基于PLE结合卡尔曼滤波的RSSI定位算法matlab仿真
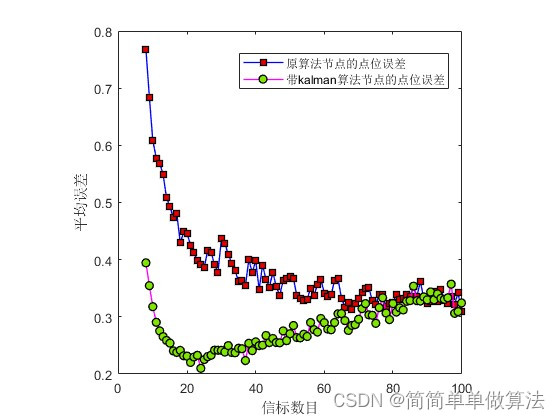
1.算法运行效果图预览



2.算法运行软件版本
MATLAB2022a
3.算法理论概述
基于PLE(Power-Law Equalizer)结合卡尔曼滤波的RSSI(Received Signal Strength Indicator)定位算法是一种利用无线信号强度进行位置估计的方法。该方法通过PLE算法对RSSI进行预处理,然后使用卡尔曼滤波器对处理后的数据进行位置和速度的估计。其整体流程图如下图所示:

一、基本原理
PLE算法:PLE算法是一种用于提取信号特征的方法,它可以削弱多径效应等干扰因素对RSSI的影响,提高位置估计的准确性。PLE算法的核心思想是对接收到的信号强度进行幂次变换,将非线性关系转化为线性关系。具体公式如下:
Y = X^α
其中,X表示接收到的信号强度,Y表示经过PLE处理后的信号强度,α为PLE算法的参数,需要根据实际环境进行调整。
卡尔曼滤波器:卡尔曼滤波器是一种高效的递归滤波器,它可以通过对过去和现在的测量结果进行加权,估计未来的状态变量。在RSSI定位中,卡尔曼滤波器可以用于估计被定位物体的位置和速度。具体公式如下:
预测步骤:
X_pred = FX_est + BU
P_pred = FP_estF^T + Q
更新步骤:
Z_pred = HX_pred
Y = Z - Z_pred
K = P_predH^T*(HP_predH^T + R)^(-1)
X_est = X_pred + KY
P_est = (I - KH)*P_pred
其中,X_est表示估计的状态变量(即位置和速度),P_est表示估计误差协方差矩阵,F表示状态转移矩阵,B表示控制输入矩阵,U表示控制输入变量,Z表示测量值,H表示观测矩阵,Q表示过程噪声协方差矩阵,R表示测量噪声协方差矩阵,K表示卡尔曼增益矩阵,Y表示测量残差,I表示单位矩阵。
二、算法流程
初始化:设定初始位置、速度、PLE算法的参数α、卡尔曼滤波器的参数(F、B、H、Q、R)等。
PLE处理:对接收到的RSSI进行PLE处理,得到处理后的信号强度。
卡尔曼滤波:将处理后的信号强度作为测量值Z,使用卡尔曼滤波器进行位置和速度的估计。
更新估计值:根据卡尔曼滤波器的输出结果,更新估计的位置和速度。
迭代处理:重复执行步骤2-4,直到达到设定的迭代次数或收敛条件。
输出结果:输出最终估计的位置和速度。
三、优缺点
基于PLE结合卡尔曼滤波的RSSI定位算法具有以下优点:
可以削弱多径效应等干扰因素对RSSI的影响,提高位置估计的准确性。
通过对过去和现在的测量结果进行加权,可以减小测量噪声对位置估计的影响。
可以有效地利用RSSI的时空相关性,提高位置估计的稳定性。
具有较好的鲁棒性和适应性,可以适用于不同的环境和应用场景。
4.部分核心程序
for Num_xb = Num_xb2
Num_xb
Indx = Indx + 1;
Dis = RoomLength/(Num_xb-1);
for m=1:Stimes
m
rng(m);
%生成节点坐标
Position_X = (0.7*rand)*RoomLength;
Position_Y = (0.7*rand)*RoomWidth;
Position = [Position_X,Position_Y];
%计算节点到信标的距离
for i=1:Num_xb
XB(:,i) = [i;(i-1)*Dis;0];
Dist(:,i) = sqrt((Position_X-((i-1)*Dis))^2+Position_Y^2);
end
%基于RSS的定位算法
for i=1:Num_xb
Number_rssi(1,i) = i;
%每个信标节点的RSSI值
if Dist(i) > Good_radius
Number_rssi(2,i) = 0;
else
Number_rssi(2,i) = func_RSSI_cal(Dist(i),Alpha);
end
end
Number_rssi2 = Number_rssi;
Number_rssi_save{m} = Number_rssi;
Position_X2{m} = Position_X;
Position_Y2{m} = Position_Y;
%进行卡尔曼滤波
%进行卡尔曼滤波
%进行卡尔曼滤波
tmps = Number_rssi_save{m}(2,:);
kalman_dat2{m} = func_kalman(tmps);
Number_rssi(1,:)= Number_rssi_save{m}(1,:);
Number_rssi(2,:)= kalman_dat2{m};
Position_X = Position_X2{m};
Position_Y = Position_Y2{m};
%将RSSI值从大到小排列
for i = 1:Num_xb
for j = i:Num_xb
if Number_rssi(2,i) < Number_rssi(2,j)
a = Number_rssi(1,j);
b = Number_rssi(2,j);
Number_rssi(2,j) = Number_rssi(2,i);
Number_rssi(1,j) = Number_rssi(1,i);
Number_rssi(1,i) = a;
Number_rssi(2,i) = b;
end
end
end
%RSSI值最大的信标的距离
for i=1:Best_xb
Dist(i) = Dis*( (func_RSSI_cal(Dis,Alpha)/Number_rssi(2,i))^(1/2.8) );
end
%求未知节点坐标
for i=1:Best_xb
Beaconn(1,i) = XB(2,Number_rssi(1,i));
Beaconn(2,i) = XB(3,Number_rssi(1,i));
end
All_num=Best_xb;
for i=1:2
for j=1:(All_num-1)
a(i,j) = Beaconn(i,j)-Beaconn(i,All_num);
end
end
A =-2*(a');
for i=1:(All_num-1)
B(i,1)=Dist(i)^2-Dist(All_num)^2-Beaconn(1,i)^2+Beaconn(1,All_num)^2-Beaconn(2,i)^2+Beaconn(2,All_num)^2;
end
%计算X坐标
X1 = pinv(A'*A)*A'*B;
X_pos = X1(1,1);
%计算Y坐标
z = 0;
for j=1:Best_xb
z = z + sqrt(abs(Dist(j)^2-(X_pos-Beaconn(1,j))^2));
end
Y_pos = z/Best_xb;
Loc = [X_pos;Y_pos];
%点位误差
error1(m) = sqrt((abs(Position_X-Loc(1)))^2+(abs(Position_Y-Loc(2)))^2);
%横坐标误差
error2(m) = abs(Loc(1)-Position_X);
%纵坐标误差
error3(m) = abs(Loc(2)-Position_Y);
Number_rssis(:,m) = Number_rssi(2,:);
end
Number_rssixb{Indx} = mean(Number_rssis,2);
Number_xb{Indx} = [1:Num_xb];
end
figure;
semilogy(Number_xb{1},Number_rssixb{1},'b-o');
grid on;
xlabel('信标数目');
ylabel('RSSI');
legend('信标数:30,RSSI排序后仿真图');
save result.mat Number_xb Number_rssixb
- 点赞
- 收藏
- 关注作者
评论(0)