心率变异性之安静指数
心率变异性之安静指数
分析健康人心率变异受呼吸调节的特点,建立可以衡量身心安静程度的心率变异性指标参数。在准确提取逐跳心动间期序列的基础上,从时域和频域上分析心动间期序列高频成分受呼吸影响的特点,依据心动间期序列的功率谱高频段峰值频率附近能量的聚集程度,定义安静指数。健康人在安静状态下,呼吸成为心动间期序列中高频成分的主导因素,其功率谱高频段(0.1~0.4Hz)峰值频率附近的能量聚集程度可以用作衡量安静程度的指标,也就是说,功率谱曲线谱峰越尖高,表示均匀呼吸很好地调制在心动间期序列中,表现出心动间期序列中叠加有接近正弦波的低幅波动,波动频率接近呼吸率。基于心动间期序列功率谱,定义了能够反映0.1~0.4Hz(对应呼吸率为6~24次/分)段峰值频率附近能量聚集程度的五个指标参数,即主导指数、突出指数、稳定指数、峰度指数以及负熵指数,将这五个指数加权平均可得出安静指数,以此来衡量人体安静的程度。采用心电图或者脉搏波就可以计算出安静指数,为进一步睡眠分析、疲劳分析、心理测评、生物反馈训练等应用中提供一种新的心率变异性方法。
0 引 言
心电图、脉搏波随心跳而呈现准周期性,以信号中一个一个的波峰表现,是相对来说容易获取的信号,深入挖掘信号中蕴含的有用信息将有利于拓展这些信号的应用领域。开展心率变异性(Heart Rate Variability,HRV)研究的基本前提是,从心电图或者脉搏波信号中提取有效的波峰或者波谷发生位置,然后根据这些位置,通过插值与抽样计算连续变化的心动间期序列[6],在此基础上可进一步挖掘蕴含在心动间期序列中的有用信息。
心率变异性是指窦性心率在一定时间内周期性改变的现象,是指逐次心动间期差异的变化情况,是反应交感-副交感神经张力及其平衡的重要指标。测定心率变异性的指标很多,包括时域的、频域的和非线性的[1]。影响心率变异性的因素也很多[2],诸如昼夜节律、年龄、情绪、性恪、体位、日常活动、呼吸、体温、药物、早搏等都可影响结果,其中呼吸是一个很重要的因素[3,4]。呼吸主要是通过自主神经系统对心率变异起调节作用,吸气时,迷走神经被抑制,心率加快,呼气时,迷走神经抑制取消,心率变慢[3],呼吸对心跳影响的机理比较复杂,但呼吸引起心率波动的表现却十分明显。正常健康人处于放松安静状态时,呼吸平稳,心无杂念,影响心率变异的其他因素起到的作用降低,呼吸成为主导因素,呼吸频率通常在6-24次/分范围内,那么心动间期序列的频谱在0.1~0.4Hz范围内主要受到呼吸的影响。
安静是一个宽泛的概念,既可以说外界环境很安静,也可以说人很安静,人体和环境还存在相互作用。这里所说的安静指的是人体安静,包括肢体安静和内心平静,它既可以是一种状态,也可以是一个过程,这个过程可以认为是由一个一个不同安静程度的状态构成的。无论是肢体运动还是情绪波动都会影响到心跳节奏,因此采用心率变异性指标来度量安静程度是有可能的。为此从呼吸和心率耦合的角度定义一种十分安静的状态,即呼吸频率在正常范围,呼吸均匀,心率平稳,呼吸和心跳完美耦合,呼吸成为影响心率变异的主导因素,因此,安静程度就是用心率变异性指标来度量达到这种十分安静状态的程度。经过大量实际数据观察,研究了心率变异性受呼吸影响的情况,认为安静是具有深度的,而这种深度是可以测量的,研究呼吸对心率变异的影响程度可以衡量人体的安静程度。在放松生物反馈调节、疲劳时瞌睡检测[5]、睡眠状态分析、心理测评等领域该研究结果有可能得到预期的应用。
1 心动间期提取
从心电图或者脉搏波中准确地提取连续心动间期序列是研究心率变异性的基础,信号中波峰的准确检测是首先和必须解决的问题。为了消除信号中经常容易出现的干扰,需要对信号进行预先处理,其中包括消除高频干扰(如工频,肌电)、消除基线漂移。有时由于电极接触不良、数据传输差错等异常情况,会导致信号中出现饱和、突变、畸形等状况,此时需要判断信号质量,把质量差的信号段忽略不计。通常,波峰检测需要实时进行,信号处理要在一段缓冲数据(如2分钟)中进行,而计算结果更新得越快越好。
这里介绍一种简易的局部极值法进行实时波峰提取。在心电图或脉搏波信号中设置一个0.2秒左右的滑动窗口(如图1所示),计算其中的最大值位置,以及对应的高度、斜率、宽度等参数,依据设定的门限(可以随时间通过学习而改变),判断是否满足波峰的条件,如果满足则保留下来,然后依据心动间期的取值范围,排除那些心动间期太小的波峰,排除原则是依据高度和斜率。

