算法的学习笔记—反转链表(牛客JZ24)
😀前言
在算法面试中,链表问题是一个常见的考点,而反转链表更是其中的经典题目之一。本篇文章将通过具体的代码实现和思路解析,带你深入理解反转链表的解法。
😀反转链表
😊问题描述
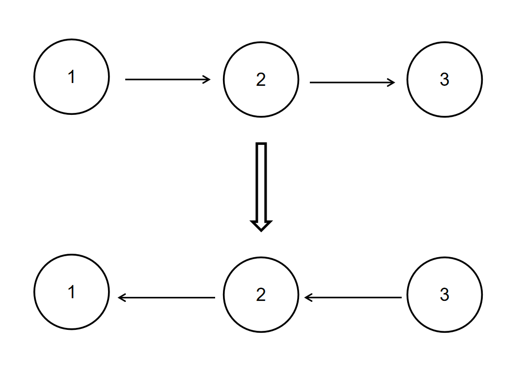
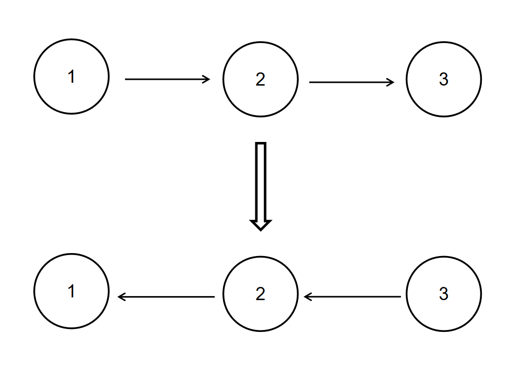
给定一个单链表的头结点 pHead,其长度为 n,要求将链表反转并返回反转后的新链表的头节点。我们需要在空间复杂度为 O(1) 和时间复杂度为 O(n) 的条件下完成这一操作。
例如,当输入链表为 {1,2,3} 时,经过反转后得到的链表应为 {3,2,1}。
以上转换过程如下图所示:

示例1
- 输入:
{1,2,3} - 输出:
{3,2,1}
示例2
- 输入:
{} - 输出:
{} - 说明:空链表则输出为空。
😉解题思路
反转链表主要有两种解法:递归和迭代。下面我们将分别介绍这两种方法。
🥰递归解法
递归是一种非常自然的思维方式。在反转链表的问题中,递归的核心思想是将链表逐步缩短,并将缩短后的链表进行反转。具体来说,假设我们已经成功反转了链表的后半部分,那么我们只需要将当前节点接到反转后的链表末尾即可。
递归解法的代码实现如下:
public ListNode ReverseList(ListNode head) {
// 基本情况:如果链表为空或只有一个节点,则直接返回当前节点
if (head == null || head.next == null)
return head;
// 递归反转后续节点
ListNode next = head.next;
head.next = null;
ListNode newHead = ReverseList(next);
// 将当前节点接到反转后的链表末尾
next.next = head;
return newHead;
}
递归解法的分析
- 时间复杂度:
O(n)。递归遍历了链表中的每一个节点,时间复杂度为O(n)。 - 空间复杂度:
O(n)。由于递归函数调用占用了系统栈空间,空间复杂度为O(n),不满足题目对O(1)空间复杂度的要求。
虽然递归解法简单直观,但由于其空间复杂度为 O(n),不满足题目的要求。因此,在实际应用中,我们通常选择迭代解法。
🥰迭代解法
迭代解法通过头插法实现链表的反转。在遍历链表的过程中,将当前节点插入到新链表的头部,从而完成链表的反转。
迭代解法的代码实现如下:
public ListNode ReverseList(ListNode head) {
// 创建一个新的空链表,用于存储反转后的节点
ListNode newList = new ListNode(-1);
while (head != null) {
// 保存当前节点的下一个节点
ListNode next = head.next;
// 将当前节点插入到新链表的头部
head.next = newList.next;
newList.next = head;
// 移动到下一个节点
head = next;
}
// 返回新链表的头节点
return newList.next;
}
迭代解法的分析
- 时间复杂度:
O(n)。迭代遍历了链表中的每一个节点,时间复杂度为O(n)。 - 空间复杂度:
O(1)。由于我们只使用了常量级别的额外空间,空间复杂度为O(1)。
迭代解法不仅满足题目对时间复杂度和空间复杂度的要求,还避免了递归深度过大的问题,是一种更为高效和实用的解决方案。
😄总结
反转链表问题是链表类题目中的经典问题,通过递归和迭代两种不同的方法,我们可以灵活应对各种场景。递归解法简单直观,但在空间复杂度上有所欠缺;而迭代解法则在时间和空间效率上更胜一筹,适合在实际工程中使用。
通过本文的学习,相信你已经掌握了反转链表的核心思路和两种主要解法。无论是在面试中还是实际开发中,希望这些技巧都能助你一臂之力。
- 点赞
- 收藏
- 关注作者
评论(0)