基于PI控制器的DC-DC结构PWM系统simulink建模与仿真
【摘要】 1.课题概述 基于PI控制器的DC-DC结构PWM系统simulink建模与仿真。包括IGBT结构,PI控制器结构,PWM模块等。 2.系统仿真结果 3.核心程序与模型版本:MATLAB2022a4.系统原理简介 在电力电子领域,特别是在直流电源变换系统(DC-DC转换器)中,脉宽调制(PWM)技术结合比例积分(PI)控制器广泛应用于电压或电流的精确控制。 ...
1.课题概述
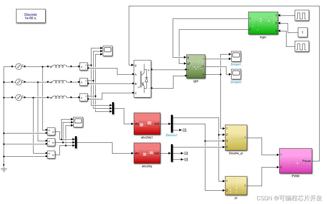
基于PI控制器的DC-DC结构PWM系统simulink建模与仿真。包括IGBT结构,PI控制器结构,PWM模块等。
2.系统仿真结果



3.核心程序与模型
版本:MATLAB2022a

4.系统原理简介
在电力电子领域,特别是在直流电源变换系统(DC-DC转换器)中,脉宽调制(PWM)技术结合比例积分(PI)控制器广泛应用于电压或电流的精确控制。
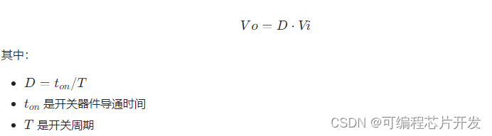
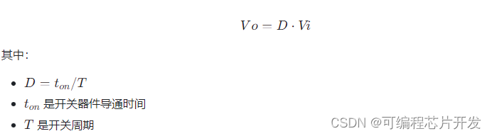
一个典型的降压型DC-DC转换器(Buck Converter)包括电感L、电容C、开关S(通常为MOSFET)以及二极管D。其工作原理基于开关周期T内的导通时间和关断时间比(即占空比D)来控制输出电压Vo相对于输入电压Vi的比例:

PI控制器负责维持输出电压Vo与参考电压Vref之间的误差尽可能小。其数学表达式如下:

PI控制器输出的占空比指令经过比较器与三角波载波信号比较后生成PWM波形。当u(k)高于三角波信号时,开关器件导通;反之则关断。这样就实现了对输出电压Vo的闭环控制。
【版权声明】本文为华为云社区用户原创内容,未经允许不得转载,如需转载请自行联系原作者进行授权。如果您发现本社区中有涉嫌抄袭的内容,欢迎发送邮件进行举报,并提供相关证据,一经查实,本社区将立刻删除涉嫌侵权内容,举报邮箱:
cloudbbs@huaweicloud.com
- 点赞
- 收藏
- 关注作者
评论(0)