图1 滑动窗口波峰检测
波峰检测完成之后,按照心率的范围计算出波峰之间的间隔序列{t(i), d(i), i= 0, 1, 2, …},通过线性插值得到采样率为1Hz或者5Hz的连续心动间期序列RR(i)。由连续心动间期序列(R-R Interval)RRI(i),单位是毫秒,可以计算出连续瞬时心率序列hr(i),单位是次/分,hr(i)=60/RRI(i)*1000。
2 呼吸性心率变异分析
影响心率和心率变异的因素很多,如运动、作业、睡眠、紧张、吸烟、药物等。在腹式呼吸调节、放松生物反馈、冥想等过程中,呼吸对心率的影响十分明显。在放松安静状态,人体少受环境干扰,心平气和,呼吸匀称,呼吸以微小起伏的碎波明显地耦合在心动间期序列上,成为影响心率变异的主导因素。但是如果被测对象心律失常(如房扑房颤、早搏)较多,呼吸对心动间期序列的微小影响会被淹没。分析心率变异性的指标比较多,但是对于健康人安静程度的量化,需要建立有针对性的指标参数。
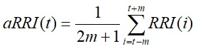
假设放松安静状态下呼吸率在6~24次/分之间,那么呼吸调制在心动间期序列中体现在0.1~0.4Hz频段。为了抑制低频波动而突显这个频段的信号,对原始心动间期序列进行高通滤波。设原始心动间期序列为RRI(i),滑动平均后的心动间期序列为aRRI(i),那么
其中m(这里取m为2秒对应的点数,即m=2*Fs,Fs是心动间期采样率)是滑动窗口长度的一半,其值越大,aRRI(t)反映了心动间期中越慢的变化成分。心动间期序列中高频成分dRRI(i)的提取方法是用原始心动间期序列减去慢变成分,即:
dRRI(i)=RRI(i)-aRRI(i)
经过高通滤波后的心动间期序列更加平稳,细节变化更加突出。
图2(a)是一段5分钟连续心动间期变化曲线以及与之对应的呼吸率和呼吸波曲线,其中最小心动间期为1106ms,最大心动间期为1310ms,平均心动间期为1195ms(心率50次/分),最小呼吸率为15次/分,最大呼吸率为23次/分,平均呼吸率为17次/分。从心动间期序列曲线中,可以看到明显的高频波动,这种波动的平均频率大致为17次/分,和平均呼吸率非常接近,心动间期的微小变化主要受到呼吸的影响。图2(b)是与之对应的心动间期序列的功率谱曲线,其高频部分的峰值频率与平均呼吸率十分接近。图2(c)是心动间期序列经高通滤波后的功率谱曲线,从图中可见,在频率为0.285Hz处功率最大,对应着平均呼吸率17次/分,功率谱在峰值频率附近能量比较集中。

