基于DCT变换的图像压缩解压缩算法matlab仿真
1.算法运行效果图预览




2.算法运行软件版本
MATLAB2022a
3.算法理论概述
基于DCT(离散余弦变换)的图像压缩与解压缩算法。我们深入探讨了DCT变换的原理、其在图像编码中的应用,并给出了相应的数学公式和算法实现细节。随着数字技术的快速发展,图像数据在日常生活中呈现爆炸性增长。因此,如何有效地压缩图像数据,同时确保良好的图像质量,成为了一个重要的研究课题。DCT变换由于其良好的能量集中特性和与人类视觉系统的匹配度,被广泛应用于图像压缩标准中,如JPEG。
3.1、DCT变换原理
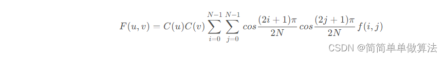
离散余弦变换(DCT)是傅里叶变换的一种变种。它将信号从时域变换到频域,使得信号的能量大部分集中在几个频率分量上。对于图像而言,DCT可以有效地将图像的能量集中在左上角的低频部分。
一维DCT变换公式如下:

二维DCT变换(通常用于图像处理)可以通过两次一维DCT变换实现,首先对行进行变换,再对列进行变换。

可以发现,二维DCT变换其实是在一维DCT变换的基础上,再做一次一维DCT变换。二维DCT也可以写成矩阵相乘的形式:
二维DCT变换的复杂度达到O(n^4),所以进行DCT变换的矩阵不宜过大。在实际处理图片的过程中,需要先把矩阵分块,一般分为8x8或16x16大小,这样DCT变换不至于耗费过多的时间。
3.2、基于DCT的图像压缩
基于DCT的图像压缩主要步骤如下:
分块:将原始图像分为8x8或16x16的小块。
DCT变换:对每个小块进行二维DCT变换。
量化:使用预定的量化表对DCT系数进行量化,这一步骤是有损的,会丢失部分信息。
编码:采用Zig-Zag扫描将量化后的系数排列为一维序列,并使用霍夫曼编码进行进一步压缩。
通过以上的步骤,我们可以实现图像的压缩。需要注意的是,量化步骤是有损的,因此解压后的图像与原始图像会存在一定的差异。
3.3、基于DCT的图像解压缩
解压缩是压缩的逆过程,主要包括以下步骤:
解码:使用霍夫曼解码对编码后的数据流进行解码。
反量化:使用与压缩时相同的量化表对解码后的数据进行反量化。
反DCT变换:对反量化后的数据进行二维反DCT变换。
重构:将反DCT变换后的块组合成完整的图像。
4.部分核心程序
%调用8x8矩阵的量化等级
load Q10.mat
% 对R、G、B通道应用压缩函数func_ys,得到压缩后的图像Rys、Gys、Bys
Rys = func_ys(R1,Coff_dct,Q_dct,Bsize);
Gys = func_ys(G1,Coff_dct,Q_dct,Bsize);
Bys = func_ys(B1,Coff_dct,Q_dct,Bsize);
% 将压缩后的通道数据合并成一个新的图像I1ys
I1ys(:,:,1) = Rys;
I1ys(:,:,2) = Gys;
I1ys(:,:,3) = Bys;
imwrite(I1ys,'TMPS\Iys.jpg');% 将图像I1ys写入到文件'TMPS\Iys.jpg'中
% 对压缩后的图像应用解压缩函数func_deys,得到解压缩后的图像Rdeys、Gdeys、Bdeys
Rdeys = func_deys(Rys,Coff_dct,Q_dct,Bsize);
Gdeys = func_deys(Gys,Coff_dct,Q_dct,Bsize);
Bdeys = func_deys(Bys,Coff_dct,Q_dct,Bsize);
% 将解压缩后的通道数据合并成一个新的图像I2deys,并转换为uint8类型
I2deys(:,:,1) = uint8(Rdeys);
I2deys(:,:,2) = uint8(Gdeys);
I2deys(:,:,3) = uint8(Bdeys);
imwrite(I2deys,'TMPS\Ideys.jpg');% 将图像I2deys写入到文件'TMPS\Ideys.jpg'中
% 获取原始图像文件和压缩后的图像文件的大小(字节)
%压缩率
ys_rate = SIZE1/SIZE2;
% 显示三个图像:压缩后的图像、解压后的图像、原始图像
figure(1)
subplot(131)
imshow(I1ys);
title('压缩图像')
subplot(132)
imshow(I2deys);
title('解压图像')
subplot(133)
imshow(I0);
title('原始图像')
I00 = imread('TMPS\Ideys.jpg');
err = (double(I0) - double(I00)) .^ 2;
mse1= sum(err(:)) / (64*64);
%PSNR
Max_pixel = 255;
PSNR = 20*log10((Max_pixel^2)./sqrt(mse1));
save R1.mat ys_rate PSNR
- 点赞
- 收藏
- 关注作者
评论(0)