基于DCT和扩频的音频水印嵌入提取算法matlab仿真
1.算法运行效果图预览





2.算法运行软件版本
matlab2022a
3.算法理论概述
音频水印作为一种数字版权保护手段,能够在不影响音频质量的前提下,将特定信息(如身份标识、版权信息等)隐秘地嵌入到音频信号中。DCT因其良好的能量集中特性与离散傅里叶变换(Discrete Fourier Transform, DFT)相比在实数域运算的优势,常被用于音频信号的变换域处理。而扩频技术通过将水印信号扩展至较宽的频率范围,增强了水印的隐蔽性和抗攻击能力。本文将详细介绍这两种技术如何结合,实现音频水印的高效、安全嵌入与提取。
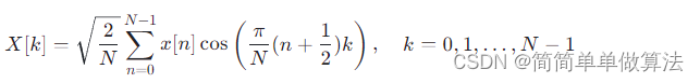
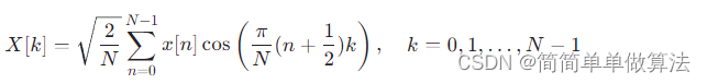
DCT是一种将离散信号从时域转换到频域的线性变换,尤其适用于处理具有相关性的实数信号。对于长度为N的一维音频信号x[n],n=0,1,…,N−1,其DCT变换定义为:

DCT变换后的系数X[k]反映了原始信号在不同频率分量上的能量分布,其中低频系数通常包含信号的主要信息,高频系数则包含细节和噪声。在音频水印嵌入过程中,选择合适的频带进行水印嵌入可以兼顾隐蔽性和鲁棒性。
扩频(Spread Spectrum, SS)是一种通过将窄带信号扩展至较宽的频带进行传输的技术,旨在提高通信系统的抗干扰和保密性能。在音频水印中,扩频技术用于将水印信号“隐藏”在音频信号的多个频率分量中,降低单一分量对水印信息的影响,提高水印的隐蔽性和抗攻击能力。

结合离散余弦变换(DCT)与扩频技术的音频水印嵌入与提取算法,充分利用了DCT在音频信号处理中的优势,以及扩频技术在提高水印隐蔽性和鲁棒性方面的特性。通过详细阐述算法原理、数学表达与实施步骤,本文展示了该方法的专业性和有效性。未来研究可进一步探索自适应嵌入策略、鲁棒性增强技术、以及针对特定攻击的防御机制,以提升音频水印系统的实用性和安全性。
4.部分核心程序
N = 10; %嵌入一个水印信息需要的音频数据为N
length = n*10;
i = 1 : length;% 将原始音频信号分解为Ae和Ar两部分
j = [1];
Ae = A(i,j);% 取矩阵A的l到length行构建矩阵Ae
i = length+1 : L;
Ar = A(i,j);% 取矩阵A的length到L行第一列构建矩阵Ar
k = 1;
B = cell(n,1);% 建立M1 x M2行l列的元胞
th = n*N;
while ( k < th )
i = k : k+9;
m = (k+9)/10;
B{m,1} = Ae(i,j);
k = k+10;
end
D = cell(n,1);
for i = 1 : n
D{i,1} = dct(B{i,1});%DCT变化
end
E = cell(n,1);% 建立元胞E,储存嵌有水印信号的中频系数
E = D;
for i = 1 : n
E{i,1}(3) = (D{i,1}(3))*(1+2*S(i)); % 将扩频了的水印信息S嵌入音频中
end
F = cell(n,1);
for i = 1 : n
F{i,1} = idct(E{i,1});% 将元胞E中离散余弦反变换了的元素存入元胞F中
end
G = F{1,1};
for i = 2 : n
G=[G; F{i,1}];
end
G =[G; Ar];% 将元胞G和矩阵Ar合并创建一维矩阵G
audiowrite('after1.wav',G,fs);
subplot(212); plot(G);
axis([0 350000 -2 2]);
- 点赞
- 收藏
- 关注作者
评论(0)