文献解读-使用 Sentieon ctDNA 分析管道高精度、高效地处理 UMI 数据集

关键词:UMI;ctDNA;Sentieon;
引言
为什么有些癌症患者在经过治疗后看似康复了,但后期会症状复发?如何才能更早地发现癌症的蛛丝马迹?传统的组织活检由于创伤大、采样位置单一等限制,难以满足临床上对肿瘤动态监测的需求。而液体活检可以通过简单的抽血检测,从血液中分离出循环肿瘤DNA(ctDNA),及时掌握患者体内肿瘤的变化情况。然而,由于ctDNA含量极其微少,如何准确检测这些微小的遗传信息变得尤为关键。因此,将介绍一下Sentieon 的解决方案---ctDNA流程;
文献介绍
- 标题(英文):Processing UMI Datasets at High Accuracy and Efficiency with the Sentieon ctDNA Analysis Pipeline
- 标题(中文):使用 Sentieon ctDNA 分析管道高精度、高效地处理 UMI 数据集
- 发表期刊:bioRxiv
- 作者单位:Sentieon
- 发表年份:2022
- 文章地址:https://doi.org/10.1101/2022.06.03.494742

液体活检通过检测循环肿瘤DNA(ctDNA)中的低等位基因频率(AF)变异,在肿瘤监测(如微小残留病MRD)中具有重要的临床价值。然而,ctDNA样本量有限,且低AF变异易受PCR扩增和测序错误干扰。使得现有UMI(唯一分子标识符)分析流程在准确性和效率上存在着优化的空间。
为此,Sentieon开发了一套完整的ctDNA分析流程,通过整合优化的比对算法(Sentieon BWA)、高效的共识序列生成工具(Sentieon Consensus)、基于单倍型的灵敏变异检测模块(TNscope)以及可定制的过滤策略(TNscope-filter),显著提升了检测的灵敏度和特异性。
测序流程
Sentieon核心优势在于高效的数据处理能力。在原始测序数据分析方面,不仅能准确完成从测序读段到变异检测的全流程分析,还能通过优化算法显著提升运行效率。特别是在处理WGS和WES等大规模测序数据时,展现出了卓越的性能表现。Sentieon能够满足不同规模的研究需求,助您更快速、准确地获取分析结果,快来试用一下吧!
Sentieon在模拟数据集测试结果中错误率均显著低于Fgbio
研究团队通过模拟数据来评估Sentieon Consensus和Fgbio的性能。从人类参考基因组随机生成500万个DNA片段,经过UMI标记、PCR扩增和测序过程,最终获得1500万个reads。
研究将输入read序列分为碱基全相同、部分相同和全不同三类进行分析。分析显示在所有类别中,Sentieon的错误率要比Fgbio低2个数量级。特别是在处理"全不同"类别时,Sentieon都保持在5%以下的错误率,而Fgbio未能给出正确结果。同时,Sentieon在碱基质量评分方面表现优异,为下游变异检测提供了可靠的质量评估。

在健康个体DNA体外混合实验中验证Sentieon ctDNA的性能
研究设计了体外混合实验来评估Sentieon ctDNA分析流程的性能。将一个个体的DNA以0.2%和0.3%的滴定率与另一个个体的DNA混合,构建三个文库并使用定制面板进行探针杂交,覆盖已知的真实SNP位点。分别在Illumina和MGI平台上测序,并将数据降采样至30,000x深度。

数据集模拟了微小残留病变(MRD)检测场景,预期突变频率低至0.1%。将Sentieon ctDNA流程与"Fgbio + Vardict"流程进行对比分析。结果显示,Sentieon流程在总体F-Score和召回率方面都略优于Fgbio + Vardict,证明Sentieon在低频变异检测方面的优越性。实验中使用不同的DNA类型和测序平台,也验证了Sentieon ctDNA在各种实验条件下的稳定表现。

在SEQC2 ctDNA数据集中验证Sentieon ctDNA的性能
研究采用SEQC2项目的标准数据集来评估Sentieon ctDNA流程性能。该项目通过混合已知突变的细胞系DNA,制备了突变频率约1%的Lbx-high和突变频率约0.2%的Lbx-low两个参考样本
为评估UMI分析效果,研究团队选取了八个Lbx-low数据集,将Sentieon的分析结果与表现最佳的BRP检测进行了对比。结果显示,在相同测序深度下,Sentieon在召回率和F1分数上均优于BRP分析流程,验证了其在低频变异检测中的优势。

