【机器学习】嘿马机器学习(科学计算库)第5篇:Numpy,4.2 N维数组-ndarray【附代码文档】

🏆🏆🏆教程全知识点简介:1.机器学习常用科学计算库包括基础定位、目标。2. 人工智能概述涵盖人工智能应用场景、人工智能小案例、人工智能发展必备三要素、人工智能机器学习和深度学习。3. 机器学习概述包括机器学习工作流程、什么是机器学习、模型评估(回归模型评估、拟合)、Azure机器学习模型搭建、完整机器学习项目流程。4. 机器学习基础环境安装与使用包括Jupyter Notebook使用(一级标题、Jupyter Notebook中自动补全代码等相关功能拓展)。5. Matplotlib可视化涵盖Matplotlib HelloWorld(什么是Matplotlib、实现简单Matplotlib画图折线图、画出温度变化图、准备数据、创建画布、绘制折线图、显示图像、构造x轴刻度标签、修改坐标刻度显示、设置中文字体、设置正常显示符号、保存图片)、添加坐标轴刻度、添加网格显示、添加描述信息、图像保存、设置图形风格、常见图形绘制(常见图形种类意义、散点图绘制)。6. Numpy包括Numpy优势、N维数组ndarray(ndarray属性)、基本操作(生成数组方法、生成0和1数组、从现有数组生成、创建符合正态分布stock涨跌幅数据)、数组间运算(数组与数的运算)。7. Pandas数据结构包括Series、DataFrame。8. 文件读取与存储涵盖CSV(read_csv)、HDF(read_hdf与to_hdf)、JSON(read_josn)。9. 高级处理数据离散化包括为什么要离散化、什么是数据离散化、stock涨跌幅离散化(读取stock数据、将stock涨跌幅数据进行分组、stock涨跌幅分组数据变成one_hot编码)、案例实现。

📚📚👉👉👉 https://gitee.com/yinuo112/AI/blob/master/机器学习/嘿马机器学习(科学计算库)/note.md
🎯🎯🎯全教程总目录


🚀🚀🚀本篇主要内容
Numpy
学习目标
- 了解Numpy运算速度上的优势
- 知道数组的属性,形状、类型
- 应用Numpy实现数组的基本操作
- 应用随机数组的创建实现正态分布应用
- 应用Numpy实现数组的逻辑运算
- 应用Numpy实现数组的统计运算
- 应用Numpy实现数组之间的运算
4.2 N维数组-ndarray
学习目标
-
目标
-
说明数组的属性,形状、类型
1 ndarray的属性
数组属性反映了数组本身固有的信息。
| 属性名字 | 属性解释 |
|---|---|
| ndarray.shape | 数组维度的元组 |
| ndarray.ndim | 数组维数 |
| ndarray.size | 数组中的元素数量 |
| ndarray.itemsize | 一个数组元素的长度(字节) |
| ndarray.dtype | 数组元素的类型 |
2 ndarray的形状
首先创建一些数组。
# 创建不同形状的数组
>>> a = np.array([[1,2,3],[4,5,6]])
>>> b = np.array([1,2,3,4])
>>> c = np.array([[[1,2,3],[4,5,6]],[[1,2,3],[4,5,6]]])
分别打印出形状
>>> a.shape
>>> b.shape
>>> c.shape
(2, 3) # 二维数组
(4,) # 一维数组
(2, 2, 3) # 三维数组
如何理解数组的形状?
二维数组:

三维数组:

