无乘法器的多常数乘法——论文简读
无乘法器的多常数乘法
Yevgen Voronenko and Markus Püschel. 2007. Multiplierless multiple constant multiplication. ACM Trans. Algorithms 3, 2 (May 2007), 11–es.
第一章 引言与问题定义
在数字信号处理(DSP)和计算机算术领域,一个核心问题是如何高效地计算变量x与多个已知定点常数t₁, t₂, …, tₙ的乘积。传统的硬件乘法器占用大量芯片面积且功耗较高,因此研究者们探索了仅使用加法、减法和移位操作来实现乘法的方法。这种方法在硬件实现中特别重要,因为移位操作可以通过简单的布线实现,几乎不占用芯片面积。
本文研究的核心问题——多常数乘法(Multiple Constant Multiplication, MCM)问题——可以形式化定义为:给定一组正整数目标常数T = {t₁, …, tₙ},找到最小的基本数集合R = {r₀, r₁, …, rₘ},使得T ⊂ R,其中r₀ = 1,且每个rₖ(1 ≤ k ≤ m)都可以通过之前的基本数通过一次A操作得到。
第二章 单常数乘法的演化
2.1 基本方法与CSD表示
考虑最简单的例子,将变量x乘以常数71。二进制表示71 = 1000111₂,直接的分解方法是:
这需要3次加法操作。使用减法的另一种分解是:
规范符号数字(CSD)表示法引入了负数位的概念,允许使用1̄来表示-1。在CSD表示中,71 = 100100̄1,因此:
这将操作数减少到2次。CSD表示的关键性质是任意两个非零位之间至少有一个零位,这保证了表示的唯一性。
2.2 图形表示与拓扑结构

图2描述:此图展示了常数45的两种不同分解方式。上部显示CSD分解,需要3次加减操作;下部显示最优分解,仅需2次操作。图中每个圆形节点代表一次加减操作,节点内的数字表示该操作的输出值。连接节点的有向边标注了移位量(2的幂次),负值表示该边对应的是减法操作。值得注意的是,最优分解使用了不同于CSD的图拓扑结构——它先计算了中间值3 = x + 2x,然后利用这个中间值计算45 = 3 + 16×3 - 4x。
第三章 A操作的数学框架
3.1 A操作的完整定义
A操作是本文算法的核心构建块。其通用形式定义为:
其中参数集p = (l₁, l₂, r, s)必须满足以下约束:
- l₁, l₂ ≥ 0(左移量)
- r ≥ 0(右移量)
- s ∈ {0, 1}(符号位,决定加法或减法)
- 2^r 必须整除 2^{l₁}u + (-1)^s2^{l₂}v(保证不丢失有效位)

图6描述:A操作的图形表示显示两个输入基本数u和v通过各自的移位后进行加法或减法运算,产生输出基本数w。图中标注了具体的移位参数和符号。直接连接到乘法器块输入的A操作具有u = v = 1的特殊情况。
3.2 奇数基本数图的约简
任何A图都可以转换为等价的仅包含奇数基本数的A图,这种转换不会增加操作数。转换的关键在于限制A配置:
- 最多允许一个非零左移(l₁或l₂)
- 当l₁ = l₂ = 0时,r必须是产生奇数值的唯一右移
这种约简显著减少了搜索空间,因为对于给定的u和v,A_{odd}的自由参数仅为s和非零左移,而通用A操作中l₁、l₂、r和s都可以变化。
第四章 多常数乘法问题
4.1 问题复杂度与共享优化

图3描述:此图展示了一个典型的乘法器块结构,输入x通过一系列A操作产生多个输出t₁, t₂, …, tₙ。内部节点表示中间计算结果,这些中间结果的共享是MCM优化的关键。
MCM问题的NP完全性可以通过归约SCM问题来证明。关键观察是,如果我们能够高效地计算A距离,那么算法2对于单个常数就是最优的。由于SCM问题是NP完全的,A距离计算也必然是NP完全的。

图4描述:此图显示了随着目标常数集合大小n的增加,平均每个12位常数所需的加减操作数。当使用独立的最优SCM分解时(上方曲线),操作数线性增长;而使用RAG-n算法(下方曲线)时,由于中间结果的共享,增长率显著降低。
4.2 实例分析:23和81的联合优化

