算法的学习笔记—对称的二叉树(牛客JZ28)
【摘要】 在算法的世界中,二叉树是一个极其重要的数据结构。它不仅广泛应用于各种算法的设计中,也是面试中常见的考察点之一。今天,我们将深入探讨一个经典的二叉树问题——对称的二叉树,并且会展示如何通过Java代码来解决这个问题。
😀前言
在算法的世界中,二叉树是一个极其重要的数据结构。它不仅广泛应用于各种算法的设计中,也是面试中常见的考察点之一。今天,我们将深入探讨一个经典的二叉树问题——对称的二叉树,并且会展示如何通过Java代码来解决这个问题。
💞对称的二叉树
🤔题目描述
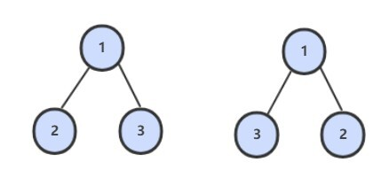
我们需要判断一个二叉树是否是对称的。所谓对称的二叉树,简单来说就是一棵二叉树,它的左子树和右子树在结构上是镜像对称的。
举个简单的例子,下面这棵树是对称的:

😊解题思路
为了判断一棵二叉树是否对称,我们可以从以下几点来考虑:
- 如果二叉树为空,则它是对称的。
- 如果二叉树的左子树和右子树都为空,或者它们的结构及其对应节点的值都相等,那么这棵树是对称的。
- 递归地检查左子树的左节点与右子树的右节点,左子树的右节点与右子树的左节点,依次类推。如果所有节点都满足对称条件,则这棵树是对称的。
😃代码实现
在Java中,我们可以通过递归来实现这个判断。代码如下:
boolean isSymmetrical(TreeNode pRoot) {
// 如果树为空,则认为它是对称的
if (pRoot == null)
return true;
// 判断左子树和右子树是否对称
return isSymmetrical(pRoot.left, pRoot.right);
}
boolean isSymmetrical(TreeNode t1, TreeNode t2) {
// 如果两个子树都为空,则它们是对称的
if (t1 == null && t2 == null)
return true;
// 如果其中一个为空,而另一个不为空,则它们不是对称的
if (t1 == null || t2 == null)
return false;
// 如果两个节点的值不相等,则它们不是对称的
if (t1.val != t2.val)
return false;
// 递归检查子树的结构和节点值是否对称
return isSymmetrical(t1.left, t2.right) && isSymmetrical(t1.right, t2.left);
}
😀代码解析
isSymmetrical(TreeNode pRoot)方法首先检查根节点是否为空,如果为空则认为树是对称的。如果不为空,则调用isSymmetrical(TreeNode t1, TreeNode t2)方法来检查树的左子树和右子树是否对称。- 在
isSymmetrical(TreeNode t1, TreeNode t2)方法中,我们首先处理两个终止条件:- 如果
t1和t2都为 null,则返回true,表示当前子树是对称的。 - 如果
t1或t2中只有一个为 null,则返回false,表示当前子树不对称。 - 如果
t1和t2的值不相等,则返回false。
- 如果
- 最后,通过递归调用
isSymmetrical方法检查t1的左子树和t2的右子树是否对称,同时检查t1的右子树和t2的左子树是否对称。如果两者都对称,则整个树是对称的。
😄总结
对称的二叉树问题通过递归的方法可以得到优雅的解决方案。这一问题不仅考察了我们对二叉树结构的理解,还测试了我们递归处理问题的能力。通过这种方式,我们能够快速有效地判断一棵树是否对称,进一步提升我们的算法设计和编码能力。希望这篇文章能够帮助大家更好地理解对称的二叉树问题及其解决方法。
【声明】本内容来自华为云开发者社区博主,不代表华为云及华为云开发者社区的观点和立场。转载时必须标注文章的来源(华为云社区)、文章链接、文章作者等基本信息,否则作者和本社区有权追究责任。如果您发现本社区中有涉嫌抄袭的内容,欢迎发送邮件进行举报,并提供相关证据,一经查实,本社区将立刻删除涉嫌侵权内容,举报邮箱:
cloudbbs@huaweicloud.com
- 点赞
- 收藏
- 关注作者
评论(0)