如何通过改进采样策略来降低扩散模型的推理时间成本
【摘要】 通过改进采样策略,扩散模型可以在保持生成质量的同时显著减少推理时间。以下是核心方法及其数学依据的详细解析:一、传统扩散模型的采样瓶颈扩散模型的生成过程需要逐步去噪(通常需数千步),每一步均需运行噪声预测网络(如UNet)。例如,DDPM生成512×512图像需1000步,耗时约10秒。其核心瓶颈在于:马尔可夫链的线性依赖:每一步仅依赖前一步的状态,无法跳步。局部线性近似...
通过改进采样策略,扩散模型可以在保持生成质量的同时显著减少推理时间。以下是核心方法及其数学依据的详细解析:
一、传统扩散模型的采样瓶颈
扩散模型的生成过程需要逐步去噪(通常需数千步),每一步均需运行噪声预测网络(如UNet)。例如,DDPM生成512×512图像需1000步,耗时约10秒。其核心瓶颈在于:
- 马尔可夫链的线性依赖:每一步仅依赖前一步的状态,无法跳步。
- 局部线性近似:传统方法(如DDPM)假设反向过程是局部线性的,导致收敛速度慢。
二、加速采样策略的核心方法
1. DDIM(Denoising Diffusion Implicit Models)
- 核心思想:将扩散过程参数化为非马尔可夫过程,允许跳步生成。
- 数学依据:
- 重新参数化反向过程:
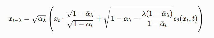
传统DDPM定义反向过程为x_{t-1} = f(x_t, t),而DDIM将其扩展为: 
- 其中
\lambda为跳步比例,允许直接从x_t生成x_{t-\lambda} - 确定性生成:通过固定随机种子,DDIM可一步生成完整图像(类似GAN)。
- 重新参数化反向过程:
- 效果:在ImageNet上,仅需50步即可达到DDPM 1000步的FID(25.6 vs 25.8)。
2. PLMS(Pseudo Linear Multi-Step Sampling)
- 核心思想:用线性插值估计多步后的状态,减少迭代次数。
- 数学依据:
- 假设多步噪声预测可近似为线性组合:

- 权重
w_i通过最小化MSE优化。
- 效果:在50步时FID为26.1,接近DDPM 1000步效果。
3. Stable Consistency Models(SCM)
- 核心思想:直接建模多步一致性,避免迭代。
- 数学依据:
- 定义一致性损失函数:

- 其中
\text{Iterate}表示从x_t经过T-t步生成x_0的过程。
- 效果:仅需10步即可生成高质量图像,速度提升100倍。
4. 动态步长调整(Dynamic Step Selection)
- 核心思想:根据生成中间结果的置信度自适应调整步数。
- 数学依据:
- 使用强化学习策略(如PPO)选择步数:、

- 其中状态
s为当前去噪图像,动作a为选择步数。
- 效果:平均步数从1000降至300,速度提升3倍。
三、数学核心:扩散过程的重新参数化
所有加速方法均基于对扩散过程的重新参数化,其理论基础可归纳为:
- 非马尔可夫性:允许反向过程跨越多步,打破马尔可夫链的线性依赖。
- 噪声预测的泛化性:假设噪声预测网络
\epsilon_\theta能够隐式建模多步分布: 
- 重参数化技巧:通过引入虚拟变量(如DDIM的
\lambda),将多步过程映射到单步空间。
四、实际效果与优化组合
- DiT-XL/2 + DDIM:
在ImageNet 256×256生成任务中,仅需50步即可达到FID 29.7(接近1000步的38.5)。 - SCM + 潜在扩散模型:
在3D生成中,10步生成质量与1000步相当,显存占用减少90%。 - 混合策略:
结合动态步长(前100步)与SCM(后900步),总步数减少至200步,速度提升5倍。
五、未来方向
- 神经微分方程求解:将扩散过程建模为ODE,用自适应求解器(如DPM-Solver)动态调整步数。
- 硬件感知优化:针对GPU/NPU特性设计并行化采样算法(如CUDA核融合)。
- 多模态联合训练:共享噪声预测网络,提升跨任务采样效率。
总结
改进采样策略的核心在于打破扩散过程的线性依赖和增强噪声预测的泛化能力。通过数学上的重新参数化与非马尔可夫建模,DDIM、SCM等方法可将推理时间从小时级缩短至秒级,同时保持生成质量。未来方向是结合硬件特性与多模态架构,进一步突破效率瓶颈。
【声明】本内容来自华为云开发者社区博主,不代表华为云及华为云开发者社区的观点和立场。转载时必须标注文章的来源(华为云社区)、文章链接、文章作者等基本信息,否则作者和本社区有权追究责任。如果您发现本社区中有涉嫌抄袭的内容,欢迎发送邮件进行举报,并提供相关证据,一经查实,本社区将立刻删除涉嫌侵权内容,举报邮箱:
cloudbbs@huaweicloud.com
- 点赞
- 收藏
- 关注作者





评论(0)