图5描述:这是MCM优化效果的一个具体例子。图中展示了同时计算23x和81x的乘法器块。通过巧妙地选择中间节点9(= x + 8x),算法首先计算23 = 32×9 - 9x,然后利用已有的9和23计算81 = 8×(9x) + 9x。整个过程仅需3次加减操作,而独立的最优分解需要4次(每个常数各需2次)。
第五章 算法框架与现有方法
5.1 通用图基算法框架
所有图基MCM算法共享以下高层结构:
算法1:图基MCM算法通用框架
输入:目标常数集T
输出:基本数集R,满足T ⊂ R
1. R ← {1} // 初始化就绪集
2. while T ≠ ∅ do
3. 计算R的后继集S = {s | dist(R,s) = 1}
4. 根据启发式从S中选择s
5. 合成s:R ← R ∪ {s}, T ← T \ {s}
5.2 现有算法的详细分析
Bull-Horrocks算法(BHA)
BHA使用误差最小化策略:
算法按升序合成目标,每次迭代选择两个后继s₁和s₂:
RAG-n算法的三种情况

图7描述:RAG-n算法考虑三种不同的情况。左侧的"最优情况"显示目标t直接在后继集S中(距离1)。中间的"启发式情况A"显示目标在S₂中(距离2),虚线圆表示S₂不是显式计算的,而是使用启发式测试。右侧的"启发式情况B"显示目标距离超过2,需要使用预计算的查找表。
第六章 新算法设计
6.1 算法结构与优化
新算法的核心创新在于其启发式函数的设计。算法维护三个关键集合:
- R:就绪集(已合成的基本数)
- S:后继集(距离R为1的所有常数)
- W:工作列表(临时存储新合成的常数)
后继集的增量更新是算法效率的关键。设新合成的常数集为W,则更新公式为:
通过集合运算的性质,可以推导出:
这个公式避免了每次迭代重新计算整个后继集。
6.2 效益函数与启发式
定义效益函数量化添加后继s对到达目标t的改进:
考虑到距离估计的准确性随距离增加而降低,引入指数衰减的权重:
累积效益启发式通过最大化所有目标的总效益来实现联合优化:
第七章 A距离的精确计算与估计
7.1 距离1-3的精确测试

图8描述:此图展示了算法处理的四种特殊距离情况。(a)显示距离1的情况,目标直接在后继集S中。(b)显示距离2,目标在S²中但不在S中。©显示距离3,目标在S³中。(d)显示距离≥4,此时S³集合为空(用虚线表示未计算)。

图9描述:这组图详细展示了用于精确距离测试的所有图拓扑。(a)显示唯一的距离1拓扑。(b)显示两种距离2拓扑,分别对应不同的中间节点连接方式。©显示五种距离3拓扑,包括串联、并联和混合结构。每个拓扑上标注了相应的A方程,这些方程用于确定是否存在满足条件的中间值。
对于距离2的情况1,A方程为t = c₁s,其中c₁ ∈ C₁。解的存在性测试为:
对于距离2的情况2,使用引理5.2,从t = Aₚ(s, r₂)推导出:
7.2 高距离的估计方法

图10描述:此图展示了用于距离估计的部分图拓扑。每个拓扑包含一个未合成的输入z(用虚线圆表示)。估计过程首先确定所有可能的z值,然后选择CSD代价最小的值,最后将该代价加到拓扑中的操作数(减1,因为假设s已可用)。
距离估计基于以下不等式:
使用CSD代价作为辅助度量:
对于可能值集合Z:
最终的距离估计为:
其中各估计值为:
第八章 实验评估
8.1 固定常数数量的实验

