机器学习之KNN算法实践
KNN(K Near Neighbor):k个最近的邻居,即每个样本都可以用它最接近的k个邻居来代表。KNN算法属于监督学习方式的分类算法,我的理解就是计算某给点到每个点的距离作为相似度的反馈。
简单来讲,KNN就是“近朱者赤,近墨者黑”的一种分类算法。
KNN是一种基于实例的学习,属于懒惰学习,即没有显式学习过程。
要区分一下聚类(如Kmeans等),KNN是监督学习分类,而Kmeans是无监督学习的聚类,聚类将无标签的数据分成不同的簇。
KNN算法介绍
KNN的全称是K Nearest Neighbors,意思是K个最近的邻居,从这个名字我们就能看出一些KNN算法的蛛丝马迹了。K个最近邻居,毫无疑问,K的取值肯定是至关重要的。那么最近的邻居又是怎么回事呢?其实啊,KNN的原理就是当预测一个新的值x的时候,根据它距离最近的K个点是什么类别来判断x属于哪个类别。听起来有点绕,还是看看图吧。

图中绿色的点就是我们要预测的那个点,假设K=3。那么KNN算法就会找到与它距离最近的三个点(这里用圆圈把它圈起来了),看看哪种类别多一些,比如这个例子中是蓝色三角形多一些,新来的绿色点就归类到蓝三角了。

但是,当K=5的时候,判定就变成不一样了。这次变成红圆多一些,所以新来的绿点被归类成红圆。从这个例子中,我们就能看得出K的取值是很重要的。
明白了大概原理后,我们就来说一说细节的东西吧,主要有两个,K值的选取和点距离的计算。
2.1距离计算
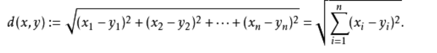
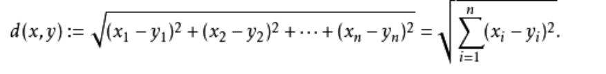
要度量空间中点距离的话,有好几种度量方式,比如常见的曼哈顿距离计算,欧式距离计算等等。不过通常KNN算法中使用的是欧式距离,这里只是简单说一下,拿二维平面为例,,二维空间两个点的欧式距离计算公式如下:

这个高中应该就有接触到的了,其实就是计算(x1,y1)和(x2,y2)的距离。拓展到多维空间,则公式变成这样:

这样我们就明白了如何计算距离,KNN算法最简单粗暴的就是将预测点与所有点距离进行计算,然后保存并排序,选出前面K个值看看哪些类别比较多。但其实也可以通过一些数据结构来辅助,比如最大堆,这里就不多做介绍,有兴趣可以百度最大堆相关数据结构的知识。
三.KNN特点
KNN是一种非参的,惰性的算法模型。什么是非参,什么是惰性呢?
非参的意思并不是说这个算法不需要参数,而是意味着这个模型不会对数据做出任何的假设,与之相对的是线性回归(我们总会假设线性回归是一条直线)。也就是说KNN建立的模型结构是根据数据来决定的,这也比较符合现实的情况,毕竟在现实中的情况往往与理论上的假设是不相符的。
惰性又是什么意思呢?想想看,同样是分类算法,逻辑回归需要先对数据进行大量训练(tranning),最后才会得到一个算法模型。而KNN算法却不需要,它没有明确的训练数据的过程,或者说这个过程很快。
KNN算法分类电影
import numpy
import pandas #导入Excel文件
from sklearn.neighbors import KNeighborsClassifier #机器学习算法库,没有深度学习算法
movie=pandas.read_excel(r"D:\Python\代码\Machine-Learn\1-KNN\data\movie.xlsx",sheet_name=0)
movie
| 电影名称 | 武打镜头 | 接吻镜头 | 分类情况 | |
|---|---|---|---|---|
| 0 | 大话西游 | 36 | 1 | 动作片 |
| 1 | 杀破狼 | 43 | 2 | 动作片 |
| 2 | 前任3 | 0 | 10 | 爱情片 |
| 3 | 战狼2 | 59 | 1 | 动作片 |
| 4 | 泰坦尼克号 | 1 | 15 | 爱情片 |
| 5 | 新余心愿 | 2 | 19 | 爱情片 |
movie=pandas.read_excel(r"D:\Python\代码\Machine-Learn\1-KNN\data\movie.xlsx",sheet_name=0)
x=movie[["武打镜头","接吻镜头"]] #取出训练数据中的训练数据
y=movie["分类情况"] #取出目标值
knn=KNeighborsClassifier(n_neighbors=5)
knn.fit(x,y) #训练数据
#预测电影《飞车》武打镜头50,接吻镜头2
