基于方块编码的图像压缩matlab仿真,带GUI界面
1.算法运行效果图预览
(完整程序运行后无水印)



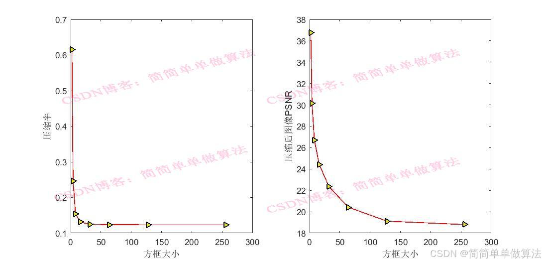
下图是随着方块大小的变化,图像的压缩率以及对应的图像质量指标PSNR的变化趋势曲线。


2.算法运行软件版本
matlab2022a
3.部分核心程序
(完整版代码包含详细中文注释和操作步骤视频)
figure;
subplot(121);
plot(sets,tr,'-r>',...
'LineWidth',1,...
'MarkerSize',6,...
'MarkerEdgeColor','k',...
'MarkerFaceColor',[0.9,0.9,0.0])
xlabel('方框大小');
ylabel('压缩率');
subplot(122);
plot(sets,PSNR,'-r>',...
'LineWidth',1,...
'MarkerSize',6,...
'MarkerEdgeColor','k',...
'MarkerFaceColor',[0.9,0.9,0.0])
xlabel('方框大小');
ylabel('压缩后图像PSNR');
% --- Executes on button press in pushbutton4.
function pushbutton4_Callback(hObject, eventdata, handles)
% hObject handle to pushbutton4 (see GCBO)
% eventdata reserved - to be defined in a future version of MATLAB
% handles structure with handles and user data (see GUIDATA)
[tr1,PSNR1]=code2(2);
disp(['压缩率',num2str(tr1)])
disp(['PSNR',num2str(PSNR1)])
% --- Executes on button press in pushbutton5.
function pushbutton5_Callback(hObject, eventdata, handles)
% hObject handle to pushbutton5 (see GCBO)
% eventdata reserved - to be defined in a future version of MATLAB
% handles structure with handles and user data (see GUIDATA)
[tr1,PSNR1]=code2(4);
disp(['压缩率',num2str(tr1)])
disp(['PSNR',num2str(PSNR1)])
% --- Executes on button press in pushbutton6.
function pushbutton6_Callback(hObject, eventdata, handles)
% hObject handle to pushbutton6 (see GCBO)
% eventdata reserved - to be defined in a future version of MATLAB
% handles structure with handles and user data (see GUIDATA)
global tr
global PSNR
global tr2
global PSNR2
[tr1,PSNR1]=code2(8);
disp(['压缩率',num2str(tr1)])
disp(['PSNR',num2str(PSNR1)])
sets = [2,4,8,16,32,64,128,256];
for ij = 1:length(sets)
[tr2(ij),PSNR2(ij)] = code(sets(ij));
end
figure;
subplot(121);
plot(sets,tr2,'-r>',...
'LineWidth',1,...
'MarkerSize',6,...
'MarkerEdgeColor','k',...
'MarkerFaceColor',[0.9,0.9,0.0])
xlabel('方框大小');
ylabel('压缩率');
subplot(122);
plot(sets,PSNR2,'-r>',...
'LineWidth',1,...
'MarkerSize',6,...
'MarkerEdgeColor','k',...
'MarkerFaceColor',[0.9,0.9,0.0])
xlabel('方框大小');
ylabel('压缩后图像PSNR');
009_030m
4.算法理论概述
随着信息技术的飞速发展,图像数据在各个领域中的应用越来越广泛。然而,图像数据通常具有较大的数据量,这给存储、传输和处理带来了很大的挑战。为了解决这个问题,图像压缩技术应运而生。图像压缩的目的是在不损失图像质量的前提下,尽可能地减少图像数据的存储空间和传输带宽。方块编码是一种基于区域划分的图像压缩方法,它将图像划分为若干个大小相同的方块,然后对每个方块进行编码。方块编码具有简单、高效、易于实现等优点,在图像压缩领域得到了广泛的应用。
(一)方块的划分
方块编码将图像划分为若干个大小相同的方块,每个方块通常由若干个像素组成。方块的大小可以根据图像的特点和压缩要求进行选择,一般为 4x4、8x8 或 16x16 等。
(二)灰度值的量化
在方块编码中,每个像素的灰度值通常被量化为有限个等级。量化的目的是减少灰度值的取值范围,从而降低编码的复杂度。量化的方法可以采用均匀量化或非均匀量化。
(三)编码单元的定义
方块编码中的编码单元是指一个方块及其对应的量化后的灰度值。编码单元通常用一个整数来表示,这个整数可以通过对编码单元进行编码得到。
4.1 编码单元的表示

为了方便编码,我们可以将编码单元表示为一个一维数组。具体方法是将编码单元中的像素按照一定的顺序排列成一个一维数组,然后用这个一维数组来表示编码单元。
4.2编码单元的编码
方块编码的核心是对编码单元进行编码。编码的目的是将编码单元表示为一个尽可能短的二进制代码。编码的方法可以采用哈夫曼编码、算术编码等。

- 点赞
- 收藏
- 关注作者
评论(0)