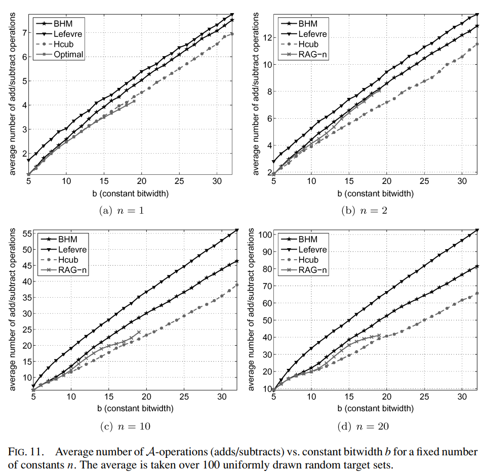
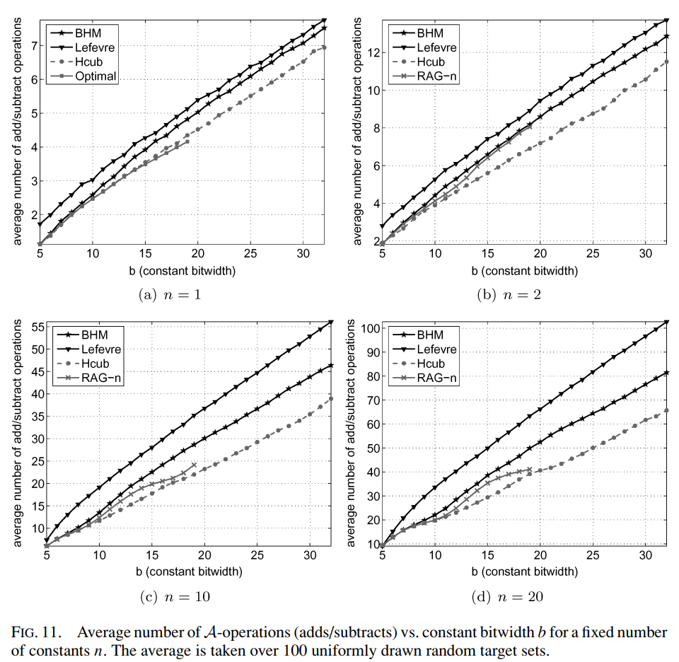
图11描述:这组图展示了四种不同算法(BHM、Lefèvre、Hcub、RAG-n)在固定常数数量(n = 1, 2, 10, 20)下的性能比较。横轴是常数位宽b,纵轴是平均加减操作数。对于单个常数(n=1),RAG-n使用最优SCM分解,因此性能最好。随着常数数量增加,Hcub的优势逐渐显现,特别是在n=20时,Hcub比RAG-n减少了17%的操作,比BHM减少了25%的操作。
8.2 固定位宽的实验

图12描述:这组六个子图展示了在不同固定位宽(b = 12, 16, 19, 22, 28, 32)下,操作数随常数数量n的变化。对于12位常数,所有算法都快速收敛到理论下界n。随着位宽增加,收敛速度减慢。在28位和32位的情况下,Hcub相比BHM的优势达到26%。
8.3 相对性能分析


图13和图14描述:这两组图展示了Hcub和BHM相对于RAG-n的性能比率。图13固定位宽,变化常数数量;图14固定常数数量,变化位宽。比率小于1表示优于RAG-n。Hcub在大多数情况下都显著优于RAG-n,特别是在b=19、n=80时,改进达到20%。
8.4 距离测试的影响