x_text=pandas.DataFrame({"武打镜头":[50,3],"接吻镜头":[2,50]})
x_text
| 武打镜头 | 接吻镜头 | |
|---|---|---|
| 0 | 50 | 2 |
| 1 | 3 | 50 |
get_result=knn.predict(x_text)
get_proba=knn.predict_proba(x_text)
print("概率:{}".format(get_proba))
print("分类结果:{}".format(get_result))
概率:[[0.6 0.4] [0.4 0.6]] 分类结果:['动作片' '爱情片']
电影分类运行原理
s=((movie["武打镜头"]-50)**2+(movie["接吻镜头"]-2)**2)**0.5 #根据knn算法求距离
index=s.sort_values().index #先将数据排序然后取出索引
fljg=movie["分类情况"][index[:5]]
print("\n{}".format(index),"\n分类:\n{}".format(fljg))
Int64Index([1, 3, 0, 2, 4, 5], dtype='int64') 分类: 1 动作片 3 动作片 0 动作片 2 爱情片 4 爱情片 Name: 分类情况, dtype: object
识别梵文
import numpy
import os
import matplotlib.pyplot as plt
from sklearn.neighbors import KNeighborsClassifier
img=plt.imread(r"D:\Python\代码\Machine-Learn\1-KNN\data\手写字母测试与训练\梵文识别学习\Test\character_1_ka\1339.png")
plt.imshow(img,cmap=plt.cm.gray)
<matplotlib.image.AxesImage at 0x1af31dcc048>

#将读取的图片保存到数组data中
def img_read(dir_name,data):
for filename in os.listdir(dir_name):
img=plt.imread(dir_name+"\\"+filename)
data.append(img)
def readTain(): #获取训练数据
data=[]
dir_path=r"D:\Python\代码\Machine-Learn\1-KNN\data\手写字母测试与训练\梵文识别学习\Train"
for dir_name in os.listdir(dir_path)[36:]:
dir_name=dir_path+"\\"+dir_name
img_read(dir_name,data)
return data
def readTest(): #获取测试数据
data_test=[]
dir_test_path=r"D:\Python\代码\Machine-Learn\1-KNN\data\手写字母测试与训练\梵文识别学习\Test"
for dir_name in os.listdir(dir_test_path)[36:]:
dir_name=dir_test_path+"\\"+dir_name
img_read(dir_name,data_test)
return data_test
x=readTain() #训练数据
train_x=numpy.array(x)
train_x_shape={}
train_x_shape["图片数量"]=test_x.shape[0]
train_x_shape["宽度"]=str(test_x.shape[1])+"px"
train_x_shape["高度"]=str(test_x.shape[2])+"px"
train_x_shape
{'图片数量': 3000, '宽度': '32px', '高度': '32px'}
x=readTest() #测试数据
ndarray_x=numpy.array(x)
# 随机抽样测试数据
index=numpy.random.randint(0,3000,size=1000)
test_x=ndarray_x[index]
test_x_shape={}
test_x_shape["图片数量"]=test_x.shape[0]
test_x_shape["宽度"]=str(test_x.shape[1])+"px"
