基于PSO粒子群优化的车间调度问题求解matlab仿真,输出甘特图
1.程序功能描述
基于PSO粒子群优化的车间调度问题求解matlab仿真,输入不同机器,不同工作的完成时间,输出甘特图,输出收敛图。实现车间多机器,多任务最优并行调度。
2.测试软件版本以及运行结果展示
MATLAB2022a版本运行


3.核心程序
for iter = 1: Iters
iter
for i=1:N_pso
%V,X更新
V(i,:) = w*V(i,:)+C1*rand*(Pbest(i,:)-X(i,1:N_all))+C2*rand*(Pgbest-X(i,1:N_all));
X(i,1:N_all)= X(i,1:N_all)+V(i,:);
%更新适应度值
[G,H] = sort(X(i,1:N_all));
tmps = ceil(H/NJ);
work_time = func_work(tmps);
X(i,N_all+1) = work_time;
if X(i,N_all+1) < Vbest(i)
Pbest(i,:)= X(i,1:N_all);
Vbest(i) = X(i,1+N_all);
end
if Vbest(i) < Vgbest
Pgbest = Pbest(i,:);
Vgbest = Vbest(i);
end
end
VL=[VL,mean(Vbest)];
end
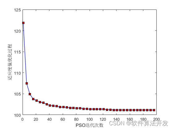
figure;
plot(1:5:Iters,VL(1:5:Iters),'-bs',...
'LineWidth',1,...
'MarkerSize',6,...
'MarkerEdgeColor','k',...
'MarkerFaceColor',[0.9,0.0,0.0]);
xlabel('PSO迭代次数');
ylabel('适应度值优化过程');
figure;
[~,II]= sort(Pgbest);
[Works,Ts,Te]=func_Best_work(ceil(II/NJ));
func_draw_gant(Works,Ts,Te,Vgbest)
10
4.本算法原理
粒子群优化算法是一种模拟鸟群觅食行为的优化算法,其基本思想是通过不断更新粒子的速度和位置来搜索最优解。在PSO算法中,每个粒子代表一个可能的解,其位置和速度根据个体极值和全局极值进行更新。个体极值是指粒子自身找到的最优解,全局极值是指整个粒子群找到的最优解。通过不断更新粒子的速度和位置,粒子群逐渐向全局最优解靠近。
车间调度问题是一类典型的组合优化问题,其目标是在满足各种约束条件的前提下,找到一种最优的生产调度方案,以最小化生产成本、最大化生产效率。粒子群优化(Particle Swarm Optimization,PSO)算法是一种基于群体智能的优化算法,具有收敛速度快、全局搜索能力强等优点,被广泛应用于车间调度问题的求解。
4.1车间调度问题描述
车间调度问题可以描述为:有n个工件需要在m台机器上进行加工,每个工件有一道或多道工序,每道工序可以在一台或多台机器上加工,每台机器在同一时刻只能加工一个工件的一道工序。调度问题的目标是找到一种最优的生产调度方案,使得所有工件的加工时间最短、生产成本最低。
4.2基于PSO的车间调度问题求解方法
编码方式
采用基于工序的编码方式,将每个工件的每道工序看作一个粒子,粒子的位置表示该工序在机器上的加工顺序,粒子的速度表示该工序的加工时间。
适应度函数
适应度函数用于评价粒子的优劣,本文采用总加工时间作为适应度函数。适应度函数的值越小,表示粒子的质量越好。
粒子速度和位置的更新公式
粒子速度和位置的更新公式是PSO算法的核心,本文采用标准PSO算法的更新公式:
v(t+1) = wv(t) + c1rand()(pbest(t)-x(t)) + c2rand()*(gbest(t)-x(t))
x(t+1) = x(t) + v(t+1)
其中,v(t)和x(t)分别表示粒子在t时刻的速度和位置,pbest(t)和gbest(t)分别表示粒子在t时刻的个体最优位置和全局最优位置,w为惯性权重,c1和c2为学习因子,rand()为随机数函数。
4.3 算法流程
(1)初始化粒子群,包括粒子的位置和速度;
(2)计算每个粒子的适应度值;
(3)更新每个粒子的个体最优位置和全局最优位置;
(4)根据粒子速度和位置的更新公式更新粒子的速度和位置;
(5)判断算法是否达到终止条件,如果达到则输出最优解,否则转步骤(2)。
4.4甘特图功能概述
甘特图是一种用于展示项目进度和时间安排的图表可以直观地展示车间调度问题的解决方案。通过输出甘特图可以对基于PSO优化的车间调度问题进行详细的分析和评价。具体实现方法如下:首先根据最优解中的工序加工顺序和加工时间计算出每个工件的开始时间和结束时间然后将这些信息按照时间顺序绘制成甘特图。在甘特图中横轴表示时间纵轴表示机器或工件每个矩形条表示一个工序的开始时间和结束时间矩形条的长度表示加工时间矩形条的颜色可以表示不同的工件或机器。从甘特图中可以清晰地看出各个工序的开始时间、结束时间和持续时间以及各个工序之间的先后关系和并行关系等信息从而方便对调度结果进行分析和评价。
- 点赞
- 收藏
- 关注作者
评论(0)