基于多路径路由的全局感知网络流量分配优化算法matlab仿真
1.程序功能描述

2.测试软件版本以及运行结果展示
MATLAB2022a版本运行





3.核心程序
figure;
bar(alpha);
text(0.5,0.8,'用户1,8节点');
text(1,0.9,'用户2,8节点');
text(1.5,0.8,'用户1,11节点');
text(2,0.9,'用户2,11节点');
axis([0,3,0,1.2])
figure;
bar(beta);
text(0.6,0.3,'用户1,路径8-11');
text(1.6,0.9,'用户2,路径8-11');
axis([0,3,0,1.2]);
figure;
plot(X1,'-bs',...
'LineWidth',1,...
'MarkerSize',6,...
'MarkerEdgeColor','k',...
'MarkerFaceColor',[0.9,0.0,0.0]);
hold on
plot(X2,'-mo',...
'LineWidth',1,...
'MarkerSize',6,...
'MarkerEdgeColor','k',...
'MarkerFaceColor',[0.5,0.9,0.0]);
hold on
plot(X3,'-b^',...
'LineWidth',1,...
'MarkerSize',6,...
'MarkerEdgeColor','k',...
'MarkerFaceColor',[0.2,0.9,0.5]);
hold on
plot(X4,'-r>',...
'LineWidth',1,...
'MarkerSize',6,...
'MarkerEdgeColor','k',...
'MarkerFaceColor',[0.9,0.9,0.0]);
hold on
legend('用户1,8节点','用户2,8节点','用户1,11节点','用户2,11节点');
figure;
plot(Y1,'-bs',...
'LineWidth',1,...
'MarkerSize',6,...
'MarkerEdgeColor','k',...
'MarkerFaceColor',[0.9,0.0,0.0]);
hold on
plot(Y2,'-mo',...
'LineWidth',1,...
'MarkerSize',6,...
'MarkerEdgeColor','k',...
'MarkerFaceColor',[0.5,0.9,0.0]);
hold on
legend('用户1,路径8-11','用户2,路径8-11');
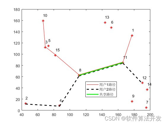
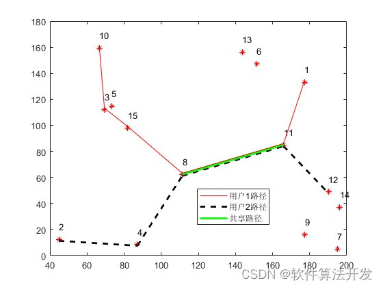
figure;
plot(X,Y,'r*');
hold on
for j1 = 1:Nodes
text(X(j1),Y(j1)+10,[num2str(j1)]);
end
for i = 1:User
paths = PATHS{i};
for j = 1:length(paths)-1
if i == 1
h1=plot([X(paths(j)),X(paths(j+1))],[Y(paths(j)),Y(paths(j+1))]+1,'r'); hold on
end
if i == 2
h2=plot([X(paths(j)),X(paths(j+1))],[Y(paths(j)),Y(paths(j+1))]-1,'k--','linewidth',2); hold on
end
end
end
hold on
for j = 1:length(Spath)-1
h3=plot([X(Spath(j)),X(Spath(j+1))],[Y(Spath(j)),Y(Spath(j+1))],'g','linewidth',2); hold on
end
legend([h1,h2,h3],'用户1路径','用户2路径','共享路径');
figure;
plot(Error3,'b-o')
grid on
xlabel('优化迭代次数');
ylabel('min U');
hold on
plot(1:MAXGEN,10.1928*ones(1,50),'r','linewidth',2);
12_030m
4.本算法原理
随着网络规模的扩大和流量的增长,传统的单路径路由策略已经无法满足现代网络的需求。为了更有效地利用网络资源和提高网络性能,多路径路由策略逐渐被广泛应用于实际网络中。本文提出了一种基于多路径路由的全局感知网络流量分配优化算法,旨在实现网络流量的均衡分配,降低网络拥塞,提高网络吞吐量。
4.1网络模型
考虑一个由N个节点和M条边组成的网络,表示为G(N, M)。每个节点表示一个网络设备(如路由器或交换机),每条边表示网络连接。网络中存在K种类型的流量,每种流量具有不同的带宽需求和优先级。

4.2 全局感知网络流量分配优化算法
假设每种类型的流量在网络中均匀分布,表示为D = [d1, d2, ..., dK],其中dk表示第k种流量的需求。网络的总带宽表示为C = [c1, c2, ..., cM],其中cm表示第m条边的带宽容量。

本算法采用迭代的方式进行流量分配。在每次迭代中,首先根据当前的网络状态计算每条边的带宽利用率,然后根据带宽利用率和流量的优先级需求进行流量调整。迭代过程直到达到收敛条件或达到最大迭代次数为止。
对于每条边m,其带宽利用率um计算如下:
um = Σ(xm,k * dk) / cm (1)
其中,xm,k表示第k种流量在第m条边上的分配比例。通过该公式,我们可以得到每条边的带宽利用率,进而评估网络的拥塞程度。根据带宽利用率和流量的优先级需求,我们采用以下策略进行流量调整:
(1)对于优先级较高的流量,如果其所在路径的带宽利用率较高,则尝试将其部分流量转移到其他可用路径上;
(2)对于优先级较低的流量,如果其所在路径的带宽利用率较低,则尝试增加其分配比例,以提高网络吞吐量;
(3)为了保证网络的稳定性,每次流量调整的比例不宜过大,需要根据实际情况进行设置。
收敛条件与迭代终止
为了保证算法的收敛性,我们设置以下收敛条件:当连续若干次迭代中,网络的总带宽利用率变化小于一定阈值时,认为算法已经收敛。同时,为了防止算法陷入局部最优解,我们也设置了最大迭代次数作为算法的终止条件。
- 点赞
- 收藏
- 关注作者
评论(0)