test_x_shape["高度"]=str(test_x.shape[2])+"px"
test_x_shape
{'图片数量': 1000, '宽度': '32px', '高度': '32px'}
# 对应的数字
num=[0,1,2,3,4,5,6,7,8,9]*300
test_y=numpy.array(num)
test_y.sort()
test_y=test_y[index]
test_y
array([0, 9, 8, 0, 3, 3, 0, 6, 6, 2, 1, 0, 2, 9, 0, 5, 5, 1, 7, 3, 1, 9,
7, 3, 0, 8, 8, 4, 0, 5, 7, 7, 4, 3, 3, 1, 8, 2, 6, 1, 5, 0, 8, 6,
0, 2, 7, 4, 3, 1, 9, 8, 9, 4, 2, 7, 5, 3, 0, 5, 9, 4, 1, 8, 5, 7,
6, 5, 0, 9, 9, 1, 4, 9, 9, 5, 2, 6, 4, 6, 2, 2, 2, 6, 7, 7, 4, 3,
8, 7, 2, 5, 4, 2, 6, 0, 9, 9, 5, 8, 4, 3, 7, 5, 0, 1, 5, 7, 1, 3,
3, 9, 5, 8, 6, 6, 7, 5, 6, 5, 1, 6, 0, 3, 6, 3, 5, 3, 4, 5, 8, 9,
7, 2, 3, 9, 5, 6, 6, 0, 3, 2, 3, 5, 8, 8, 8, 2, 3, 0, 7, 9, 6, 0,
9, 8, 8, 6, 6, 6, 9, 2, 8, 6, 6, 7, 4, 6, 1, 7, 2, 4, 2, 6, 6, 7,
9, 4, 9, 0, 7, 6, 6, 7, 9, 9, 5, 3, 1, 1, 8, 1, 0, 6, 6, 3, 5, 4,
7, 3, 3, 5, 0, 3, 1, 9, 2, 9, 7, 0, 6, 1, 2, 6, 4, 2, 3, 0, 4, 3,
4, 9, 2, 6, 8, 4, 2, 1, 5, 1, 0, 7, 9, 2, 4, 8, 4, 4, 5, 0, 4, 1,
1, 5, 0, 4, 4, 7, 4, 1, 2, 1, 0, 1, 2, 5, 6, 6, 1, 7, 6, 7, 6, 5,
0, 2, 4, 8, 7, 7, 9, 8, 1, 7, 9, 8, 5, 0, 2, 9, 7, 8, 2, 0, 5, 4,
3, 3, 6, 1, 4, 5, 9, 9, 5, 4, 0, 9, 9, 4, 3, 9, 8, 2, 3, 5, 6, 4,
8, 5, 0, 2, 6, 5, 5, 7, 2, 1, 8, 6, 4, 7, 9, 7, 2, 6, 4, 4, 3, 9,
5, 4, 4, 0, 5, 1, 5, 8, 9, 6, 5, 3, 2, 3, 4, 1, 6, 0, 0, 8, 1, 3,
0, 4, 0, 6, 5, 9, 0, 8, 7, 5, 4, 2, 0, 3, 8, 4, 3, 2, 0, 5, 0, 8,
3, 1, 2, 5, 6, 3, 6, 0, 5, 9, 9, 8, 2, 3, 2, 1, 4, 6, 1, 7, 9, 2,
1, 5, 4, 1, 3, 3, 9, 5, 1, 4, 0, 1, 7, 2, 4, 3, 4, 0, 0, 0, 3, 5,
0, 4, 3, 5, 3, 0, 7, 7, 5, 1, 7, 2, 5, 8, 0, 0, 5, 1, 9, 5, 8, 8,
5, 4, 9, 7, 4, 2, 9, 2, 9, 5, 8, 8, 4, 9, 7, 1, 5, 1, 1, 0, 6, 9,
1, 6, 3, 3, 7, 1, 6, 0, 7, 8, 7, 3, 6, 7, 9, 1, 1, 1, 8, 8, 8, 9,
1, 4, 5, 1, 0, 7, 3, 2, 9, 3, 7, 7, 1, 7, 6, 8, 3, 8, 3, 0, 4, 3,
1, 0, 3, 3, 2, 5, 6, 6, 6, 2, 9, 4, 6, 3, 7, 6, 1, 8, 8, 4, 2, 6,
3, 7, 8, 0, 6, 4, 4, 9, 9, 2, 3, 5, 9, 2, 1, 4, 3, 9, 5, 8, 9, 5,
5, 2, 2, 7, 4, 5, 4, 6, 4, 0, 5, 9, 6, 4, 6, 9, 2, 0, 4, 6, 6, 7,
