基于matlab的风力发电系统建模与详细性能仿真分析
1.课题概述
介绍了风力发电的原理,并讨论了风力机的模型。风力发电的原理非常简单,最简单的风力涡轮机是由叶轮和发电机组成的。根据能量转换原理,气流可以推动叶轮旋转。如果叶轮轴和发电机轴相连,叶轮上的机械能将转化为电能。风力涡轮机是用来捕获风,将动能转换为机械能的叶片,它可以决定整个喷射式风力发电系统设备的有效功率输出。此外,还介绍了MPPT。对于上述关于风力发电系统的各个模块进行了MATLAB性能仿真分析。
2.系统仿真结果
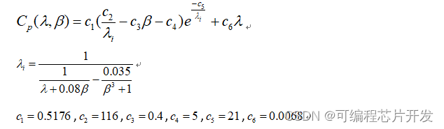
风电利用系数:


Cut-in and Cut-out控制:

当风速大于额定切断速度25m/s(强风)时,风力涡轮机将关闭以保护机械,这可以通过变桨控制来完成。


mppt控制输出:


我们可以看到风速和功率输出之间的关系,蓝线是最大功率的连接。

这个模型,我们可以证明风速截断理论,当风速大于极限时,风速就会截断。
3.核心程序与模型
版本:MATLAB2022a
clc;
clear;
close all;
warning off;
addpath(genpath(pwd));
rng('default')
a=0:1:15;
b=[0 5 10 15 20];
c1=0.5176;
c2=116;
c3=0.4;
c4=5;
c5=-21;
c6=0.0068;
for i=1:length(b)
c=(a+0.08*b(i)).^(-1)-0.035*[(b(i).^3+1).^(-1)];
cp=c1*(c2*c-c3*b(i)-c4).*exp(c5*c)+c6*a;
plot(a,cp)
hold on
................................................
end
grid
axis square
max(cp);
title(' cp-λ','FontSize',16)
xlabel('λ','FontSize',16)
ylabel('cp','FontSize',16)
axis([0 15 -0.1 0.55])

4.系统原理简介
风力发电是一种清洁、可再生的能源,它利用风能驱动风力发电机组转动,从而转化为电能。随着全球对可再生能源需求的增加,风力发电在全球能源供应中扮演着越来越重要的角色。本文将详细介绍风力发电系统的原理、数学模型及建模方法。
4.1、风力发电系统原理
风力发电系统的核心是风力发电机组,它由风轮、齿轮箱、发电机、塔筒等主要部件组成。风轮是风力发电机组的核心部件,它由叶片和轮毂组成。当风吹过叶片时,叶片会旋转,从而带动齿轮箱将旋转运动转化为机械能,再传递给发电机将其转化为电能。风力发电的原理基于贝努利定理,即流速高的地方压力低,流速低的地方压力高。当风吹过叶片时,由于叶片的形状和角度,风速在叶片的表面和背面产生压力差,从而产生驱动力使叶片旋转。
其中,风电利用系数为:

4.2、风力发电系统数学模型
风力发电系统的数学模型主要涉及空气动力学、机械动力学和电动力学等方面的知识。以下是一些常用的数学公式:
贝努利定理:
p+1/2ρv²=常数
其中p为压力,ρ为空气密度,v为风速。这个公式描述了流速和压力之间的关系。
叶片受力分析:
F=1/2×ρ×π×(d/2)²×(v²-v0²)×(cosa-sina)
其中F为叶片受到的力,ρ为空气密度,d为叶片的直径,v为风速,v0为风轮旋转速度,a为叶片与风向的夹角。这个公式描述了风吹过叶片时叶片受到的力。
电动机扭矩分析:
T=P×(n/9550)
其中T为电动机输出的扭矩,P为电动机输出的功率,n为电动机的转速。这个公式描述了电动机输出扭矩和功率之间的关系。
电力生成方程:
P=T×(n/9550)×η
其中P为电力输出的功率,T为电动机输出的扭矩,n为电动机的转速,η为电力转换效率。这个公式描述了电力生成和电动机扭矩之间的关系。
- 点赞
- 收藏
- 关注作者
评论(0)