《Spark机器学习进阶实战》——3.5.3 因式分解机模型
【摘要】 本书摘自《Spark机器学习进阶实战》——书中的第3章,第3.5.3节,作者是马海平、于俊、吕昕、向海。
3.5.3 因式分解机模型
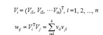
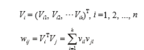
因式分解机(Factorization Machine,FM)模型是一种基于矩阵分解的机器学习模型,对于稀疏数据具有很好的学习能力。FM模型引入隐变量vi来对wij进行估计,模型的形式化表示如下:

其中:
Vi = (Vi1, Vi2, …Vik)T, i =1, 2, ..., n

由于wij=VTi Vj ,对应于一种矩阵分解,所以被称为因式分解机模型,在实际应用中,一般k值取得比较小,可以限制FM的表达能力,提高模型的泛化能力。FM和LR一样能够驾驭大规模特征,并在LR的线性部分基础上,对特征做二阶组合,这会省去人工特征工程的工作。
【版权声明】本文为华为云社区用户转载文章,如果您发现本社区中有涉嫌抄袭的内容,欢迎发送邮件进行举报,并提供相关证据,一经查实,本社区将立刻删除涉嫌侵权内容,举报邮箱:
cloudbbs@huaweicloud.com
- 点赞
- 收藏
- 关注作者
评论(0)