深度强化学习:原理、算法与应用
引言
强化学习(Reinforcement Learning, RL)是机器学习的一个重要分支,它关注智能体(Agent)如何通过与环境的交互,基于奖励信号来学习决策策略。近年来,随着深度学习技术的迅猛发展,**深度强化学习(Deep Reinforcement Learning, DRL)**应运而生,结合了深度学习和强化学习的优势,取得了许多令人瞩目的成果,包括在复杂环境下的自动游戏玩耍、机器人控制、自动驾驶等领域的应用。
本文将深入探讨深度强化学习的原理,介绍经典的强化学习算法,并通过实例展示其实际应用。
强化学习的基本概念
强化学习的目标是让智能体通过试错法不断改进其决策策略,以最大化在环境中获得的长期累积奖励。强化学习主要由以下几个元素组成:
- 智能体(Agent):执行动作并学习如何与环境交互的实体。
- 环境(Environment):智能体所处的外部系统,智能体通过它获得反馈。
- 状态(State):环境在某一时刻的描述,通常以向量的形式表示。
- 动作(Action):智能体在某一状态下执行的操作。
- 奖励(Reward):环境对智能体执行某个动作后给予的反馈,反映动作的好坏。
- 策略(Policy):智能体根据当前状态选择动作的规则,可以是确定性的也可以是随机的。
- 价值函数(Value Function):评估某个状态或某个状态-动作对的价值,用于判断长期回报的期望。
强化学习的目标
强化学习的目标是学习一个最优策略 ( \pi^*(s) ),使得智能体在环境中能够最大化其长期奖励。智能体的奖励通常是通过累积未来奖励来计算的,这被称为回报(Return)。在时间步 ( t ) 时刻的回报可以表示为:

其中,( \gamma ) 是折扣因子(Discount Factor),它控制未来奖励的影响程度。折扣因子越小,智能体越倾向于获取短期奖励;折扣因子越大,则意味着智能体更关注长期奖励。
经典强化学习算法
1. Q-learning
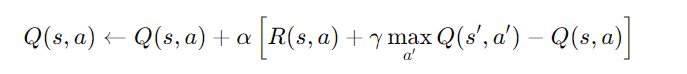
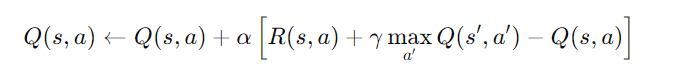
Q-learning 是强化学习中的一个经典离线算法,它通过更新 Q-值来学习最优策略。在 Q-learning 中,Q-值表示在某一状态 ( s ) 下执行动作 ( a ) 后,能够获得的最大回报。Q-值更新公式为:

其中:
- ( Q(s, a) ) 是当前状态-动作对的Q值。
- ( alpha ) 是学习率,用于控制新信息对旧信息的更新程度。
- ( R(s, a) ) 是执行动作 ( a ) 后的即时奖励。
- ( gamma ) 是折扣因子。
- ( max_{a’} Q(s’, a’) ) 是下一个状态 ( s’ ) 所有可能动作的最大 Q 值。
Q-learning 算法的目标是通过不断更新 Q 值来逐步逼近最优 Q 值,从而找到最优的策略。
2. 深度Q网络(DQN)
深度Q网络(Deep Q-Network, DQN)是将深度学习与 Q-learning 相结合的算法,它使用深度神经网络来逼近 Q 函数。在 DQN 中,传统的 Q 函数 ( Q(s, a) ) 被一个神经网络 ( Q(s, a; theta) ) 代替,其中 ( theta ) 是网络的参数。
DQN 的训练过程类似于 Q-learning,但是由于 Q 函数不再是一个表格形式,神经网络的参数需要通过梯度下降来优化。DQN 的核心思想是通过最小化均方误差(Mean Squared Error, MSE)来更新网络参数,具体的损失函数为:

其中,( theta^- ) 是目标网络的参数,用于稳定训练过程。目标网络是从 Q 网络中复制的一个副本,它的更新频率较低,这有助于减少训练过程中的方差。
3. 策略梯度方法(Policy Gradient)
策略梯度方法直接优化策略,而不是通过值函数来间接推导策略。它的核心思想是通过对策略函数的参数进行梯度更新来最大化预期的回报。
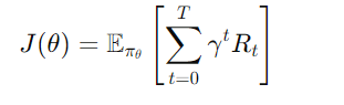
策略梯度的目标是最大化期望回报,公式如下:

其中,( pi_\theta ) 是依赖于参数 ( theta ) 的策略,( R_t ) 是在时间步 ( t ) 时的奖励。通过对 ( J(theta) ) 求梯度,得到策略的优化方向,从而更新参数 ( theta ):

4. Actor-Critic 方法
Actor-Critic 方法结合了价值函数和策略梯度方法,使用两个网络——演员(Actor)和评论员(Critic)。演员负责更新策略,而评论员则评估策略的好坏,提供一个价值估计来指导演员的更新。
演员的目标是通过最大化预期回报来优化策略,而评论员则使用时序差分(TD)方法来估计每个状态的价值:

其中,( delta_t ) 是时序差分误差:

深度强化学习的应用
深度强化学习已经在多个领域取得了显著的成果,尤其是在需要复杂决策的任务中。以下是一些深度强化学习的经典应用:
1. 游戏AI
深度强化学习最为人熟知的应用之一是在游戏领域,特别是在电子游戏中。2015年,DeepMind团队使用DQN成功训练了一个能够玩《Atari 2600》游戏的AI,它的表现超过了人类玩家。近年来,AlphaGo和AlphaZero的成功更是标志着深度强化学习在游戏领域的巨大潜力。
2. 机器人控制
在机器人控制领域,深度强化学习被用于训练机器人执行各种任务,例如物体抓取、导航、行走等。通过强化学习,机器人能够自主地从环境中学习如何进行复杂的运动和决策,甚至在没有明确指令的情况下完成复杂任务。
3. 自动驾驶
在自动驾驶领域,深度强化学习被用于决策系统的优化。例如,智能体可以通过与虚拟环境的交互来学习如何在复杂的交通场景中进行安全行驶。
深度强化学习的挑战与未来方向
尽管深度强化学习已经取得了显著的进展,但仍然面临许多挑战,尤其是在以下几个方面:
- 样本效率:深度强化学习需要大量的训练样本,训练过程非常耗时和昂贵。如何提高样本效率,使得模型能够在较少的样本下学习到有效策略,仍是一个重要的研究方向。
- 稳定性:深度强化学习模型的训练常常不稳定,尤其是在使用深度神经网络时。如何通过改进算法稳定训练过程,仍是一个活跃的研究领域。
- 迁移学习:在强化学习中,智能体往往只能在训练环境
- 点赞
- 收藏
- 关注作者
评论(0)