卷积神经网络的批归一化是什么
【摘要】 批归一化(Batch Normalization,BN)是卷积神经网络(CNN)中的一种关键技术,由Google于2015年提出,旨在解决深度神经网络训练中的内部协变量偏移(Internal Covariate Shift) 问题,显著加速收敛并提升模型稳定性。 一、批归一化的核心机制批归一化通过标准化每一层输入的分布(均值为0、方差为1),并引入可学习参数调整数据尺度与偏移...
批归一化(Batch Normalization,BN)是卷积神经网络(CNN)中的一种关键技术,由Google于2015年提出,旨在解决深度神经网络训练中的内部协变量偏移(Internal Covariate Shift) 问题,显著加速收敛并提升模型稳定性。
一、批归一化的核心机制
批归一化通过标准化每一层输入的分布(均值为0、方差为1),并引入可学习参数调整数据尺度与偏移,具体步骤如下:
-
计算批次统计量
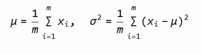
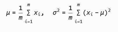
对当前批次的每个特征通道计算均值(μ)和方差(σ²):
其中 为批次大小。
-
标准化数据
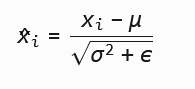
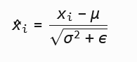
使用统计量归一化输入:
是为避免除零的小常数(如1e-5)。
-
缩放与偏移
通过可学习参数 (缩放因子)和 (偏移因子)调整数据分布:
这一步保留了网络的表达能力,避免标准化削弱非线性特性。
在CNN中,BN通常置于卷积层之后、激活函数之前(即“卷积→BN→激活”),确保非线性变换的输入分布稳定。
二、解决的核心问题:内部协变量偏移
在深层网络中,每一层输入的分布会因前层参数更新而动态变化(即内部协变量偏移),导致:
- 梯度不稳定:后续层需不断适应变化的输入,训练效率降低;
- 梯度消失/爆炸:输入落入激活函数的饱和区(如Sigmoid两端),梯度趋近于零或过大。
BN通过强制每层输入分布稳定,使激活值始终处于梯度敏感区域(如ReLU的线性区、Sigmoid的高梯度区),从而缓解上述问题。
三、如何去更好的改善训练过程呢
1. 加速收敛
- 高学习率支持:BN稳定梯度后,允许使用更大的初始学习率(可提升10倍以上),显著减少收敛所需迭代次数。
- 降低初始化依赖:传统CNN对权重初始化敏感,BN削弱了这种依赖性,使训练更鲁棒。
2. 正则化效果
- 噪声注入:每个批次的统计量(μ, σ)不同,相当于为数据添加轻微噪声,类似Dropout的正则化作用,可减少过拟合。
- 减少额外正则需求:配合BN后,Dropout或L2正则化的强度可降低甚至省略。
3. 缓解梯度问题
- 梯度传播优化:标准化使反向传播的梯度更稳定,避免深层网络中的梯度消失/爆炸,支持训练更深的架构(如ResNet-152)。
- 激活分布控制:例如,对Sigmoid函数,BN将输入集中在梯度较大的中部区域(而非饱和两端),提升参数更新效率。
四、实际中的小思路
- 训练与推理差异:
- 训练时:使用当前批次的统计量(μ, σ);
- 推理时:采用全局统计量(所有训练批次的移动平均值),确保单样本预测的稳定性。
- 参数学习: 和 通过反向传播学习,自适应调整数据分布。
- 适用场景:
- 推荐:大批次(Batch Size ≥ 32)且数据分布相近的任务(如图像分类);
- 不推荐:小批次、动态结构(如RNN)或序列任务。
五、一些局限性和可以的替代方案
| 场景 | 问题 | 替代方案 |
|---|---|---|
| 小批次训练 | 统计量估计不准,降低BN效果 | 组归一化(Group Normalization) |
| 序列模型(RNN) | BN难以处理变长序列 | 层归一化(Layer Normalization) |
| 生成任务(如GAN) | 需保留样本间风格差异 | 实例归一化(Instance Normalization) |
六、总结一下下
批归一化通过标准化层输入分布解决了内部协变量偏移问题,成为CNN训练的“加速器”和“稳定器”。其核心价值在于:
- 训练效率:支持高学习率、减少迭代次数;
- 模型稳健性:降低梯度异常和初始化依赖;
- 隐含正则化:轻微噪声抑制过拟合。
尽管在动态网络和小批次场景下存在局限,BN仍是现代CNN设计中不可或缺的组件,为ResNet、Inception等深层模型的高效训练奠定基础。
【声明】本内容来自华为云开发者社区博主,不代表华为云及华为云开发者社区的观点和立场。转载时必须标注文章的来源(华为云社区)、文章链接、文章作者等基本信息,否则作者和本社区有权追究责任。如果您发现本社区中有涉嫌抄袭的内容,欢迎发送邮件进行举报,并提供相关证据,一经查实,本社区将立刻删除涉嫌侵权内容,举报邮箱:
cloudbbs@huaweicloud.com
- 点赞
- 收藏
- 关注作者



评论(0)