3 ndarray的类型
>>> type(score.dtype)
<type 'numpy.dtype'>
dtype是numpy.dtype类型,先看看对于数组来说都有哪些类型
| 名称 | 描述 | 简写 |
|---|---|---|
| np.bool | 用一个字节存储的布尔类型(True或False) | 'b' |
| np.int8 | 一个字节大小,-128 至 127 | 'i' |
| np.int16 | 整数,-32768 至 32767 | 'i2' |
| np.int32 | 整数,-2^31 至 2^32 -1 | 'i4' |
| np.int64 | 整数,-2^63 至 2^63 - 1 | 'i8' |
| np.uint8 | 无符号整数,0 至 255 | 'u' |
| np.uint16 | 无符号整数,0 至 65535 | 'u2' |
| np.uint32 | 无符号整数,0 至 2^32 - 1 | 'u4' |
| np.uint64 | 无符号整数,0 至 2^64 - 1 | 'u8' |
| np.float16 | 半精度浮点数:16位,正负号1位,指数5位,精度10位 | 'f2' |
| np.float32 | 单精度浮点数:32位,正负号1位,指数8位,精度23位 | 'f4' |
| np.float64 | 双精度浮点数:64位,正负号1位,指数11位,精度52位 | 'f8' |
| np.complex64 | 复数,分别用两个32位浮点数表示实部和虚部 | 'c8' |
| np.complex128 | 复数,分别用两个64位浮点数表示实部和虚部 | 'c16' |
| np.object_ | python对象 | 'O' |
| np.string_ | 字符串 | 'S' |
| np.unicode_ | unicode类型 | 'U' |
创建数组的时候指定类型
>>> a = np.array([[1, 2, 3],[4, 5, 6]], dtype=np.float32)
>>> a.dtype
dtype('float32')
>>> arr = np.array(['python', 'tensorflow', 'scikit-learn', 'numpy'], dtype = np.string_)
>>> arr
array([b'python', b'tensorflow', b'scikit-learn', b'numpy'], dtype='|S12')
- 注意:若不指定,整数默认int64,小数默认float64
4 总结
数组的基本属性【知道】
| 属性名字 | 属性解释 |
|---|---|
| ndarray.shape | 数组维度的元组 |
| ndarray.ndim | 数组维数 |
| ndarray.size | 数组中的元素数量 |
| ndarray.itemsize | 一个数组元素的长度(字节) |
| ndarray.dtype | 数组元素的类型 |
Numpy
学习目标
- 了解Numpy运算速度上的优势
- 知道数组的属性,形状、类型
- 应用Numpy实现数组的基本操作
- 应用随机数组的创建实现正态分布应用
- 应用Numpy实现数组的逻辑运算
- 应用Numpy实现数组的统计运算
- 应用Numpy实现数组之间的运算
4.3 基本操作
学习目标
-
目标
-
理解数组的各种生成方法
- 应用数组的索引机制实现数组的切片获取
- 应用维度变换实现数组的形状改变
- 应用类型变换实现数组类型改变
- 应用数组的转换
1 生成数组的方法
1.1 生成0和1的数组
- np.ones(shape, dtype)
- np.ones_like(a, dtype)
- np.zeros(shape, dtype)
- np.zeros_like(a, dtype)
ones = np.ones([4,8])
ones
返回结果:
array([[1., 1., 1., 1., 1., 1., 1., 1.],
[1., 1., 1., 1., 1., 1., 1., 1.],
[1., 1., 1., 1., 1., 1., 1., 1.],
[1., 1., 1., 1., 1., 1., 1., 1.]])
np.zeros_like(ones)
返回结果:
array([[0., 0., 0., 0., 0., 0., 0., 0.],
[0., 0., 0., 0., 0., 0., 0., 0.],
[0., 0., 0., 0., 0., 0., 0., 0.],
[0., 0., 0., 0., 0., 0., 0., 0.]])
1.2 从现有数组生成
1.2.1 生成方式
-
np.array(object, dtype)
-
np.asarray(a, dtype)
a = np.array([[1,2,3],[4,5,6]])
# 从现有的数组当中创建
a1 = np.array(a)
# 相当于索引的形式,并没有真正的创建一个新的
a2 = np.asarray(a)
1.2.2 关于array和asarray的不同

