GO富集分析示例
【摘要】 GO是Gene Ontology的简称,是基因功能国际标准分类体系。它旨在建立一个适用于各种物种的,对基因和蛋白质功能进行限定和描述的,并能随着研究不断深入而更新的语言词汇标准。GO分为分子功能(Molecular Function)、生物过程(Biological Process)、和细胞组成(Cellular Component)三个部分。富集分析主要用于差异基因在GO term的富集程...
GO是Gene Ontology的简称,是基因功能国际标准分类体系。它旨在建立一个适用于各种物种的,对基因和蛋白质功能进行限定和描述的,并能随着研究不断深入而更新的语言词汇标准。GO分为分子功能(Molecular Function)、生物过程(Biological Process)、和细胞组成(Cellular Component)三个部分。
富集分析主要用于差异基因在GO term的富集程度,颜色越深富集越显著,红色最显著,黄色次之,无色代表富集不显著。
GO term分为三大类,每一类从不同的层面解释基因的生物学功能,我们可以结合生物学问题的特殊性,有针对性的关注GO term:例如我们期望从离子通道这一层面解释植物耐旱,耐盐的的机理,我们可以优先关注细胞组成里面膜蛋白。
GO term间具有包含关系,GO term之间可以构建复杂的结构网络。GO term 层级越低,功能描述越具体,越是低层级,越能解释生物学的问题,所以我们要关注显著富集的低层级GO term,以便具体而详尽的解释生物学问题。
GO富集分析的统计假设,并不能完全代基因功能的重要程度。要结合生物学问题、结合基因的功能注释,才能判断其中的基因变化是否有重要的生物学意义。
这里可以使用clusterProfiler找到富集的GO
安装所需的R包
source("https://bioconductor.org/biocLite.R")
options(BioC_mirror="http://mirrors.ustc.edu.cn/bioc/")
biocLite("org.Hs.eg.db")
biocLite("clusterProfiler")
install.packages("ggplot2")进行富集分析
library(org.Hs.eg.db)
library(ggplot2)
setwd("D:/medical_service/go_enrich")
# geneNames <- c("AHNAK2", "AQP7", "DNAH11" , "FLG", "HNRNPCL2", "HRNR" , "KMT2C",
# "KMT2D", "MST1L", "MUC12", "MUC16", "MUC17", "MUC19", "MUC3A",
# "MUC4", "MUC5B", "MUC6", "PABPC3", "PDE4DIP", "PLEC" , "TTN",
# "ANKRD36", "FCGBP", "HERC2", "IGFN1", "KRT18", "SLC25A5", "SYNE2",
# "RYR1", "TNS1", "DST", "SYNE1", "TSNARE1", "NBPF19", "NBPF26",
# "PRKCB", "ADGRG1", "OPCML")
d1 <- read.table("genenames.txt", header=T, stringsAsFactor =F)
geneNames <- d1$GeneName
gene <- mapIds(org.Hs.eg.db, geneNames, 'ENTREZID', 'SYMBOL')
BP.params <- enrichGO( gene = gene,
OrgDb = org.Hs.eg.db,
ont = "BP" ,
pAdjustMethod = "BH",
pvalueCutoff = 0.01,
qvalueCutoff = 0.05)
BP.list <- setReadable(BP.params, org.Hs.eg.db, keyType = "ENTREZID")
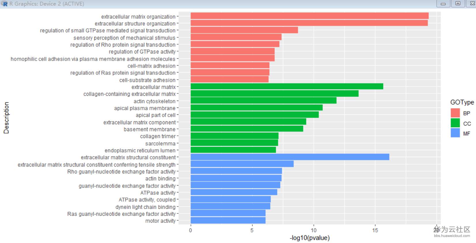
dotplot(BP.list, showCategory=30)library(clusterProfiler)如果要做BP, CC, MF的综合柱状图,采用ggplot2
p1 <- ggplot(data=goAll)+ geom_bar(aes(x=Description,y=-log10(pvalue), fill=GOType), stat='identity') + coord_flip() + scale_x_discrete(limits=goAll$Description)
ggsave("out_bar.pdf", p1, width = 10, height=6)
p2 <- ggplot(Edata, aes(x=GeneRatio, y=`GO description`)) +
geom_point(aes( size= Count , colour = -log10( pvalue )) ) + scale_y_discrete(limits=Edata$`GO description`)+
ggtitle("GO enrichment") + scale_color_gradient(low = 'green', high = 'red') + xlim(range(Edata$GeneRatio)) +
theme(axis.text.x=element_text(angle=0,size=8, vjust=0.7), axis.text.y=element_text(angle=0,size=6, vjust=0.7),plot.title = element_text(lineheight=.8, face="bold", hjust=0.5, size =16), panel.background = element_rect(fill="white", colour='gray'), panel.grid.major = element_line(size = 0.05, colour = "gray"), panel.grid.minor.y = element_line(size=0.05, colour="gray"), panel.grid.minor.x = element_line(size=0.05, colour="gray")
)
ggsave("out_GO.pdf", p2, width = 8, height=7)效果如图


【声明】本内容来自华为云开发者社区博主,不代表华为云及华为云开发者社区的观点和立场。转载时必须标注文章的来源(华为云社区)、文章链接、文章作者等基本信息,否则作者和本社区有权追究责任。如果您发现本社区中有涉嫌抄袭的内容,欢迎发送邮件进行举报,并提供相关证据,一经查实,本社区将立刻删除涉嫌侵权内容,举报邮箱:
cloudbbs@huaweicloud.com
- 点赞
- 收藏
- 关注作者
评论(0)