图2(a) 安静状态下心动间期序列及对应的呼吸率和呼吸波
|
图2(b) 安静状态心动间期的功率谱 |
图2(c) 安静状态心动间期高通滤波后的功率谱 |
在放松安静状态下,呼吸平稳,呼吸率变化很小,心动间期序列的波动主要受呼吸的影响,呼吸比较好地调制在心动间期序列中,表现为接近正弦波的微小波动。从功率谱图上看,表现为在0.1~0.4Hz(如果呼吸率范围是6~24次/分)之间出现高尖谱峰,而且谱峰越尖高表明能量在峰值频率附近集中,呼吸越稳定,呼吸调制越纯粹,峰值频率越接近呼吸率,安静程度越高。
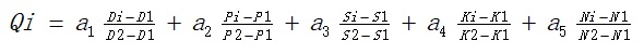
3 安静指数
健康人呼吸对心动间期的调节程度可以间接地反映出人体的放松安静程度。在放松安静的状态下,心动间期序列的起伏以及频率主要受到呼吸的影响,功率谱的峰值频率与呼吸频率趋于一致,呼吸越均匀心动间期序列频谱峰值功率越高谱峰越尖。为了衡量安静程度,基于高通滤波后心动间期序列的功率谱,定义以下五个指标,即:主导指数(Di),突出指数(Pi),稳定指数(Si),峰度指数(Ki)和负熵指数(Ni),然后将这些指数加权平均得到安静指数(Qi)。
(1) 主导指数(Dominant Index,Di)
主导指数(Di)定义为[f0-0.125,f0+0.125Hz]频段范围内的功率除以[0.01,0.5Hz]频段范围内功率乘以100%,f0为峰值频率,即:

Di越大表明峰值频率f0附近的能量越占优,安静状态Di至少大于50。
(2) 突出指数(Protruding Index,Pi)
突出指数(Pi)定义为[f0-0.125,f0+0.125Hz]频段范围内的最大功率除以[f0-0.125,f0+0.125Hz]频率范围之外的最大功率,f0为峰值频率,即:

突出指数Pi越大表示峰值功率越大,谱峰越突出,安静状态Pi至少大于1。
(3) 稳定指数(Stability Index,Si)
稳定指数(Si)定义为[0.1,0.4Hz]频率范围的最大功率除以[0.1,0.4Hz]频率范围的总功率乘以100%,即:
![]()
稳定指数Si反映了呼吸频率范围[0.1,0.4Hz]内能量在峰值频率上的集中度,稳定指数Si越大,表示呼吸越稳定均匀。
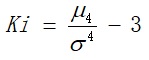
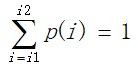
(4) 峰度指数(Kurtosis Index,Ki)
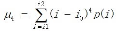
峰度[7]是用来反映频数分布曲线顶端尖峭或者扁平程度的指标。其定义为四阶中心矩除以标准差的四次方减去3,即:
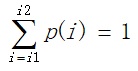
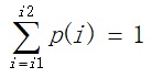
设{ p(i), i = i1,... ,i2 },是 [0.1,0.4Hz]频率范围的归一化功率谱密度,i1对应0.1Hz,i2对应0.4Hz,设i0对应峰值频率,那么四阶中心矩和标准差的计算为:
四阶中心矩:

标准差:

其中p(i)满足条件:

对于峰度指数(或曰峰度系数),安静状态峰度指数Ki至少大于0。
(5) 负熵指数(Negentropy Index,Ni)
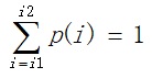
设p(i)是[0.1,0.4Hz]频率范围内的归一化功率谱密度,即:

信息熵的公式为:

信息熵反映了数据的无序程度,信息熵越大,数据越无序。由上式可知,当p(i0)=1,其他p(i)都等于0时信息熵H=0;当p(i)都等于一个恒值1/(i2-i1+1)时(即均匀分布),信息熵为:Hmax=log2(i2-i1+1)。定义负熵指数为:Ni=(1-H/Hmax)*100,因此负熵指数越大,表明频谱能量越集中。
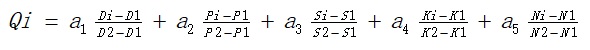
以上度量安静程度的指标参数是建立在心动间期序列高通滤波后的功率谱基础上的,功率谱的计算需要心动间期序列有一定的时间长度,可以采用2分钟或者5分钟为一段。主导指数(Di)和突出指数(Pi)反映的是呼吸频率范围(通常在0.1~0.4Hz)内的功率和总功率的关系,对于安静状态主导指数Di至少大于50,突出指数Pi至少大于1,这两个指数越大,代表人体越放松安静。稳定指数(Si)、峰度指数(Ki)和负熵指数(Ni)反映的是呼吸频率范围内功率谱的聚集程度,这些指数越大说明频谱能量越集中在峰值频率附近,谱线越单纯,表示呼吸均匀且较好地调制在心动间期序列之中,安静状态下峰度指数Ki至少大于0。这五个指数都是无量纲的相对值,不受心动间期幅度值水平(心率水平)的影响。安静程度可以联合以上五个指标来综合度量,定义安静指数Qi,
![]()
其中a1,a2,a3,a4,a5为加权系数,假设这五个指标同等重要,则取a1=a2=a3=a4=a5=0.2。通过实验可以确定各指数的下限和上限值:D1, D2, P1, P2, S1, S2, K1, K2, N1, N2,如果指数小于下限则该项为0,如果指数高于上限则该项为1。指数的下限上限值要依据实测数据来大致确定(不要求很准确),与数据分段长度相关,但是确定以后在做某种情况(如瞌睡)统一度量时就不要再修改,以便保持一致性。根据安静指数计算原理,编写了安静指数自动计算程序,为实验数据的快速处理提供了工具。对于5分钟一段的心动间期,这里取D1=50, D2=100, P1=2, P2=50, S1=2, S2=10, K1=1, K2=10, N1=5, N2=50,则安静指数Qi为:
Qi=0.2[0.02(Di-50)+0.0208(Pi-2)+0.125(Si-2)+0.111(Ki-1)+0.0222(Ni-5)]
Qi的取值范围在[0,1]之间,数值越大表示越人体越放松安静。
4 心动周期以及安静指数趋势
从心动周期趋势序列计算安静指数趋势图的条件是:在波形窗口中选定了主心电通道,在该通道上有波峰检测结果(R波检测结果),在趋势图中已经有心率趋势图或者心动周期趋势图。操作:在趋势图中心率通道或者心动周期通道上,点击鼠标右键弹出菜单,选择菜单项:《心率与心动周期》→《心动周期趋势分析》,出现如下界面。

展开显示趋势图,可以观察到在安静状态下呼吸和心率有较好的耦合,如下图所示。

从总体上看,在安静时间段心率也相对平稳,下图是心率和安静指数趋势图。

5 结 论
安静,或者说心静,是人体的一种状态,认为这种状态是变化的并可以监测。从心动间期序列来观察,正常健康人越是安静心动间期序列上就叠加有越接近正弦波的高频成分,均匀的呼吸成了影响心率变异的主导因素。本文从时域和频域上观察和分析了心动间期序列中蕴含的呼吸信息,认为呼吸在心动间期序列中的调制程度与人体的放松安静程度密切相关,可以定义新的心率变异性指标来衡量安静程度。为此目的,需要检测心电图或者脉搏波中的波峰位置,计算出连续心动间期序列;然后对心动间期序列进行高通滤波,消除低缓变化的影响;计算心动间期序列高通滤波后的功率谱,最后得到功率谱变化特点:即越放松安静,峰值频率附近的能量越集中。为此,定义了五个能够反映峰值频率附近能量集中度的心率变异性频域指标:即主导指数(Di),突出指数(Pi),稳定指数(Si),峰度指数(Ki)和负熵指数(Ni),用这五个指数进行加权平均可计算安静指数(Qi)。安静指数计算是基于心电图或者脉搏波信号进行的,信号相对容易获取,便于推广应用。安静指数可期望应用到放松训练、睡眠分析、心理测评、疲劳驾驶监测、身心状态监控等领域。
[参 考 文 献]
[1]曲建石,陆再英,黄永麟,等. 关于心率变异性检测和分析工作规程的建议[J]. 中华心律失常学杂志,1997, 2(2):135-140.
[2]候月梅,华泽慧,汪师贞. 影响心率变异因素的研究进展[J]. 心血管病学进展,2001,22(1):31-34.
[3]刘雪红,王克强,李川勇. 呼吸对心率变异性的影响[J]. 国际生物医学工程杂志,2006, 29(1):56-59.
[4]沈仲元,Shin Lin,余平,等. 调节呼吸频率对心率变异的影响[J]. 实用心电图学杂志,2009, 18(5): 323-325.
[5]张海荣,张静,叶青,等. 精神疲劳检测装备技术研究进展分析[J]. 医疗卫生装备,2015, 36(6): 101-104.
[6]成奇明 等. 生理信号波峰检测的局部极值排除方法[J]. 医疗卫生装备,2008, 29(9): 256-257.
[7]胡广书 编著. 数字信号处理[M]. 北京:清华大学出版社,2003:462.
Email: chengbowork@163.com
- 点赞
- 收藏
- 关注作者


评论(0)