死锁检测的等待图WAF示例
1 简介
死锁是系统中的一个基本问题。进程可以按任何顺序请求资源,同时可以在保留其他资源的再请求额外资源。
这死锁的发生通常是指一组进程被阻塞的现场,
这是系统中的每个进程都持有一些资源,并且其他一些进程需要获取的资源正好是已被使用的资源。
死锁检测算法有两种类型:
Wait-for-Graph 算法(单实例) — 一般看着是 RAG资源分配图的变体。
Banker’s Algorithm (Multiple Instance)
2 等待图 (WFG) 算法
构建 WFG − 第一步是构建一个显示进程之间 waitfor 关系的等待图 (WFG)。
它是 Resource Allocation (资源分配) 图形的变体。
它们的区别是:
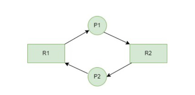
资源分配图RAG: 包含进程和资源。
等待图WFG:仅包含从 Resource Allocation Graph 转换时删除 Resources 后 Processes。
在这个算法中,我们只将进程作为图中的顶点。
如果 Wait-for-Graph 包含一个循环,那么我们可以说系统处于 Deadlock 状态。
现在,我们将讨论如何在算法方法中将 Resource Allocation 图(RAG)转换为 WFG(Wait-for-Graph)。
在从 Resource Allocation Graph 转换为 Wait-for-Graph 时,我们需要删除资源。
每个进程都由一个圆圈表示,如果前者正在等待后者持有的资源,则会从一个进程绘制一个箭头到另一个进程。
检查周期 − 在 WFG 中查找周期。如果存在循环,则表示系统死锁。
识别死锁的进程 − 识别周期中涉及的进程。这些进程处于死锁状态,并等待其他进程占用的资源。
确定资源类型 - 确定死锁中涉及的资源类型,以及每个进程持有和请求的资源。
采取纠正措施 - 采取纠正措施,通过释放资源、中止进程或抢占资源来打破僵局。一旦死锁被打破,系统就可以继续进行正常操作。
重新检查周期 − 采取纠正措施后,重新检查 WFG 的周期。如果没有更多周期,则系统不再死锁,并且可以恢复正常操作。
为了确认是否存在死锁,我们可以在 WFG 上使用循环检测算法。该算法将检测循环并识别 P2 和 P3 之间的潜在死锁。然后,我们可以采取适当的措施来解决死锁并防止它将来发生。

- WAF算法步骤
步骤1:从资源分配图中获取第一个进程 (Pi),并检查它获取资源的路径 (R我),然后使用该特定进程启动 wait-for-graph。
步骤2:为 Wait-for-Graph 创建一个路径,其中当前进程中将不包含 Resource (P我) 到下一个进程 (Pj),从下一个过程 (Pj) 查找资源 (Rj) 将被下一个进程获取 (Pk),该 (Pj).
步骤3:对所有过程重复步骤 2。
步骤4:完成所有进程后,如果我们发现一个闭环循环,则系统处于死锁状态,并检测到死锁。
3 实例
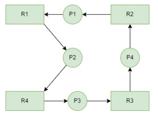
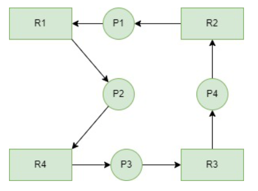
如下一个资源分配图RAG,其中包含 4 个进程 P1、P2、P3、P4 和 4 个资源 R1、R2、R3、R4。使用 Wait for Graph based deadlock detection 算法查找 Graph 中是否存在死锁。

步骤1:首先取正在等待资源 R1 的进程 P1,资源 R1 被进程 P2 获取,开始对上述资源分配图进行等待图。
P1
步骤2:现在我们可以观察到,有一条从 P1 到 P2 的路径,因为 P1 正在等待 P2 获取的 R1。现在,在删除资源 R1 之后,Graph 将如下所示。
P1 —> P2
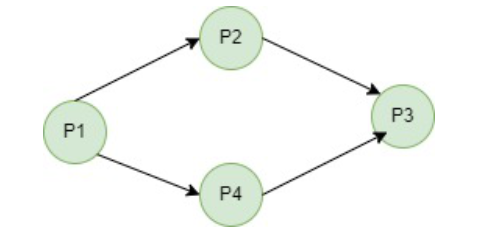
步骤3:从 P2 我们可以观察到从 P2 到 P3 的路径,因为 P2 正在等待 P3 获取的 R4。所以在删除资源 R4 后,从 P2 到 P3 的路径是这样的。
P1 —> P2 —> P3
步骤4:从 P3 中,我们找到了一条通往 P4 的路径,因为它正在等待 P4 获取的 P3。删除 R3 后,图形如下所示。
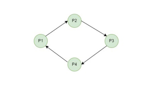
P1 —> P2 —> P3 —> P4
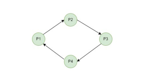
步骤5:在这里,我们可以发现进程 P4 正在等待 P1 获取的 R2。所以最后 Wait-for-Graph 如下:

步骤6:最后,在这个图表中,我们发现了一个循环,因为过程 P4 再次回到过程 P1,这是一个起点(即,它是一个闭环)。
所以,根据算法,如果我们发现了一个闭环,那么系统就处于死锁状态。所以在这里我们可以说系统处于死锁状态。
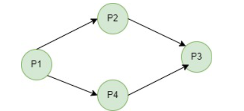
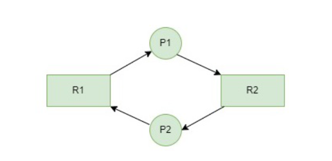
需要注意的是,即使它看起来像一个循环,但是没有流程回到起点(即,没有闭环)。
所以,根据算法,如果我们发现了一个闭环,那么系统就处于死锁状态。但在这里我们没有找到任何闭环,所以系统没有处于死锁状态。系统处于安全状态。

注意:如上图即使它看起来像一个循环,但从P1出发的进程请求没有最终回到P1,而是在等待P3,因此没有进程到达第一个进程或再次起点。所以没有闭环不构成死锁。
4 小结分析
优势
可以处理多种类型的资源
适用于具有大量进程的系统
提供死锁的清晰可视化
弊端
对于大型系统来说可能很耗时
如果对同一资源有多个请求,则可能会提供误报
假设所有资源都是预先分配的,这在某些系统中可能并非如此。
对于我们称为 WFG 检测算法的每个资源,如果有很多资源,CPU 的计算时间会非常长。解决方案是,而不是为每个无法立即授予的资源请求调用此算法。
- 点赞
- 收藏
- 关注作者
评论(0)