算法的学习笔记—二叉树的镜像(牛客JZ27)
【摘要】 在二叉树相关的问题中,镜像操作是一个非常经典且常见的题目。本文将通过一道具体的题目,详细讲解如何将一棵二叉树转换为它的镜像,并提供实现该操作的Java代码示例。
😀前言
在二叉树相关的问题中,镜像操作是一个非常经典且常见的题目。本文将通过一道具体的题目,详细讲解如何将一棵二叉树转换为它的镜像,并提供实现该操作的Java代码示例。
😊二叉树的镜像
🤔问题描述
给定一棵二叉树,要求将其转换为该二叉树的镜像。换句话说,二叉树的左子树和右子树需要交换位置。
😉示例
-
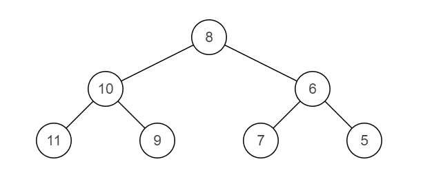
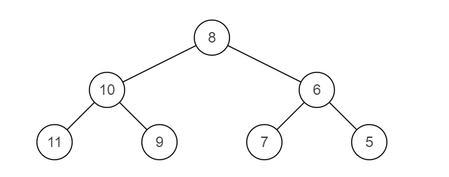
示例1:
输入:
{8,6,10,5,7,9,11}输出:
{8,10,6,11,9,7,5}说明:根据输入二叉树的结构,它的镜像应该是如下形式:
比如:源二叉树

镜像二叉树

-
示例2:
输入:
{}输出:
{}说明:空树的镜像还是空树。
💗数据范围
- 二叉树的节点数
0 ≤ n ≤ 1000 - 二叉树每个节点的值
0 ≤ val ≤ 1000
💗数据要求
-
空间复杂度
O(n)。 -
本题也有原地操作,即空间复杂度
O(1)的解法,时间复杂度O(n)
🧐解题思路
将二叉树转换为镜像的操作本质上就是交换每个节点的左右子树。我们可以通过递归的方法遍历整棵树,并在每个节点上进行左右子树的交换。
具体步骤如下:
- 递归终止条件:
- 如果当前节点为
null,说明已经到达叶子节点的下一层,返回null。
- 如果当前节点为
- 交换左右子树:
- 通过一个辅助函数,将当前节点的左子树和右子树交换。
- 递归处理:
- 递归地处理左右子树,继续向下遍历,直到整个二叉树的左右子树都被交换完毕。
🥳Java实现
下面是具体的Java代码实现:
public class Solution {
// 主函数,执行二叉树镜像操作
public TreeNode Mirror(TreeNode root) {
// 如果根节点为空,直接返回
if (root == null)
return root;
// 交换当前节点的左右子树
swap(root);
// 递归处理左右子树
Mirror(root.left);
Mirror(root.right);
// 返回镜像后的根节点
return root;
}
// 辅助函数,交换当前节点的左右子树
private void swap(TreeNode root) {
// 临时存储左子树
TreeNode temp = root.left;
// 左子树变为右子树
root.left = root.right;
// 右子树变为左子树
root.right = temp;
}
}
🥰代码解析
- Mirror方法:
- 这是主函数,用于执行二叉树的镜像操作。首先检查当前节点是否为空,如果是,直接返回
null。否则,调用swap方法交换当前节点的左右子树,然后递归处理左右子树。
- 这是主函数,用于执行二叉树的镜像操作。首先检查当前节点是否为空,如果是,直接返回
- swap方法:
- 该方法用于交换当前节点的左右子树。我们使用一个临时变量来存储左子树,然后将右子树赋值给左子树,最后将临时变量中的左子树赋值给右子树,从而完成交换。
💝空间复杂度与时间复杂度
- 空间复杂度: 在递归实现中,主要的空间消耗在于递归调用栈。最坏情况下(如二叉树为链式结构),递归深度为
O(n),因此空间复杂度为O(n)。如果要求原地操作,理论上可以通过迭代的方式实现,空间复杂度为O(1)。 - 时间复杂度: 由于每个节点都需要访问并进行交换操作,因此时间复杂度为
O(n)。
😄总结
镜像二叉树的问题是二叉树操作中的经典问题,通过递归的方法可以高效地实现。在实际应用中,理解这个问题有助于掌握二叉树的基本操作和递归思想。这一操作在图像处理、数据结构调整等场景中都有着广泛的应用。希望通过本文的讲解,您能够掌握二叉树镜像的基本概念和实现方法。
【声明】本内容来自华为云开发者社区博主,不代表华为云及华为云开发者社区的观点和立场。转载时必须标注文章的来源(华为云社区)、文章链接、文章作者等基本信息,否则作者和本社区有权追究责任。如果您发现本社区中有涉嫌抄袭的内容,欢迎发送邮件进行举报,并提供相关证据,一经查实,本社区将立刻删除涉嫌侵权内容,举报邮箱:
cloudbbs@huaweicloud.com
- 点赞
- 收藏
- 关注作者
评论(0)