基于遗传模拟退火混合优化算法的车间作业最优调度matlab仿真,输出甘特图
1.程序功能描述
车间作业调度问题(Job Shop Scheduling Problem, JSSP)是一种典型的生产调度问题,旨在确定一系列作业在多个并行工作中心上的加工顺序和起止时间,以最小化总完成时间、最大完工时间、机器闲置时间等目标。
2.测试软件版本以及运行结果展示
MATLAB2022a版本运行




3.核心程序
% 交叉操作
Pop0{j2}=func_cross(Bestp{j2},Pop0{j2},l2,l1);
Pop0{j2}=func_cross(bestparticle1,Pop0{j2},l4,l3);
end
Fitjob=[Fitjob,minval];
if jj == 1
[x1,x2,x3]=func_decode2(bestparticle,Mjob,Mt,Nmach);
disp('迭代1次时,最小流动时间,最大完工时间,最小间隙时间')
[x1,x2,x3]
figure
func_gant(bestparticle,Pop0Long,Mjob,Mt,x2);
title('迭代1次时甘特图');
end
if jj == 10
[x1,x2,x3]=func_decode2(bestparticle,Mjob,Mt,Nmach);
disp('迭代10次时,最小流动时间,最大完工时间,最小间隙时间')
[x1,x2,x3]
figure
func_gant(bestparticle,Pop0Long,Mjob,Mt,x2);
title('迭代10次时甘特图');
end
if jj == 500
[x1,x2,x3]=func_decode2(bestparticle,Mjob,Mt,Nmach);
disp('迭代500次时,最小流动时间,最大完工时间,最小间隙时间')
[x1,x2,x3]
figure
func_gant(bestparticle,Pop0Long,Mjob,Mt,x2);
title('迭代500次时甘特图');
end
end
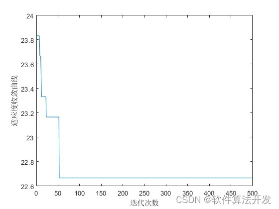
figure;
plot(Fitjob);
xlabel('迭代次数');
ylabel('适应度收敛曲线');
39
4.本算法原理
4.1遗传算法与模拟退火算法简介
遗传算法(Genetic Algorithm, GA)是一种基于自然选择和遗传机制的全局搜索算法。其主要组成部分包括:
编码(Encoding):将作业调度问题转化为基因型表示,如作业列表、工序顺序、工作中心分配等信息。
种群初始化(Population Initialization):创建一个包含多个个体(作业调度方案)的初始种群。
适应度评估(Fitness Evaluation):根据优化目标(如总完成时间)计算每个个体的适应度值。
遗传操作(Genetic Operators):包括选择、交叉(Crossover)、变异(Mutation),用于生成下一代种群。
终止条件(Termination Criteria):设定最大迭代次数、收敛阈值等,决定算法何时停止。
模拟退火算法(Simulated Annealing, SA)模拟固体材料在冷却过程中的退火现象,实现概率性接受非改进解以跳出局部最优。其主要步骤包括:
状态转移(State Transition):基于当前解生成一个邻域解。
接受概率(Acceptance Probability):
温度更新(Temperature Update):随着迭代过程,逐步降低温度T,遵循降温策略如指数降温:
Tt+1=αTt
其中,α是冷却系数,通常取值在(0 < α<1)之间。
4.2 GSAHO算法应用于JSSP
编码:采用作业列表表示法(Job-List Representation),每个个体由n个子串组成,每个子串代表一个作业,子串内部按照工序顺序排列。例如,I = [i_1, i_2, ..., i_n],其中i_j = [o_{j1}, o_{j2}, ..., o_{jm_j}],o_{jk}表示作业j的第k道工序在工作中心上的起始时间。
适应度函数:根据优化目标定义适应度函数。以最小化最大完工时间(Makespan)为例,适应度函数为:

其中,C_{max}为最大完工时间,p_{jk}为作业j的第k道工序的加工时间,t_{jk}为其等待时间(由调度决定)。
遗传操作:采用轮盘赌选择、部分匹配交叉(PMX)和单点变异等遗传算子。
模拟退火:在遗传算法的基础上,引入模拟退火过程,每次迭代后以一定的接受概率接受非改进解,以增加种群的多样性并避免早熟收敛。
- 点赞
- 收藏
- 关注作者
评论(0)