基于龙格库塔算法的锅炉单相受热管建模与matlab数值仿真
【摘要】 1.程序功能描述 基于龙格库塔算法的锅炉单相受热管建模与matlab数值仿真.于过热气温控制系统过于复杂,涉及多个过热器及减温过程,在本次设计中将模型简化成喷水减温器和末级过热器的组合,对喷水减温器部分和蒸汽受热管部分进行数学建模,在建模过程中按均匀传热考虑,并且将烟气按静态处理。2.测试软件版本以及运行结果展示MATLAB2022A版本运行3.核心程序pack; %计算x取值...
1.程序功能描述
基于龙格库塔算法的锅炉单相受热管建模与matlab数值仿真.于过热气温控制系统过于复杂,涉及多个过热器及减温过程,在本次设计中将模型简化成喷水减温器和末级过热器的组合,对喷水减温器部分和蒸汽受热管部分进行数学建模,在建模过程中按均匀传热考虑,并且将烟气按静态处理。
2.测试软件版本以及运行结果展示
MATLAB2022A版本运行


3.核心程序
pack;
%计算x取值范围
x0 = 0;
xf = 1;
y0 = pi/2;
Step = 16;
Xs = [x0:(xf-x0)/Step:xf];
%这个例子主要是使用自己编写的龙格库塔算法和MATLAB自带的函数进行对比精度
Y1 = func_4RGKT('func_function',x0,xf,y0,Step);
figure;
subplot(121);
plot(Xs,Y1,'b-o');
hold on;
%用matlab自带的四阶龙格库塔法解
[x,y]=ode45(@func_function,[x0,xf],y0);
plot(x,y,'r-');
xlabel('X坐标');
ylabel('Y坐标');
axis square;
grid on;
title('龙格库塔算法效果对比');
%迭代步骤和误差分析
%迭代步骤和误差分析
Step = [1:40];
Err = zeros(1,length(Step));
Ind = 0;
for j = Step
j
Y1 = zeros(1,j+1);
Ind = Ind + 1;
Xs = [x0:(xf-x0)/j:xf];
%这个例子主要是使用自己编写的龙格库塔算法和MATLAB自带的函数进行对比精度
Y1 = func_4RGKT('func_function',x0,xf,y0,j);
%用matlab自带的四阶龙格库塔法解
[x,y]=ode45(@func_function,[x0,xf],y0);
Err(Ind) = mean(abs(Y1-y(1:j+1)));
end
subplot(122);
semilogy(Step,Err,'b-o');
xlabel('龙格库塔算法迭代次数');
ylabel('误差');
axis square;
grid on;
title('迭代误差对比图');
16_021m
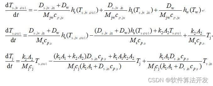
4.本算法原理
C基于龙格-库塔(Runge-Kutta, RK)算法的锅炉单相受热管建模涉及热传递和流体动力学的基本原理,旨在模拟热流体通过受热管道时的温度分布和流动特性。这一过程是热能工程和过程控制领域中的关键环节,对于理解与优化锅炉效率至关重要。模型方程整理成更简洁清晰的非线性状态空间形式:

在实际应用中,还需考虑更多的复杂因素,如非均匀管壁温度分布、多相流效应、管壁热阻、流体物性随温度变化等。这些因素的加入会使得模型更加复杂,相应的微分方程组也会更加庞大,但龙格-库塔算法因其良好的稳定性和准确性,依然适用。
【版权声明】本文为华为云社区用户原创内容,未经允许不得转载,如需转载请自行联系原作者进行授权。如果您发现本社区中有涉嫌抄袭的内容,欢迎发送邮件进行举报,并提供相关证据,一经查实,本社区将立刻删除涉嫌侵权内容,举报邮箱:
cloudbbs@huaweicloud.com
- 点赞
- 收藏
- 关注作者
评论(0)