1.3 生成固定范围的数组
1.3.1 np.linspace (start, stop, num, endpoint)
- 创建等差数组 — 指定数量
-
参数:
-
start:序列的起始值
- stop:序列的终止值
- num:要生成的等间隔样例数量,默认为50
- endpoint:序列中是否包含stop值,默认为ture
# 生成等间隔的数组
np.linspace(0, 100, 11)
返回结果:
array([ 0., 10., 20., 30., 40., 50., 60., 70., 80., 90., 100.])
1.3.2 np.arange(start,stop, step, dtype)
- 创建等差数组 — 指定步长
-
参数
-
step:步长,默认值为1
np.arange(10, 50, 2)
返回结果:
array([10, 12, 14, 16, 18, 20, 22, 24, 26, 28, 30, 32, 34, 36, 38, 40, 42,
44, 46, 48])
1.3.3 np.logspace(start,stop, num)
-
创建等比数列
-
参数:
-
num:要生成的等比数列数量,默认为50
# 生成10^x
np.logspace(0, 2, 3)
返回结果:
array([ 1., 10., 100.])
1.4 生成随机数组
1.4.1 使用模块介绍
- np.random模块
1.4.2 正态分布
一、基础概念复习:正态分布(理解)
a. 什么是正态分布
正态分布是一种概率分布。正态分布是具有两个参数μ和σ的连续型随机变量的分布,第一参数μ是服从正态分布的随机变量的均值,第二个参数σ是此随机变量的标准差,所以正态分布记作N(μ,σ )。

b. 正态分布的应用
生活、生产与科学实验中很多随机变量的概率分布都可以近似地用正态分布来描述。
c. 正态分布特点
μ决定了其位置,其标准差σ决定了分布的幅度。当μ = 0,σ = 1时的正态分布是标准正态分布。
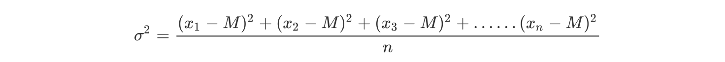
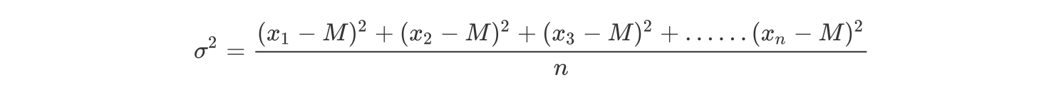
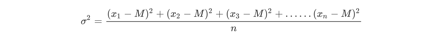
标准差如何来?
-
方差
是在概率论和统计方差衡量一组数据时离散程度的度量

其中M为平均值,n为数据总个数,σ 为标准差,σ ^2可以理解一个整体为方差

-
标准差与方差的意义
可以理解成数据的一个离散程度的衡量

二、正态分布创建方式
- np.random.randn(d0, d1, …, dn)
功能:从标准正态分布中返回一个或多个样本值
- np.random.normal(loc=0.0, scale=1.0, size=None)
loc:float
此概率分布的均值(对应着整个分布的中心centre)
scale:float
此概率分布的标准差(对应于分布的宽度,scale越大越矮胖,scale越小,越瘦高)
size:int or tuple of ints
输出的shape,默认为None,只输出一个值
- np.random.standard_normal(size=None)
返回指定形状的标准正态分布的数组。
[re 正则表达式]
举例1:生成均值为1.75,标准差为1的正态分布数据,100000000个
x1 = np.random.normal(1.75, 1, 100000000)
返回结果:
array([2.90646763, 1.46737886, 2.21799024, ..., 1.56047411, 1.87969135,
0.9028096 ])
```python
生成均匀分布的随机数
x1 = np.random.normal(1.75, 1, 100000000)
画图看分布状况
1)创建画布
plt.figure(figsize=(20, 10), dpi=100)
2)绘制直方图
plt.hist(x1, 1000)
- 点赞
- 收藏
- 关注作者
评论(0)