基于深度学习的红肉新鲜过期判决系统matlab仿真
1.算法运行效果图预览



2.算法运行软件版本
MATLAB2022a
3.算法理论概述
随着生活水平的提高,人们对食品安全和质量的关注度日益增加。红肉作为重要的食品来源,其新鲜度的检测对于保障消费者权益和食品安全至关重要。传统的红肉新鲜度检测方法多依赖于人工感官评估或化学分析,这些方法存在主观性强、耗时耗力等缺点。近年来,深度学习技术的迅猛发展,为红肉新鲜度的自动化、智能化检测提供了新的解决方案。
基于深度学习的红肉新鲜过期判决系统,通过采集红肉样本的图像数据,利用深度学习算法对图像进行特征提取和分类,从而实现对红肉新鲜度的自动化检测。该系统主要包括图像采集模块、预处理模块、深度学习模型训练模块和判决输出模块。
3.1 系统构成与流程
数据收集: 收集包含各类红肉在不同新鲜程度下的高分辨率图像样本,标记每个样本的新鲜度等级或剩余保质期。
预处理: 对图像进行标准化、缩放、去噪、增强等预处理操作,以提高深度学习模型的性能。
特征提取: 使用深度卷积神经网络(CNN)从图像中自动提取特征表示。
时序建模(如果适用): 若考虑时间序列变化,可以采用循环神经网络(RNN),如长短时记忆网络(LSTM)或GRU,结合连续的检测结果建立肉类新鲜度随时间演变的模型:

5.新鲜度判决层: 通过全连接层(FC)映射到一个实数输出,该输出代表预测的新鲜度指标或者过期概率:

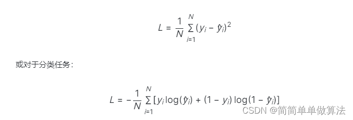
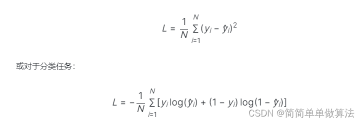
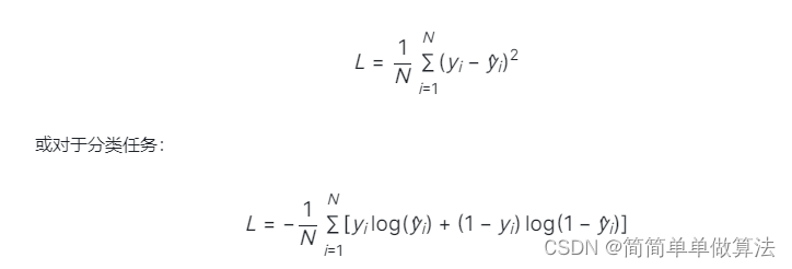
6.损失函数与优化: 使用适当的损失函数(如均方误差MSE或交叉熵Loss)衡量预测值与真实标签之间的差距,并通过反向传播算法调整模型参数:

7.评估与部署: 在验证集上评估模型性能,选择最佳模型并部署至实际应用环境。
3.2 模型训练与优化
- 数据集准备
为了训练深度学习模型,需要准备大量的标注数据集。数据集应包含不同新鲜度的红肉图像,并对每张图像进行标注(如新鲜、次新鲜、不新鲜等)。数据集还需要进行划分,通常分为训练集、验证集和测试集。
- 模型训练
模型训练过程中需要选择合适的优化器(如SGD、Adam等)和学习率调整策略(如固定学习率、学习率衰减等)。训练过程中需要监控模型在验证集上的表现,并根据表现调整模型参数和超参数。训练完成后,保存最优模型的参数供后续使用。
- 模型评估与优化
模型评估主要采用准确率、精确率、召回率和F1分数等指标。通过对比模型在测试集上的表现与真实标签的差异,可以评估模型的性能。针对模型性能不足的问题,可以采取数据增强、模型融合、网络结构调整等优化措施进行改进。
经过训练的深度学习模型可以对新输入的红肉图像进行新鲜度分类。系统将分类结果以可视化的方式展示给用户,如通过不同颜色的标签或分数表示不同新鲜度等级。此外,系统还可以将分类结果与其他信息管理系统进行集成,实现红肉新鲜度的自动化监控和管理。
4.部分核心程序
% 对测试集进行分类预测
[Predicted_Label, Probability] = classify(net, Resized_Testing_Dataset);
% 计算分类准确率
accuracy = mean(Predicted_Label == Testing_Dataset.Labels);
% 随机选择一些图像进行可视化
index = randperm(numel(Resized_Testing_Dataset.Files), 18);
figure
for i = 1:6
subplot(2,3,i)
I = readimage(Testing_Dataset, index(i));% 从测试数据集中读取图像
imshow(I)% 预测的标签
label = Predicted_Label(index(i));label
if double(label) == 1
title(['新鲜肉']);
end
if double(label) == 2
title(['过期肉']);
end
end
figure
for i = 1:6
subplot(2,3,i)
I = readimage(Testing_Dataset, index(i+6));% 从测试数据集中读取图像
imshow(I)% 预测的标签
label = Predicted_Label(index(i+6));label
if double(label) == 1
title(['新鲜肉']);
end
if double(label) == 2
title(['过期肉']);
end
end
figure
for i = 1:6
subplot(2,3,i)
I = readimage(Testing_Dataset, index(i+12));% 从测试数据集中读取图像
imshow(I)% 预测的标签
label = Predicted_Label(index(i+12));label
if double(label) == 1
title(['新鲜肉']);
end
if double(label) == 2
title(['过期肉']);
end
end
- 点赞
- 收藏
- 关注作者
评论(0)