5, 8, 8, 8, 5, 8, 9, 0, 0, 3, 2, 7, 7, 3, 3, 4, 5, 2, 3, 3, 1, 0,
9, 1, 1, 8, 1, 3, 9, 8, 7, 1, 6, 9, 1, 7, 8, 4, 9, 5, 6, 4, 2, 3,
8, 3, 4, 8, 3, 8, 7, 5, 5, 0, 6, 2, 9, 8, 6, 6, 6, 5, 2, 9, 0, 1,
8, 1, 2, 6, 6, 6, 5, 4, 3, 2, 0, 6, 6, 3, 4, 5, 3, 8, 6, 4, 5, 4,
7, 6, 5, 4, 5, 8, 9, 4, 5, 5, 2, 5, 1, 5, 6, 4, 4, 1, 4, 1, 9, 8,
8, 7, 1, 9, 3, 5, 2, 5, 8, 0, 2, 7, 2, 2, 7, 5, 8, 0, 6, 0, 7, 0,
4, 2, 8, 6, 3, 3, 3, 8, 3, 6, 7, 5, 3, 9, 3, 8, 5, 8, 6, 2, 2, 0,
1, 9, 2, 6, 2, 8, 6, 0, 7, 0, 3, 4, 9, 4, 1, 2, 2, 3, 5, 5, 7, 9,
9, 7, 0, 6, 5, 8, 3, 1, 6, 8, 4, 1, 6, 7, 3, 9, 5, 1, 4, 5, 7, 1,
0, 5, 9, 4, 9, 5, 3, 6, 2, 2, 2, 3, 9, 0, 0, 2, 3, 2, 9, 9, 1, 8,
4, 7, 1, 1, 2, 4, 3, 4, 9, 7, 4, 7, 8, 6, 0, 4, 8, 7, 0, 6, 0, 5,
4, 0, 9, 7, 2, 9, 4, 0, 3, 0, 8, 4, 3, 5, 4, 5, 2, 2, 2, 7, 9, 0,
7, 2, 1, 5, 3, 6, 5, 3, 3, 1, 3, 4, 6, 4, 1, 5, 7, 7, 0, 7, 0, 3,
1, 2, 2, 3, 6, 1, 8, 3, 9, 5, 9, 7, 7, 8, 4, 3, 0, 1, 5, 1, 7, 5,
8, 5, 8, 5, 1, 7, 4, 8, 0, 2, 8, 8, 3, 2, 8, 6, 2, 1, 0, 2, 7, 3,
4, 2, 6, 3, 3, 9, 9, 1, 8, 9, 7, 4, 9, 8, 4, 4, 7, 0, 7, 0, 2, 0,
0, 2, 8, 7, 3, 6, 6, 2, 4, 2, 0, 4, 9, 0, 4, 3, 7, 5, 7, 7, 2, 6,
9, 3, 1, 0, 4, 1, 7, 8, 4, 5, 1, 4, 1, 0, 9, 3, 9, 3, 7, 1, 9, 2,
0, 2, 5, 2, 9, 1, 6, 0, 2, 1, 8, 5, 0, 1, 8, 2, 0, 0, 8, 3, 1, 1,
9, 5, 9, 7, 5, 6, 5, 7, 1, 1])
# 对应的数字
num=[0,1,2,3,4,5,6,7,8,9]*1700
train_y=numpy.array(num)
train_y.sort()
train_y
array([0, 0, 0, ..., 9, 9, 9])
# 将三维数据变为二维,fit训练数据不支持二维以上数据
train_x.reshape(17000,1024)
test_x.reshape(1000,1024)
array([[0., 0., 0., ..., 0., 0., 0.],
[0., 0., 0., ..., 0., 0., 0.],
[0., 0., 0., ..., 0., 0., 0.],
...,
[0., 0., 0., ..., 0., 0., 0.],
[0., 0., 0., ..., 0., 0., 0.],
[0., 0., 0., ..., 0., 0., 0.]], dtype=float32)
# %%time
# 训练数据
knn=KNeighborsClassifier(n_neighbors=5)
knn.fit(train_x.reshape(17000,-1),train_y)
KNeighborsClassifier(algorithm='auto', leaf_size=30, metric='minkowski', metric_params=None, n_jobs=None, n_neighbors=5, p=2, weights='uniform')
