多通道信号的奇异值熵(表示熵)
多通道信号的奇异值熵(表示熵)
多通道信号的奇异值熵(又称表示熵),是将一段多通道信号的协方差矩阵的特征值归一化后(其和为1),把这些归一化特征值视作概率分布值,由熵定义公式求得的值,即为奇异值熵[2],又称为表示熵[1],它可反映通道之间的关联性。
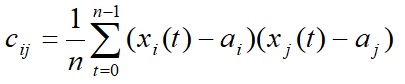
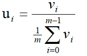
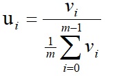
设m个通道中一个长度为n的时间段信号为:
![]()
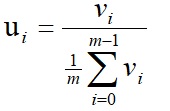
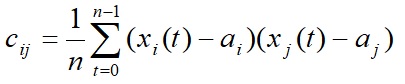
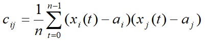
用这段信号计算通道之间的协方差系数矩阵:

![]()
i=0,1,2,…,m-1,j=0,1,2,…,m-1
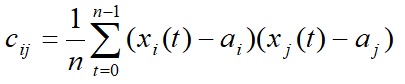
协方差矩阵是实对称矩阵,其特征值大于或者等于零,设由大到小排列的特征值为vi:
![]()
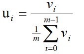
对特征值进行归一化

使得ui之和等于1。
计算表示熵,有的时候也称为奇异值熵,

在有损数据压缩领域,表示熵可以反映数据的可压缩程度,表示熵越大代表数据的可压缩程度越小,表示熵越小代表数据的可压缩程度越大。
在多通道信号分析时,上述表示熵(奇异值熵),可以反映通道之间的关联性,表示熵越大代表通道之间的关联性越小,表示熵越小代表通道之间的关联性越大。在多导脑电、多导心电、光纤微震动信号分析中可以得到应用。
在多通道信号分析软件(MUSIA)中,如果各通道信号采样率相等,并且在波形中标记有事件,则可以逐个事件计算出奇异值熵,如果在系统设置中事件长度太小(乘以采样率小于4个样本点)或者太大(大于10秒),则依据每个事件本身的长度和起点计算奇异值熵,否则统一按照设置的事件起点偏移和长度来计算。在计算时,弃用通道(chStates(i)=1)的信号设置成零。表示熵(奇异值熵)可以作为多通道信号中各事件段的一个特征参数。
下图是两段45个通道的光纤微震信号(Distributed Fiber Optic Acoustic Sensing,DAS),第一个选段的表示熵值为2.8668,第二个选段的表示熵值为4.1865。

下图是64导脑电中包含203个事件,每个事件的表示熵,以及协方差矩阵的64个特征值,只显示了其中部分数据。可以保存这些数据并进行统计分析,比较不同类型事件的表示熵有何区别。

参考文献
[1] 边肇祺,张学工 等编著. 模式识别[M]. 北京 清华大学出版社,2000年1月第2版,第215-216页.
[2] 罗日平,罗颖婷 等. 基于EEMD奇异值熵的局部放电模式识别[J]. 电子技术应用,2024, 50(03):53-58.
[3] 离散正交变换及应用
[4] 矩阵奇异值分解(SVD)及应用
Email: chengbowork@163.com
- 点赞
- 收藏
- 关注作者
评论(0)