算法的学习笔记—复杂链表的复制(牛客JZ35)
【摘要】 在许多实际应用中,我们会遇到复杂链表的复制问题。复杂链表不同于一般的单链表,不仅每个节点有指向下一个节点的指针,还有一个特殊的指针 `random`,可以指向链表中的任意节点或 `null`。如何高效地复制这样一个复杂链表是一个常见的面试题。本文将详细解析这一问题,并提供一个Java实现。
😀前言
在许多实际应用中,我们会遇到复杂链表的复制问题。复杂链表不同于一般的单链表,不仅每个节点有指向下一个节点的指针,还有一个特殊的指针random,可以指向链表中的任意节点或null。如何高效地复制这样一个复杂链表是一个常见的面试题。本文将详细解析这一问题,并提供一个Java实现。
复杂链表的复制
问题描述
给定一个复杂链表,其中每个节点包含一个整型值 label,一个指向下一个节点的指针 next,以及一个指向链表中任意节点的特殊指针 random。我们的任务是返回这个链表的深拷贝,即创建一个新的链表,其结构和原始链表完全相同,但各节点是独立的。
public class RandomListNode {
int label;
RandomListNode next = null;
RandomListNode random = null;
RandomListNode(int label) {
this.label = label;
}
}

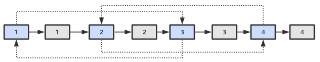
如上图所示,每个节点有两个指针,一个指向下一个节点,另一个随机指向链表中的任意节点或 null。
解题思路
为了高效地复制这个复杂链表,可以分为三个主要步骤:
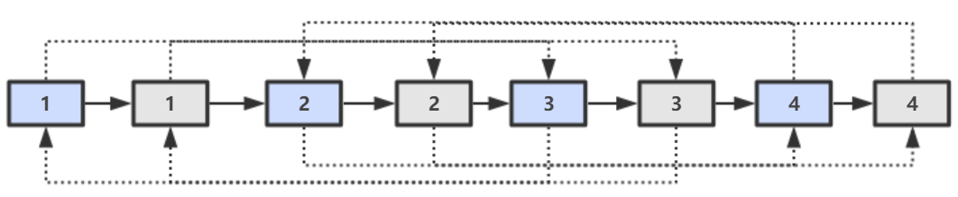
- 插入复制节点:在每个原节点的后面插入一个新的复制节点。新节点的
label和原节点相同,next指针指向原节点的下一个节点,而原节点的next指针则指向这个新插入的复制节点。

- 建立
random链接:在完成复制节点的插入后,遍历链表,为每个复制节点设置random指针,使其指向原节点random指针指向的节点的下一个节点。

- 拆分链表:最后,将链表拆分为两个独立的链表,一个是原始链表,另一个是复制链表。我们要确保原链表和复制链表的结构和指针完全独立。

Java代码实现
以下是实现这个算法的Java代码,并附有详细的注释解释每一步的操作。
public class Solution {
/**
* 复制复杂链表
* @param pHead 原链表的头节点
* @return 复制链表的头节点
*/
public RandomListNode Clone(RandomListNode pHead) {
if (pHead == null) {
return null; // 如果原链表为空,直接返回null
}
// 第一步:在每个节点后面插入复制的节点
RandomListNode cur = pHead;
while (cur != null) {
RandomListNode clone = new RandomListNode(cur.label); // 创建新节点
clone.next = cur.next; // 复制节点的next指向原节点的下一个节点
cur.next = clone; // 原节点的next指向复制节点
cur = clone.next; // 移动到下一个原节点
}
// 第二步:为复制节点建立 random 链接
cur = pHead; // 重置指针到链表头
while (cur != null) {
RandomListNode clone = cur.next; // 获取复制节点
if (cur.random != null) {
clone.random = cur.random.next; // 复制节点的random指向原节点的random的下一个节点
}
cur = clone.next; // 移动到下一个原节点
}
// 第三步:拆分链表,将复制节点从原链表中分离出来
cur = pHead; // 重置指针到链表头
RandomListNode pCloneHead = pHead.next; // 记录复制链表的头节点
while (cur.next != null) {
RandomListNode next = cur.next; // 获取当前节点的下一个节点
cur.next = next.next; // 将当前节点的next指针指向下一个原节点
cur = next; // 移动到下一个节点
}
return pCloneHead; // 返回复制链表的头节点
}
}
代码解析
- 插入复制节点:
- 首先,遍历原始链表,对于每个节点,创建一个新节点,将其插入到当前节点与下一个节点之间。
- 建立
random链接:- 再次遍历链表,为每个复制节点设置
random指针,指向原节点random所指向的节点的下一个节点。
- 再次遍历链表,为每个复制节点设置
- 拆分链表:
- 最后一步,将原链表和复制链表分离。原链表恢复原样,而复制链表则成为一个独立的链表。
关键点解析
- 时间复杂度:
- 整个过程只需遍历链表三次,时间复杂度为 O(N),其中 N 是链表节点的数量。
- 空间复杂度:
- 由于使用的是原地算法,没有额外的空间开销,空间复杂度为 O(1)。
😄总结
本文介绍了一种高效的算法来解决复杂链表的复制问题。通过在原链表中插入复制节点、建立 random 链接、以及最后的拆分操作,我们可以在O(N)的时间复杂度内完成链表的深拷贝。这种方法不仅简洁高效,而且避免了使用额外的数据结构,是面试中的经典题目之一。
【声明】本内容来自华为云开发者社区博主,不代表华为云及华为云开发者社区的观点和立场。转载时必须标注文章的来源(华为云社区)、文章链接、文章作者等基本信息,否则作者和本社区有权追究责任。如果您发现本社区中有涉嫌抄袭的内容,欢迎发送邮件进行举报,并提供相关证据,一经查实,本社区将立刻删除涉嫌侵权内容,举报邮箱:
cloudbbs@huaweicloud.com
- 点赞
- 收藏
- 关注作者
评论(0)