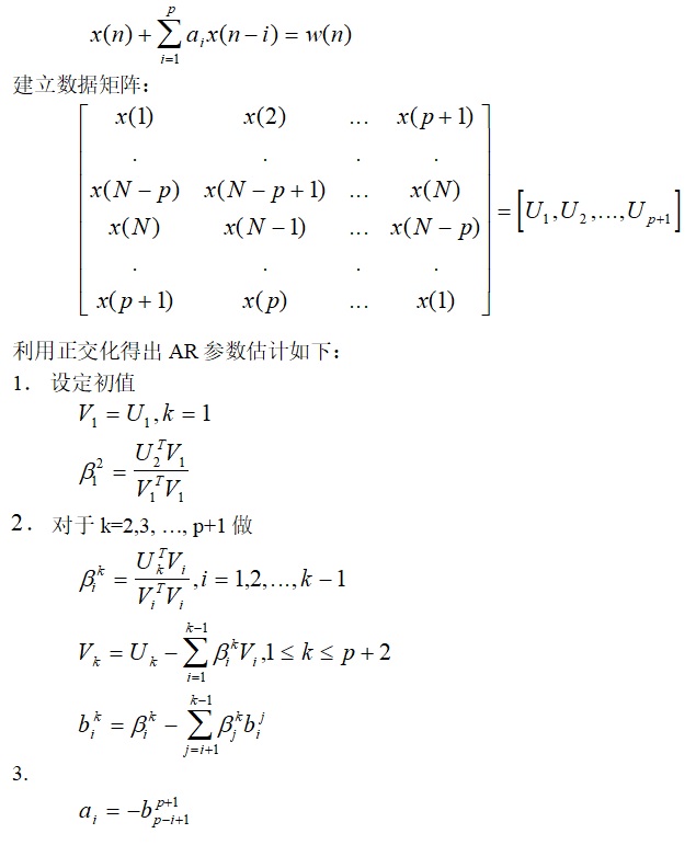
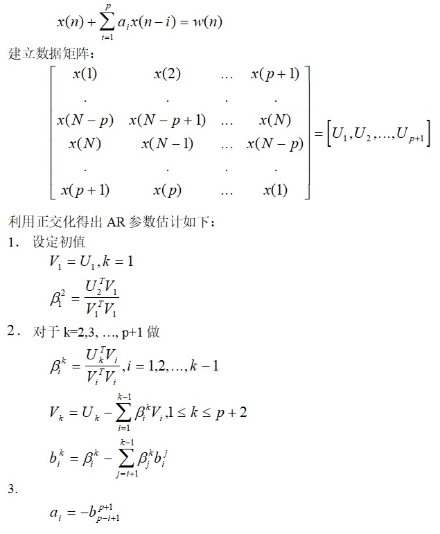
(2.7)AR参数的正交变换求解
设AR(p)模型

正交变换法与Burg算法一样都适合短序列信号,而且还具有以下优点:较小的频率偏移;没有谱线分裂;较高的频率分辨率。
(3)自相关函数估计功率谱
利用信号的自相关函数估计计算功率谱,是功率谱估计的间接法,又称BT法。基于维纳-辛钦定理,1958年Blackman和Tukey给出了这一方法的具体实现,即先由信号x(i), i=0,1, …, N-1,估计出自相关函数r(i),然后对r(i)求傅里叶变换便得到了x(i)的功率谱估计。

k = -m, -m+1, …, 0, …, m,且r(k)=r(-k)。
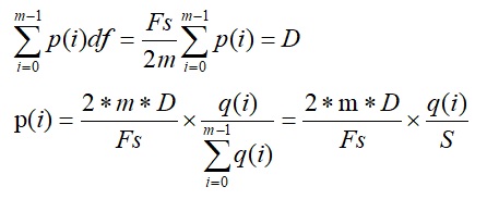
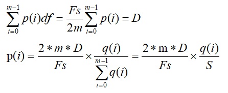
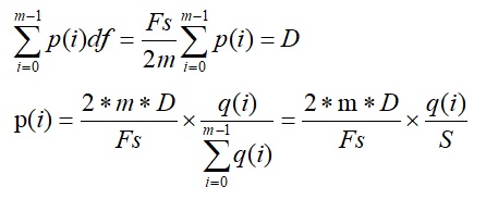
(4)功率谱幅度的归一化
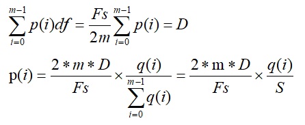
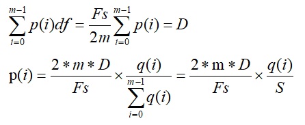
功率谱体现功率随频率的变化情况,通常主要关注频谱幅度的相对变化,而对单个幅度值并不在意。但是有时也要关注各频率点上的幅度,或者频率区域的面积值,此时就要对幅度进行归一化。假设信号的均值为零,用信号的方差作为信号的总功率,计算各谱线上的功率分布值如下:
q(i),i=0,1, …, m-1是归一化前的谱估计结果,p(i)是归一化后结果,D是信号的方差,Fs是采样率,频率轴坐标范围0-Fs/2,那么:

上述单位是每1Hz的功率,为了让p(i)变成每毫赫兹的功率则p(i)=p(i)/1000。
参考文献
[1] 胡广书 编著. 数字信号处理—理论、算法与实现[M]. 北京 清华大学出版社,1997年8月第1版,p324-341.
[2] 杨位钦,顾 岚 编著. 时间序列分析与动态数据建模[M]. 北京理工大学出版社,1986年第1版.
[3] 林代庸 编著. 信号理论和应用[M]. 北京 电子工业出版社,1990年3月第1版.
(5)信号功率谱估计举例
举例说明使用多道信号分析软件进行功率谱估计。
例1:一段0.5s的语音信号,采样率为16000Hz,分别采用周期图法、自相关法和AR模型法估计其功率谱密度。采用FFT法的Welch分段叠加周期图法,菜单操作:《分析》→《通用分析》→《功率谱估计》,计算结果如下。

计算频域特征参数并导出。


利用自相关函数傅里叶变换法(BT法)估计功率谱,菜单操作:《分析》→《通用分析》→《自相关函数》,计算结果如下。

可以选择一段自相关函数估值来计算功率谱,特别是自相关函数尾部更能体现信号中的周期成分,用其做傅里叶变换计算功率谱,估计信号的周期频率。
采用AR模型法估计功率谱,菜单操作:《分析》→《通用分析》→《AR模型估计》,计算结果如下。

例2:一段演示信号的功率谱估计,实用周期图、BT法、AR模型估计结果如下。



联系作者:chengbowork@163.com
相关文章
多道信号分析软件系统
生物医学信号处理与分析软件系统设计
曲线拟合软件
离散小波变换用于信号滤波
多维特征参数机器学习算法
多维特征参数机器学习软件
Kohonen自组织特征映射神经网络(环形和球面形网络)
矩阵的三维图形显示软件
图片浏览软件工具
主成分分析(K-L变换)与信号的分解与合成(滤波)
信号的样本熵序列计算
信号的双谱分析
信号的经验模态分解(EMD)
希尔伯特(Hilbert)变换信号瞬时频率计算
给定概率分布的随机变量仿真
信号的特征参数计算
数据分布点纹图
多通道信号数据压缩存储
图像处理基本算法及软件简介
- 点赞
- 收藏
- 关注作者
评论(0)