图15描述:此图比较了使用距离2测试和使用距离2+3测试的Hcub算法性能。对于单个常数,仅使用距离2测试会导致6-15%的性能下降。随着常数数量增加,两种版本的差异逐渐减小,这是因为联合优化的效果超过了精确距离测试的重要性。
第九章 复杂度分析
9.1 最坏情况界限
集合大小的最坏情况界限:
- :每对输入最多产生O(b)个输出
- :复杂度1的常数数量
- :复杂度2的常数数量
- :解的大小
- :后继集大小
9.2 运行时分析
算法各部分的运行时间:
| 组件 | 每次迭代 | 总计 |
|---|---|---|
| S计算 | - | O(n²b³log(nb)) |
| 最优部分 | O(n log(nb)) | O(n²b log(nb)) |
| 精确测试 | O(n³b⁴log(nb)) | O(n⁴b⁵log(nb)) |
| 距离估计 | - | O(n³b⁶) |
| 总计 | - | O(n⁴b⁵log(nb) + n³b⁶) |
如果仅使用距离2测试,运行时间降至O(n³b⁵)。
附录A:关键引理与定理
A.1 引理5.2的证明(A操作的可逆性)
引理5.2:如果w = Aₚ(u, v),则存在A配置p’使得u = Aₚ’(w, v)。
证明:从A操作的定义出发:
两边乘以2^r:
考虑符号,我们有:
对于第一种情况,解出u:
其中s’ = (s+1) mod 2。这正是Aₚ’(w, v)的形式,其中p’ = (r, l₂, l₁, s’)。
A.2 定理4.2的证明(算法终止性)
定理4.2:如果距离函数dist是可容许的,则算法2以Hmaxb或Hcub作为启发式函数时必然终止。
证明:定义未合成目标的距离和:
根据可容许性条件:
- D是有限的非负整数(条件1)
- T = ∅当且仅当D = 0(条件2-3)
- 添加元素到R不会增加距离(条件4)
- 总存在正效益的后继(条件5)
在每次迭代中,启发式选择具有正效益的后继s,因此:
这意味着D至少减少1。由于D是有限的且每次迭代都减少,算法必然在有限步内使D = 0,此时T = ∅,算法终止。□
A.3 定理5.1的证明(A距离计算的NP完全性)
定理5.1:在约束Aₚ(u, v) ≤ 2^{b+1}下计算A距离是NP完全问题。
证明:通过多项式时间归约SCM问题来证明。
首先,A距离问题在NP中,因为给定一个声称的距离d和相应的A操作序列,我们可以在多项式时间内验证该序列确实产生目标常数。
其次,我们将NP完全的SCM问题归约到A距离计算:
- 如果dist函数是精确的,根据定理4.3,算法2对单个常数是最优的
- 算法中,启发式每次迭代调用一次,共O(b)次迭代
- 每次迭代计算O(|S|) = O(b³)个效益值
- 因此A距离计算O(b⁴)次
这表明最优SCM分解可以在多项式时间内归约到A距离计算,因此A距离计算是NP完全的。□
附录B:A距离估计的可容许性证明
B.1 定理5.6的证明
定理5.6:设dist(R+s, t) ≃ d是从方程(23)获得的距离估计,且d < dist(R, t)。则在下一次迭代中,存在s’ ∈ S_new使得dist(R+s+s’, t) = d-1。
证明:我们需要对四种估计情况分别证明。以E₁情况为例进行详细推导。
情况1(d = E₁):
根据估计器,t ∈ A*(s, z)对某个z成立,且:
由于d ≥ 3,有Est(z) ≥ 2,即z的CSD代价至少为2。
从z的CSD表示中移除一个非零位,得到z’,满足:
存在A配置p使得:
将此代入原A方程:
通过A操作的结合性(这需要仔细的代数操作),存在配置p’和p’'使得:
注意到(因为s ∈ S,1 ∈ R),设s’ = ,则:
应用E₁估计器到新配置:
因此B(R+s, s’, t) > 0,满足定理要求。
情况2-4的证明采用类似方法,关键是利用A操作的代数性质和CSD表示的可分解性。完整证明需要对每种拓扑结构进行详细的代数推导。□
附录C:实验数据补充
C.1 标准偏差分析
除了平均操作数,我们还测量了不同算法在随机常数集上的标准偏差:
| 算法 | b=12 | b=16 | b=19 | b=22 |
|---|---|---|---|---|
| CSD | 2.31 | 3.42 | 4.18 | 5.02 |
| BHM | 1.89 | 2.76 | 3.51 | 4.23 |
| RAG-n | 1.52 | 2.21 | 2.89 | - |
| Hcub | 1.41 | 2.03 | 2.65 | 3.34 |
Hcub显示出最小的标准偏差,表明其性能更加稳定。
C.2 特殊常数集的性能
对于某些具有特殊结构的常数集(如FIR滤波器系数),算法表现出不同的特性:
对称FIR滤波器系数:由于系数的对称性,中间结果共享的机会增加,Hcub的优势更加明显,相比RAG-n可减少25-30%的操作。
2的幂次附近的常数:如{31, 33, 63, 65, 127, 129},这类常数的CSD表示特别简单,所有算法的性能都接近最优。
素数常数集:素数通常具有较复杂的二进制模式,是MCM算法的挑战性输入。Hcub在这类输入上的改进最为显著。
- 点赞
- 收藏
- 关注作者
评论(0)