机器学习模型从理论到实战|【006-SVM 支持向量机】 SVM的情感分类

SVM(支持向量机):理论与应用
引言
支持向量机(SVM)是一种强大的监督学习算法,广泛应用于分类和回归问题。其核心思想是通过找到最佳的决策边界(即超平面),将数据点分开,使得两类数据之间的间隔最大化。SVM 的优势在于其较强的泛化能力,尤其在小数据集和高维数据下表现尤为突出。本文将深入探讨 SVM 的几何解释与数学推导,核函数的选择,SVM 在小数据集上的表现,并通过情感分类案例展示其实际应用。
一、SVM 的几何解释与数学推导
支持向量机的核心思想是将数据集映射到一个高维空间,在这个空间中找到一个超平面,使得数据点的分类边界最大化。这一过程可以用以下步骤详细解释:
1. 超平面与分类:
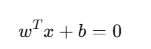
假设我们有一个二分类问题,其中每个数据点 x i属于类别 {−1,+1},目标是找到一个分割数据的超平面(平面在二维,超平面在高维空间)。对于线性可分的数据,超平面可以表示为:

其中,w 是超平面的法向量,b 是偏置项,x 是输入特征。此超平面将数据集划分为两部分,数据点位于超平面一侧为类别 +1,另一侧为类别 -1。
2. 最大间隔分类:
SVM 的目标是找到一个决策边界,使得两类数据之间的间隔最大。对于数据点 xi ,如果其满足:

其中,
yi∈{−1,+1} 是数据点的标签,那么这表示数据点 xi落在了正确的分类区域。我们希望通过最大化两类数据之间的间隔 2/∥w∥,从而最大化模型的泛化能力。
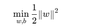
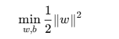
3. 最优化问题:
通过求解以下最优化问题,可以找到最佳的超平面:

同时,需要满足所有数据点的分类约束条件:

这是一个约束最优化问题,可以通过拉格朗日乘子法进行求解。最终,得到的解可以表示为:

其中,αi 是拉格朗日乘子,只有支持向量的 αi非零。
二、SVM 在小数据集上的表现
SVM 在小数据集上往往表现得非常好,特别是在数据点较少且噪声较小的情况下。其优势体现在以下几个方面:
1. 强大的泛化能力:
SVM 通过最大化间隔来构造分类边界,这使得它在数据量少的情况下也能找到一个较为理想的决策边界,从而具有较强的泛化能力。
2. 适应高维数据:
SVM 在高维空间中能有效地处理少量样本并避免过拟合。在小数据集下,SVM 通过选择支持向量而非整个数据集来建立模型,能够有效减少过拟合的风险。
3. 对噪声的鲁棒性:
SVM 可以通过调节软间隔(soft margin)参数 C 来处理噪声数据。当数据集包含一些噪声时,适当选择 C 值可以平衡拟合度与模型的泛化能力。
三、实战案例:情感分类
情感分类是一个常见的文本分类任务,旨在通过分析文本的内容来预测其情感极性(如正面或负面)。在此案例中,我们将使用 SVM 对电影评论进行情感分类。
- 数据集准备:
我们使用经典的电影评论数据集,该数据集包含评论文本和对应的情感标签(正面或负面)。首先,我们需要对文本进行预处理,包括分词、去除停用词等。
- 特征提取:
为了将文本数据转化为 SVM 可以处理的格式,我们通常使用 TF-IDF(Term Frequency-Inverse Document Frequency)来提取文本的特征。
from sklearn.feature_extraction.text import TfidfVectorizer
# 假设我们有一个电影评论数据集
X = ["I love this movie", "This movie is terrible", "What a great film", "I hate this movie"]
y = [1, 0, 1, 0] # 1表示正面,0表示负面
# 使用TF-IDF提取特征
vectorizer = TfidfVectorizer()
X_tfidf = vectorizer.fit_transform(X)
- 训练 SVM 模型:
from sklearn.svm import SVC
from sklearn.model_selection import train_test_split
# 数据集划分
X_train, X_test, y_train, y_test = train_test_split(X_tfidf, y, test_size=0.3, random_state=42)
# 训练SVM模型
svm = SVC(kernel='linear')
svm.fit(X_train, y_train)
- 模型评估:
from sklearn.metrics import accuracy_score, classification_report
# 预测并评估模型
y_pred = svm.predict(X_test)
print(f'Accuracy: {accuracy_score(y_test, y_pred)}')
print(classification_report(y_test, y_pred))
通过 SVM 的情感分类,我们能够准确地预测评论的情感极性。由于 SVM 在处理小数据集时的高效性和强大的泛化能力,它能够在有限的样本下取得较好的分类效果。
结语
支持向量机(SVM)是一个强大的分类算法,其通过寻找最佳的决策边界来实现高效的分类。通过使用合适的核函数,SVM 可以处理线性和非线性数据,具有较强的泛化能力。尤其在小数据集上,SVM 能够通过最大化间隔,减少过拟合,并有效地应对噪声问题。在实际应用中,SVM 在文本分类、情感分析等领域表现尤为出色。
- 点赞
- 收藏
- 关注作者
评论(0)