希尔伯特(Hilbert)变换信号瞬时频率计算
希尔伯特(Hilbert)变换信号瞬时频率计算
通过希尔伯特变换(Hilbert Transform),可以构建实信号序列的解析信号(复信号序列,原信号为实部,希尔变换序列为虚部),从而使得对信号进行瞬时幅度和瞬时频率(瞬时相位)计算成为可能,适合于平稳窄带信号分析。
实连续时间信号x(t)的希尔伯特(Hilbert)变换定义为:

希尔伯特变换是幅频特性为1的全通滤波,信号x(t)通过希尔伯特变换后,其负频率成分作+90º 相移,而正频率成分作-90º 相移。
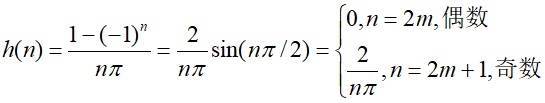
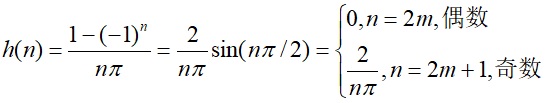
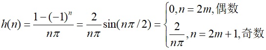
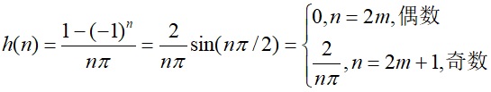
希尔伯特FIR滤波器单位抽样响应为:

n = -N, -N+1, …, -1, 0, 1, 2, …, N-1, N,h(0)=0。
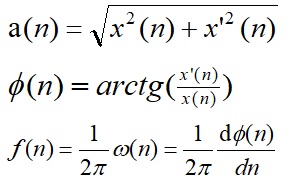
设信号为x(n),其希尔伯特变化为x’(n),那么x’(n)=x(n)*h(n),解析信号为复信号,即z(n) = x(n) + jx’(n),x(n)是解析信号的实部,x’(n)是解析信号的虚部。希尔伯特变换可以提供90º 的相位变化而不改变频谱分量的幅度,对信号进行希尔伯特变换就相当于对该信号进行了正交移相,使它成为自己的正交对。实部和虚部功率谱相同,⾃相关函数相同。
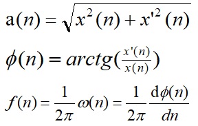
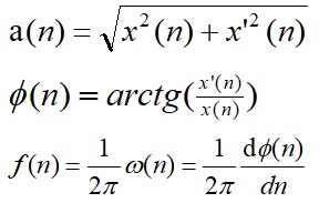
有了解析信号就可以计算包络(瞬时振幅a(n))和瞬时相位φ(n),对瞬时相位求导数计算瞬时频率f(n)。

y=arctg(x)是反正切函数,y∈(-π/2, π/2)。
信号通过希尔伯特变换(Hilbert Transform),使得我们对短信号和复杂信号的瞬时参数的定义及计算成为可能,能够实现真正意义上的瞬时信号提取,因而希尔伯特变换在信号处理上具有十分重要的地位。希尔伯特变换只能近似地应用于窄带信号,对任意给定的t时刻,通过希尔伯特变换运算得到的结果只能存在一个频率,即只能处理任何时刻为单一频率的信号。对于非平稳的信号序列,希尔伯特变换得到的结果很大程度上失去了原有的物理意义。
参考文献:
[1] 梁志国. 用Hilbert变换进行FM信号解调的一种数据处理方式[J]. 计量学报, 2016年11月,第37卷第6期,第644-648页。
[2] 秦毅,王家序,汤宝平. 基于迭代Hilbert变换的多分量信号分解解调方法研究及应用[J]. 机械工程学报,2009年8月,第45卷第8期,第37-44页。
计算举例:
使用多道信号分析软件,计算信号的瞬时幅度、频率以及包络信号,其中包络信号是瞬时幅度经过滑动平均后得到的。菜单操作:《分析》→通用分析》→《Hilbert瞬时频率》,出现如下对话框,要求用户输入计算的参数,

输入参数包括希尔伯特FIR滤波器的阶数(范围[1,200]),以及计算信号包络时的滑动窗口长度(s)。
例子1:以下是一段2分钟脉搏波瞬时幅度、频率和包络计算结果,脉搏波的信号采样率为200Hz。

在以上信号瞬时频率、幅度、包络波形显示窗口中,双击鼠标左键或者回车,可以定位原始信号波形显示窗口中的时间位置;在波形的起点位置按下鼠标左键不松开,移动鼠标至终点后松开鼠标左键,此时弹出对话框,用户可以输入显示的时间段,以便展开显示细节;

在波形中点击鼠标右键弹出菜单:

各菜单项的功能如下:
“与波形同步”:是将瞬时频率、幅度波形的显示与原始信号显示同起点和终点。
“全程显示”:全程显示瞬时幅度、频率和包络曲线。
“通道信息”:显示如下通道的信息,

“通道平滑”:弹出对话框,要求用户输入对当前通道进行平滑的滑动窗口长度,秒。然后对该通道平滑,并更新波形显示。
“新增到信号通道”:将当前通道,复制到原始信号显示窗口的一个新增加的通道之中。
“数据导出”:将该窗口中的四路信号保存为ASCII文件,后缀为*.txt或者*.csv,数据文件包括五列,分别是序号,原信号,瞬时幅度,瞬时频率,包络。数据的第1行是标题。
在右边的通道标记上点击鼠标右键将弹出菜单,

选择其中的菜单项可以对该通道波形幅度进行放大或者缩小,选择《设置》在弹出对话框,可以定义该通道的幅度范围。

例子2:以下是一段四分钟的模拟频率变化信号,频率在10Hz附近以正弦波动方式有微小变化。

例子3:一段0.5s声音信号(Fs=8000Hz)的瞬时频率、幅度及包络(滑动平均长度0.02s)。

联系作者:chengbowork@163.com
相关文章
多道信号分析软件系统
生物医学信号处理与分析软件系统设计
曲线拟合软件
离散小波变换用于信号滤波
多维特征参数机器学习算法
多维特征参数机器学习软件
Kohonen自组织特征映射神经网络(环形和球面形网络)
矩阵的三维图形显示软件
图片浏览软件工具
主成分分析(K-L变换)与信号的分解与合成(滤波)
信号的样本熵序列计算
信号的双谱分析
信号的经验模态分解(EMD)
- 点赞
- 收藏
- 关注作者
评论(0)