Mermaid绘制UML图教程
一、安装Mermaid
Mermaid 可以在浏览器中直接使用,也可以通过 Node.js 进行安装。在浏览器中使用只需要引入 Mermaid 的脚本文件:
<script type="module">
import mermaid from 'https://cdn.jsdelivr.net/npm/mermaid@10/dist/mermaid.esm.min.mjs ';
mermaid.initialize({ startOnLoad: true });
</script>
如果选择使用 Node.js,在命令行中执行以下命令安装 Mermaid:
npm install mermaid
二、绘制流程图
使用 Mermaid 绘制流程图非常简单,只需要通过 graph 关键字来创建。
例如:
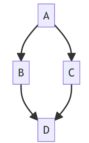
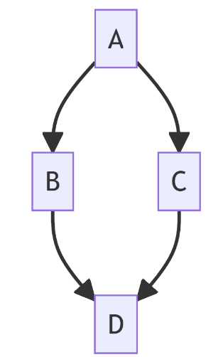
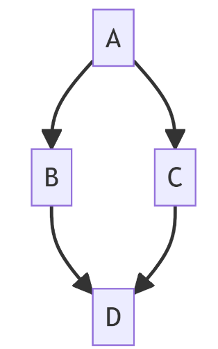
graph TD; A-->B; A-->C; B-->D; C-->D;
这是一个简单的流程图,节点 A 分别指向节点 B 和节点 C,而节点 B 和 C 同时指向节点 D。
成品图:

举个复杂点的例子,下面绘制一张分布式系统的架构图:
graph TD
subgraph 用户
用户操作 --> A[前端应用]
end
subgraph 服务端
A --> B[负载均衡]
B -->|请求| C[服务1]
B -->|请求| D[服务2]
B -->|请求| E[服务3]
end
subgraph 数据存储
C -->|读写| F[数据库1]
D -->|读写| G[数据库2]
E -->|读写| H[数据库3]
end
subgraph 消息队列
C -->|异步通信| I[消息队列1]
D -->|异步通信| I
E -->|异步通信| I
end
成品图:

三、绘制时序图
时序图也是 Mermaid 的一种常见应用场景,通过 sequenceDiagram 关键字来创建。
以下是一个简单的时序图的Mermaid语法示例:
sequenceDiagram
participant Alice
participant Bob
Alice->>Bob: Hello Bob, how are you?
Bob-->>Alice: Hi Alice! I'm good, thank you!
成品图:

再举个复杂的例子,下面绘制一张嵌入式系统的架构图:
sequenceDiagram
participant A as 用户
participant B as Harmony设备
participant C as 云服务器
participant D as 云数据库
participant E as 嵌入式上层应用
participant F as 开发板
participant G as SQLite
activate A #grey
note over A: 用户查看操作
A->>B: 查询事件
deactivate A
activate B #lightblue
B->>C: 请求数据
deactivate B
activate C #orange
C->>D: 查询
deactivate C
activate D #blue
D-->>C: 返回数据
deactivate D
activate C #orange
C-->>B: 返回数据
deactivate C
activate B #lightblue
B-->>A: 显示内容
deactivate B
activate A #grey
note over A: 用户更改操作
A->>B: 更新事件
deactivate A
activate B #lightblue
B->>C: 请求更新
deactivate B
activate C #orange
C->>F: 请求更新
deactivate C
activate F #lightgreen
F->>G: 请求更新
deactivate F
activate G #green
G-->>F: 返回结果
deactivate G
activate F #lightgreen
F->>C: 发送修改请求
deactivate F
activate C #orange
C->>D: 更新数据
deactivate C
activate D #blue
D-->>C: 返回结果
deactivate D
activate C #orange
C-->>B: 返回结果
deactivate C
activate B #lightblue
B-->>A: 返回结果
deactivate B
activate A #grey
A->>A: 提示结果
note over A: 操作成功
deactivate A
成品图:

四、绘制甘特图
使用 Mermaid 还可以绘制甘特图,通过 gantt 关键字来创建。
举个例子,下面绘制一张简单的甘特图:
gantt
title 甘特图示例
section Section
A task :a1, 2022-03-02, 1d
Another task :after a1, 1d
section Another
Task in sec :2022-03-04, 1d
成品图:

五、绘制饼图
使用 Mermaid 还可以绘制饼图,通过 pie 关键字来创建。
例如:
pie
title Pie Chart
"Category A" : 40
"Category B" : 25
"Category C" : 20
"Category D" : 15
成品图:

六、绘制状态图
状态图用于展示对象的状态和状态间的转移过程。在mermaid中,状态图的语法也是非常简单的。状态图可以用于展示对象的生命周期、状态转移等,通过 stateDiagram 关键字来创建。
例如:
stateDiagram
[*] --> 暂停
暂停 --> 播放
暂停 --> 停止
播放 --> 暂停
播放 --> 停止
停止 --> [*]
成品图:

七、绘制类图
使用 Mermaid 还可以绘制类图,通过 classDiagram 关键字来创建。
例如:
classDiagram
class User {
+username: string
+password: string
+login(): void
+logout(): void
}
class Employee {
+employeeId: string
+position: string
+work(): void
}
class Customer {
+customerId: string
+membershipLevel: string
+purchase(): void
}
User <|-- Employee
User <|-- Customer
成品图:

八、导出图表
在浏览器中使用 Mermaid 绘制图表后,你可以通过右键保存为图片或将代码导出为 SVG 文件。如果使用 Node.js,在命令行中执行以下命令将 Mermaid 代码转换为图片:
npx mmdc -i input.mmd -o output.png
九、Mermaid绘图总结
Mermaid 不仅是一款简单而强大的图形描述语言,更是在文本层面实现图形可视化的理想工具。通过其简单的文本语法,用户能够轻松绘制各种类型的图表,包括流程图、时序图、甘特图等。这种轻量级而直观的设计使得 Mermaid 成为与团队成员、同行和客户分享和理解图形设计的理想选择。
Mermaid 的优势不仅在于其易用性,还体现在其广泛的应用场景上。在项目管理中,可以使用 Mermaid 绘制清晰的甘特图,直观展示任务的时间安排与进度。在系统设计中,Mermaid 提供了简单而强大的时序图绘制功能,有助于理清事件之间的关系和顺序。此外,Mermaid 还支持流程图、类图等多种图形类型,使得用户能够在不同领域应用中得心应手。
使用 Mermaid 不仅意味着更轻松地表达和分享图形设计,还提供了易于维护和更新的优势。文本化的图形描述使得团队成员能够更加方便地协作,通过简单的文本编辑即可完成图形的修改与更新,而无需繁琐的图形工具。
总体而言,Mermaid 的简便性、灵活性和可扩展性使其成为一款备受欢迎的图形绘制工具,为用户提供了在各种场景中清晰、直观地呈现信息的便捷途径。
- 点赞
- 收藏
- 关注作者
评论(0)