# %%time
# 获得结果
y_result=knn.predict(test_x.reshape(1000,1024))
print("预测结果:\n{}".format(y_result[500:700]),"\n实际结果:\n{}".format(test_y[500:700]))
预测结果: [6 3 2 8 5 0 2 8 4 3 7 2 7 7 9 1 5 3 4 0 9 5 2 0 5 2 0 0 0 8 0 9 0 4 9 9 4 1 3 6 0 8 6 4 6 8 2 0 7 3 2 5 6 1 4 7 7 4 5 9 7 9 0 7 0 2 1 8 7 5 4 9 2 4 7 9 8 2 6 7 3 1 6 9 6 8 7 0 1 0 2 2 0 3 3 0 5 9 5 2 2 8 2 9 7 9 8 3 9 8 9 0 7 4 2 4 9 0 3 4 3 8 6 2 2 9 5 3 1 8 2 5 1 3 7 2 7 3 2 8 1 3 5 2 1 7 9 4 4 6 9 2 9 8 9 4 5 2 2 9 1 4 9 1 9 4 1 7 2 1 2 0 3 1 8 3 5 9 0 8 3 6 6 8 1 6 1 2 0 0 0 2 1 0 5 7 9 2 7 9] 实际结果: [6 3 2 8 5 0 2 8 4 3 7 2 7 7 9 1 5 3 4 6 9 5 2 0 3 2 0 0 0 8 0 9 0 4 9 9 4 1 3 6 0 8 6 4 6 8 2 0 7 3 2 5 6 1 4 7 7 4 5 9 7 9 0 7 0 2 1 8 7 5 4 9 2 4 7 9 8 2 6 7 3 1 6 9 6 8 7 0 1 0 2 2 0 3 3 0 5 9 5 2 2 8 2 9 7 9 8 3 9 8 9 0 7 4 2 4 9 0 3 4 3 8 6 2 2 9 3 3 1 8 2 5 1 3 7 2 7 3 2 8 1 3 5 2 1 7 9 4 4 6 9 2 9 8 9 4 5 5 2 9 1 4 9 1 9 4 1 7 2 1 2 0 3 1 8 3 5 9 0 8 3 6 6 8 1 6 1 2 0 0 0 2 1 0 5 7 9 2 7 9]
# 准确率
acc=(test_y==y_result).mean()
print("准确率为:{}".format(acc))
准确率为:0.984
提高准确率
# 准确率与邻居数无关
knn=KNeighborsClassifier(n_neighbors=10)
knn.fit(train_x.reshape(17000,-1),train_y)
# score()方法既可以预测还可以求出准确率
knn.score(test_x.reshape(1000,1024),test_y)
0.974
# 改变权重为邻居数距离越近权重越高,距离越远权重越低;有的时候可以提高,有的时候不能提高
knn=KNeighborsClassifier(n_neighbors=5,weights="distance")
knn.fit(train_x.reshape(17000,-1),train_y)
# score()方法既可以预测还可以求出准确率
knn.score(test_x.reshape(1000,1024),test_y)
0.981
# p=1,使用曼哈顿距离为算法核心
# n_jobs是进程数,当=-1时,CPU有几个核就开启几个进程,提高运行速度
knn=KNeighborsClassifier(n_neighbors=5,weights="distance",n_jobs=-1)
knn.fit(train_x.reshape(17000,-1),train_y)
# score()方法既可以预测还可以求出准确率
knn.score(test_x.reshape(1000,1024),test_y)
KNN算法的优势和劣势
了解KNN算法的优势和劣势,可以帮助我们在选择学习算法的时候做出更加明智的决定。那我们就来看看KNN算法都有哪些优势以及其缺陷所在!
KNN算法优点
- 简单易用,相比其他算法,KNN算是比较简洁明了的算法。即使没有很高的数学基础也能搞清楚它的原理。
- 模型训练时间快,上面说到KNN算法是惰性的,这里也就不再过多讲述。
- 预测效果好。
- 对异常值不敏感
KNN算法缺点
- 对内存要求较高,因为该算法存储了所有训练数据
- 预测阶段可能很慢
- 对不相关的功能和数据规模敏感
- 点赞
- 收藏
- 关注作者
评论(0)