基于SIR模型的疫情发展趋势预测算法matlab仿真
【摘要】 1.程序功能描述 基于SIR模型的疫情发展趋势预测算法.对病例增长进行SIR模型拟合分析,并采用模型参数拟合结果对疫情防控力度进行比较。整体思路为采用SIR微分方程模型,对疫情发展进行过程进行拟合。2.测试软件版本以及运行结果展示MATLAB2022a版本运行3.核心程序Opt=optimset; % 创建优化设置结构体Opt.LargeScale ='off'; % 关闭大规模...
1.程序功能描述
基于SIR模型的疫情发展趋势预测算法.对病例增长进行SIR模型拟合分析,并采用模型参数拟合结果对疫情防控力度进行比较。整体思路为采用SIR微分方程模型,对疫情发展进行过程进行拟合。
2.测试软件版本以及运行结果展示
MATLAB2022a版本运行

3.核心程序
Opt=optimset; % 创建优化设置结构体
Opt.LargeScale ='off'; % 关闭大规模算法
Opt.TolFun = 1e-30; % 设置函数值收敛容忍度
Opt.Tolx = 1e-20; % 设置自变量收敛容忍度
Opt.TolCon = 1e-30; % 设置约束收敛容忍度
b0=[0.0000046,0.02,10000,10,0]'; % 初始化需要拟合的参数
%有约束极小优化参数
[btarget,y]=fmincon(@func_parameter,b0,[],[],[],[],bmin,bmax,[],Opt);
%%
% 使用优化后的参数计算预测数据
date=0:120;% 定义新的日期范围
% 原始日期数组
dateRaw=0:length(real_data)-1;
% 使用优化后的参数解ODE
[date,X]=ode45(@func_SIR,date,btarget(3:5),[],btarget(1:2));
S=X(:,1); % 提取易感者数量
I=X(:,2); % 提取感染者数量
R=X(:,3); % 提取移除者数量
35
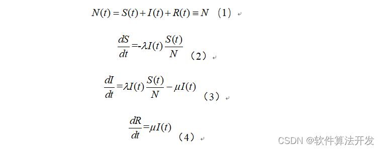
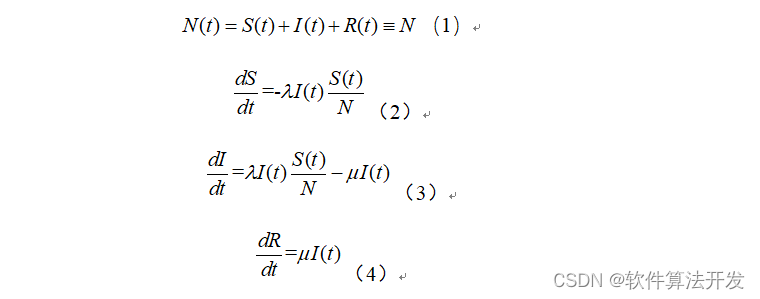
4.本算法原理
疾病传播模型采用的是SIR模型,模型结构如下图所示。

总人群由易感人群(S)、感染者(I)、隔离者(R)三部分构成。在计算过程中,总人口数目(N)保持不变:感染者具有传染能力,其每日接触易感人群数为 λ。而相应的,每日医疗机构会隔离比例为 μ 的患者,被隔离之后,感染者不再接触易感人群,丧失传染疾病的能力。
通过对上述微分方程组进行解析或数值求解,可以得到随时间变化的S(t), I(t), R(t) 函数,进而预测疫情发展趋势。通常情况下,需要根据实际情况确定参数β 和γ 的值,有时可以通过历史数据进行参数估计。
SIR模型为分析传染病传播动态提供了基础框架,但也存在一些简化假设,例如忽略了年龄结构、免疫效果等因素。在实际应用中,SIR模型可以进行多种扩展,如加入潜伏期的SEIR模型(Susceptible-Exposed-Infectious-Recovered)、考虑出生和死亡的SIRD模型(Susceptible-Infected-Recovered-Dead)等。
【版权声明】本文为华为云社区用户原创内容,未经允许不得转载,如需转载请自行联系原作者进行授权。如果您发现本社区中有涉嫌抄袭的内容,欢迎发送邮件进行举报,并提供相关证据,一经查实,本社区将立刻删除涉嫌侵权内容,举报邮箱:
cloudbbs@huaweicloud.com
- 点赞
- 收藏
- 关注作者
评论(0)