基于Alexnet深度学习网络的ECG信号是否异常识别算法matlab仿真
【摘要】 1.算法理论概述 ECG信号异常识别是医学领域中的重要研究方向之一。本文将从专业角度详细介绍基于Alexnet深度学习网络的ECG信号是否异常识别算法,包括实现步骤和数学公式的详细介绍。 一、算法概述基于Alexnet深度学习网络的ECG信号是否异常识别算法包括以下步骤: 数据预处理:对原始ECG信号进行预处理,包括去除基线漂移、滤波、降采样等。 异常识别:使用Alexnet深...
1.算法理论概述
ECG信号异常识别是医学领域中的重要研究方向之一。本文将从专业角度详细介绍基于Alexnet深度学习网络的ECG信号是否异常识别算法,包括实现步骤和数学公式的详细介绍。
一、算法概述
基于Alexnet深度学习网络的ECG信号是否异常识别算法包括以下步骤:
数据预处理:对原始ECG信号进行预处理,包括去除基线漂移、滤波、降采样等。
异常识别:使用Alexnet深度学习网络提取ECG信号的特征表示,包括卷积层、池化层、全连接层等。
二、实现步骤
数据预处理
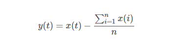
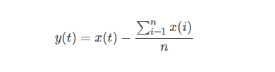
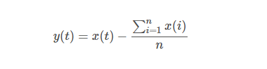
ECG信号的预处理包括去除基线漂移、滤波、降采样等。去除基线漂移可以使用高通滤波器实现,滤波可以使用低通滤波器实现,降采样可以使用抽样器实现。去除基线漂移的数学公式为:

其中,$y(t)$表示去除基线漂移后的信号,$x(t)$表示原始信号,$n$表示信号长度。
特征提取
特征提取的目的是将ECG信号转换成高维特征表示,以便后续分类器进行分类。使用Alexnet深度学习网络进行特征提取,包括以下层次:
卷积层:使用卷积核提取特征,得到卷积映射;
激活层:使用ReLU函数增强非线性特征;
池化层:使用池化操作降低特征维度;
全连接层:使用全连接层将特征映射到高维空间。
- 数学公式


2.算法运行软件版本
matlab2022a
- 算法运行效果图预览

4.部分核心程序
load mynet.mat%加载已经训练好的模型
net = alexnet;%加载AlexNet预训练模型
featureLayer ='fc7';%获取AlexNet的最后一个全连接层
file_path1 = 'test\Normal\';% 图像文件夹路径
%获取测试图像文件夹下所有jpg格式的图像文件
img_path_list = dir(strcat(file_path1,'*.jpg'));
idx=0;%初始化索引
for i = 1:6%对每张测试图像进行预测并可视化
idx = idx+1; %索引+1
II = imread([file_path1,img_path_list(i).name]);%读取测试图像
II = imresize(II,[227 227]);%将测试图像大小缩放为预训练模型的输入大小
Features = activations(net,II,featureLayer,'OutputAs','rows'); %提取测试图像的特征
II2 = predict(classifier,Features);%使用分类器对测试图像进行分类
subplot(2,6,idx) %在第一行的左侧位置显示测试图像和分类结果
disp(char(II2));%输出测试图像的分类结果
imshow(II); %显示测试图像
title(char(II2));%显示测试图像的分类结果
end
file_path1 = 'test\UnNormal\';% 图像文件夹路径
img_path_list = dir(strcat(file_path1,'*.jpg'));%获取测试图像文件夹下所有jpg格式的图像文件
for i = 1:6%对每张测试图像进行预测并可视化
idx = idx+1;%索引+1
II = imread([file_path1,img_path_list(i).name]); %读取测试图像
II = imresize(II,[227 227]);%将测试图像大小缩放为预训练模型的输入大小
Features = activations(net,II,featureLayer,'OutputAs','rows');%提取测试图像的特征
II2 = predict(classifier,Features); %使用分类器对测试图像进行分类
subplot(2,6,idx)%在第一行的右侧位置显示测试图像和分类结果
disp(char(II2)); %输出测试图像的分类结果
imshow(II);%显示测试图像
title(char(II2));%显示测试图像的分类结果
end
【版权声明】本文为华为云社区用户原创内容,未经允许不得转载,如需转载请自行联系原作者进行授权。如果您发现本社区中有涉嫌抄袭的内容,欢迎发送邮件进行举报,并提供相关证据,一经查实,本社区将立刻删除涉嫌侵权内容,举报邮箱:
cloudbbs@huaweicloud.com
- 点赞
- 收藏
- 关注作者
评论(0)