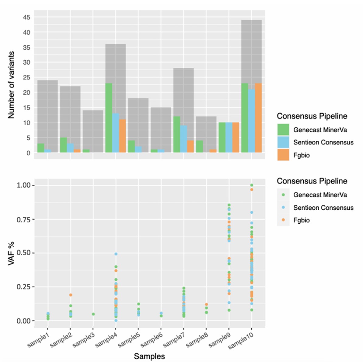
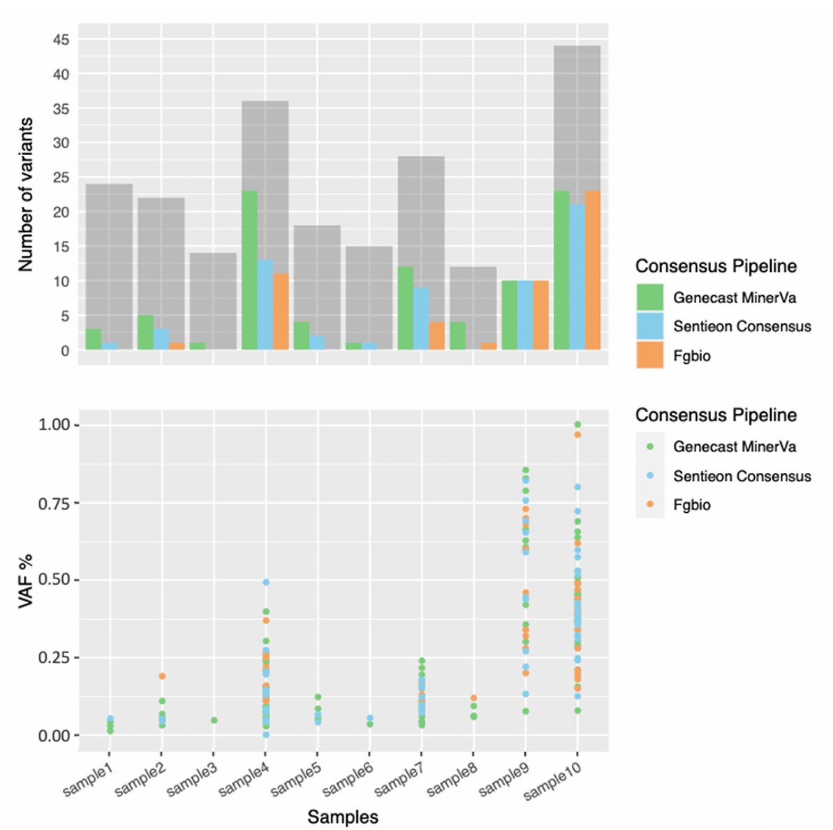
Sentieon在临床MRD检测中展现出优异的UMI共识分析性能
临床微残留病变(MRD)验证分析主要针对10个临床MRD样本开展,比较了Genecast MinerVa、Sentieon和Fgbio三种UMI共识生成工具的性能。样本经Sentieon BWA比对后,使用以上三种工具进行UMI共识分析。MinerVa采用编辑距离聚类和考虑碱基质量的统计模型生成共识reads,并通过变异模式分析来提高灵敏度和速度。
评估结果显示,在阳性率方面Genecast MinerVa表现最佳,而通过交叉患者分析评估的1998个"阴性"变异中显示三种方法特异性均超过99.5%。值得注意的是,Sentieon在未充分利用共识碱基质量信息的情况下仍展现出良好性能,这表明其仍有优化空间。研究证实了UMI共识生成方法适用于临床MRD检测场景。

Sentieon的运算速度优势:UMI数据处理效率提升20倍
为评估Sentieon工具性能,研究团队开展了两组对照实验。
在32逻辑核心Intel Xeon平台上,使用0.5% AF数据集比较UMI数据处理效率。结果显示Sentieon Consensus为4,317秒,较Fgbio的82,679秒,运行时间要快约20倍。
在ctDNA完整分析流程测试中使用体外混合数据,尽管Fgbio + Vardict采用了10线程并行处理,Sentieon仍块约10倍的速度优势。展示了Sentieon在高通量测序数据分析中的高效性能。

Sentieon 软件团队拥有丰富的软件开发及算法优化工程经验,致力于解决生物数据分析中的速度与准确度瓶颈,为来自于分子诊断、药物研发、临床医疗、人群队列、动植物等多个领域的合作伙伴提供高效精准的软件解决方案,共同推动基因技术的发展。截至 2023 年 3 月份,Sentieon 已经在全球范围内为 1300+用户提供服务,被世界一级影响因子刊物如 NEJM、Cell、Nature 等广泛引用,引用次数超过 700 篇。此外,Sentieon 连续数年摘得了 Precision FDA、Dream Challenges 等多个权威评比的桂冠,在业内获得广泛认可。
总结
本研究介绍了Sentieon ctDNA分析流程,并使用模拟和实际数据集对其准确性进行了基准测试。
在大多数测试数据集中,与其他分析流程相比,Sentieon ctDNA流程表现出更优的召回率和精确度,卓越的性能主要归功于共识序列生成工具中使用的复杂统计模型,以及Sentieon TNscope提供的高精度体细胞变异检测。除了更高的准确性外,Sentieon ctDNA流程的运行速度也远快于其他流程,能够及时处理大面板的高深度测序数据。
- 点赞
- 收藏
- 关注作者
评论(0)