ASP.NET区域LIS信息系统源码
医学检验(LIS)管理系统
技术架构:ASP.NET CORE 3.1 MVC + SQLserver + Redis等
随着全自动生化分析仪、全自动免疫分析仪和全自动血球计数器等仪器的使用,检验科的大多数项目实现了全自动化分析。全自动化分析引入后,组合化验增多,更好的满足了临床需要,也使检验科的工作量和检验数据成百上千倍的增加,这就需要实行智能化管理,早期的单机DOS网络管理系统就是实验室信息管理系统的推行,主要任务是接受分析数据、打印化验报告、查询报告和室内质量控制数据的管理等。
随着IT技术的飞速发展,实验室信息管理系统得以广泛应用,目前,LIS在运行速度、安全性、稳定性等方面都有较大的提高,并能实现检验结果审核自动化、检验无纸化、双向通讯及与医院信息管理系统的无缝联接,为实验室提供低成本、高效率、高品质的检验流程管理。

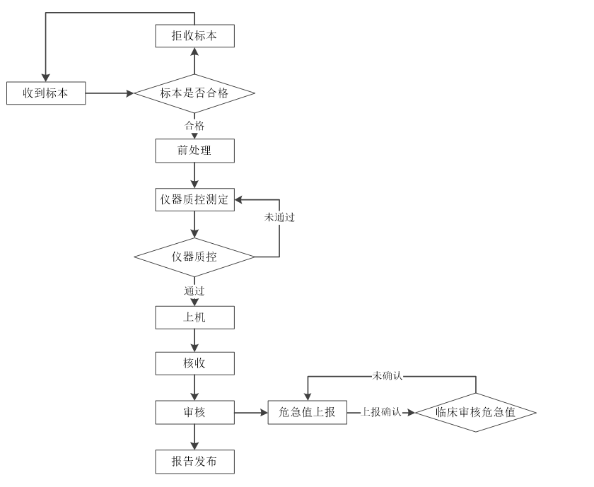
LIS的工作流程:
通过门诊医生和住院工作站提出的检验申请,生成相应患者的化验条码标签,在生成化验单的同时将患 者的基本信息与检验仪器相对应;当检验仪器生成结果后,系统会根据相应的关系,通过数据接口和结果核准将检验数据自动与患者信息相对应。 能实现检验信息电子化、检验信息管理自动化的网络系统。 代表当前最新技术的检验信息系统应该具备与医嘱双向沟通、采用条码管理手段、财务自动计费、仪器双向控制等重要功能特点。


医学检验(LIS)管理系统优点:
拥有完整的知识产权,与HIS系统无缝对接,共享缴费信息,生成检验申请单。采用设备驱动技术,能够对接绝大部分设备,支持单向通讯和双向通讯。
从样本管理到结果审核发布,遵从质控规范,自动判定,提示异常,减少错漏。
可对结果数据、样本数据等进行多种维度、多种形式的统计分析,满足科研需要。
集齐前处理、检验、报告、质控、统计分析、两癌等模块。
通过条形码、手工添加、电子申请单等多种方式录入样本。
自动接收检验结果,并根据患者的标本、年龄、性别等判断结果异常状态。
危急值提示,批量审核、打印,质控样本等功能协助医生更好的开展检验工作。
操作多台设备,自由切换,和操作单台设备一样。
- 点赞
- 收藏
- 关注作者
评论(0)