基于HASM模型的高精度建模matlab仿真
【摘要】 1.程序功能描述 本课题主要使用HASM进行高精度建模,主要对HASM模型进行介绍以及在实际中如何进行简化实现的。HASM原始的模型如下所示:2.测试软件版本以及运行结果展示MATLAB2022A版本运行3.核心程序 %第一类基本变量 E(i,j) = 1 + (( f(i,j+1,n) - f(i,j-1...
1.程序功能描述
本课题主要使用HASM进行高精度建模,主要对HASM模型进行介绍以及在实际中如何进行简化实现的。HASM原始的模型如下所示:

2.测试软件版本以及运行结果展示
MATLAB2022A版本运行

3.核心程序
%第一类基本变量
E(i,j) = 1 + (( f(i,j+1,n) - f(i,j-1,n) )/( 2*h ))^2;
F(i,j) = (( f(i,j+1,n) - f(i,j-1,n) )/( 2*h )) * (( f(i+1,j,n) - f(i-1,j,n) )/( 2*h ));
G(i,j) = 1 + (( f(i,j+1,n) - f(i,j-1,n) )/( 2*h ))^2;
%第二类基本变量
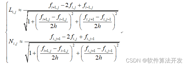
L(i,j) = ( f(i+1,j,n) - 2*f(i,j,n) + f(i-1,j,n) )/(sqrt( 1 + (( f(i,j+1,n) - f(i,j-1,n) )/( 2*h ))^2 + (( f(i+1,j,n) - f(i-1,j,n) )/( 2*h ))^2));
N(i,j) = ( f(i,j+1,n) - 2*f(i,j,n) + f(i,j-1,n) )/(sqrt( 1 + (( f(i,j+1,n) - f(i,j-1,n) )/( 2*h ))^2 + (( f(i+1,j,n) - f(i-1,j,n) )/( 2*h ))^2));
%第三类基本变量
T1_11(i,j) = ( G(i,j) * ( E(i+1,j) - E(i-1,j) ) - 2*F(i,j)*( F(i+1,j) - F(i-1,j) ) + F(i,j)*( E(i,j+1) - E(i,j-1) ) )/( 4*( E(i,j)*G(i,j) - F(i,j)^2 )*h );
T2_11(i,j) =(2*E(i,j) * ( F(i+1,j) - F(i-1,j) ) - E(i,j)*( E(i,j+1) - E(i,j-1) ) - F(i,j)*( E(i+1,j) - E(i-1,j) ) )/( 4*( E(i,j)*G(i,j) - F(i,j)^2 )*h );
T1_22(i,j) =(2*G(i,j) * ( F(i,j+1) - F(i,j-1) ) - G(i,j)*( G(i+1,j) - G(i-1,j) ) - F(i,j)*( G(i,j+1) - G(i,j-1) ) )/( 4*( E(i,j)*G(i,j) - F(i,j)^2 )*h );
T2_22(i,j) =( E(i,j) * ( G(i,j+1) - G(i,j-1) ) - 2*F(i,j)*( F(i,j+1) - F(i,j-1) ) + F(i,j)*( G(i+1,j) - G(i-1,j) ) )/( 4*( E(i,j)*G(i,j) - F(i,j)^2 )*h );
end
figure;
Fmin = max(min(min(f(:,:,Interation))),0);
Fmax = max(max(f(:,:,Interation)))/3;
clims = [Fmin,Fmax];
data3 = f(:,:,Interation);
imagesc(data3,clims);
title('HASM迭代后的结果');
axis square;
%保存最后的计算结果
save result.mat data3
%将数据保存到txt文件中
fid = fopen('savedat.txt','wt');
for i = 1:r
for j = 1:c
fprintf(fid,'%d ',data3(i,j));
end
fprintf(fid,'\n');
end
fclose(fid);
16_016m
4.本算法原理
HASM(Hierarchical Adaptive Statistical Modeling)模型是一种针对复杂系统高精度建模的方法,尤其适用于大规模、高维度数据的分析与预测。
4.1HASM模型概述
HASM模型基于层次化与自适应统计思想,通过构建多层结构模型,自下而上地捕捉数据的不同尺度特征,并通过自适应机制调整模型参数以适应数据的复杂性和不确定性。该模型的核心特点包括:
层次性:HASM模型将整个数据空间划分为多个层次,每一层代表一种特定的特征尺度。底层模型捕捉局部细节,高层模型则关注全局趋势和结构。
自适应性:模型参数在训练过程中能够根据数据分布的特性自动调整,以达到最佳拟合效果。这种自适应性体现在模型选择、参数估计、误差校正等多个环节。
统计性:HASM模型运用统计学原理对数据进行概率建模,通过最大化似然函数或最小化某种风险函数来确定最优模型参数。
4.2 HASM模型的数学表述




【版权声明】本文为华为云社区用户原创内容,未经允许不得转载,如需转载请自行联系原作者进行授权。如果您发现本社区中有涉嫌抄袭的内容,欢迎发送邮件进行举报,并提供相关证据,一经查实,本社区将立刻删除涉嫌侵权内容,举报邮箱:
cloudbbs@huaweicloud.com
- 点赞
- 收藏
- 关注作者
评论(0)