基于Alexnet深度学习网络的人脸识别算法matlab仿真
1.算法理论概述
一、引言
人脸识别是计算机视觉领域中的一项重要任务,它可以对人类面部特征进行自动识别和验证。近年来,随着深度学习的兴起,基于深度学习的人脸识别算法也得到了广泛的应用。本文将介绍基于Alexnet深度学习网络的人脸识别算法,包括详细的实现步骤和数学公式。
二、Alexnet深度学习网络
Alexnet是一种深度神经网络模型,由Alex Krizhevsky等人于2012年提出。它是第一个成功应用于大规模图像识别任务的深度学习网络模型,其主要结构包括卷积层、池化层、全连接层和softmax层等。在人脸识别任务中,通常使用Alexnet网络模型进行特征提取和分类。


三、基于Alexnet的人脸识别算法
基于Alexnet的人脸识别算法主要包括以下步骤:数据预处理、特征提取、特征匹配和分类。
数据预处理
数据预处理是人脸识别算法中非常重要的一步,它可以对输入的人脸图像进行归一化、裁剪和增强等操作,提高识别的准确率和鲁棒性。常用的数据预处理方法包括:
(1) 归一化:将输入的人脸图像进行像素值归一化,使每个像素值都在0到1之间。
(2) 裁剪:将人脸图像从原始图像中裁剪出来,去除背景和其他干扰因素。
(3) 增强:对人脸图像进行增强操作,如亮度调整、对比度增强、图像旋转等,提高图像的质量和可识别性。
特征提取
特征提取是人脸识别算法中最关键的一步,它可以将输入的人脸图像转换成高维特征向量,用于后续的分类和匹配。基于Alexnet的人脸识别算法通常使用卷积层和全连接层提取特征,具体步骤如下:
(1) 输入人脸图像,并经过多个卷积层和池化层的处理,提取出高维的特征图。
(2) 将特征图展开成一个一维向量,作为全连接层的输入。
(3) 经过多个全连接层的处理,得到一个高维特征向量,用于人脸分类和匹配。
特征匹配
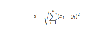
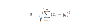
特征匹配是人脸识别算法中的另一个重要步骤,它可以对输入的人脸特征向量进行比较和匹配,找到最相似的人脸。常用的特征匹配方法包括欧氏距离、余弦相似度等,其中欧氏距离的数学公式为:

其中,$d$表示特征向量之间的欧氏距离,$x_i$和$y_i$分别表示两个特征向量的第$i$个元素。
分类
分类是人脸识别算法中的最后一步,它可以将输入的人脸图像归为不同的类别,如人物姓名、性别、年龄等。
基于Alexnet深度学习网络的人脸识别算法是一种高效、准确和鲁棒的人脸识别方法,在人脸识别和人脸验证等领域得到了广泛的应用。该算法通过对输入的人脸图像进行特征提取和分类,实现了高效和准确的人脸识别任务。未来,随着深度学习技术的不断发展和完善,基于Alexnet的人脸识别算法将会得到更加广泛的应用和发展。
2.算法运行软件版本
matlab2022a
- 算法运行效果图预览



4.部分核心程序
clc;
clear;
close all;
warning off;
addpath(genpath(pwd));
rng('default')
%MATLAB/verilog/python/opencv/tensorflow/caffe/C/C++等算法仿真
%微信公众号:matlabworld
% 加载已经训练好的深度学习模型
load('mynet.mat');
% 处理匹配图像
file_path1 = 'Test\match\';% 图像文件夹路径
img_path_list = dir(strcat(file_path1,'*.jpg'));
figure;
idx=0;
for i = 1:16
idx = idx+1;
I = imread([file_path1,img_path_list(i).name]);
img = (I);
img1 = img(:,1:113,:);
img1 = imresize(img1, [227 227]);
img2 = img(:,115:end,:);
img2 = imresize(img2, [227 227]);
% 对左右两部分图像分别进行分类
result1 = classify(classifier,img1);
result2 = classify(classifier,img2);
% 判断两部分图像是否属于同一个人
if result1 == result2
T = '同一个人';
else
T = '不同人员';
end
subplot(4,4,idx)
imshow(img)
title(T);
end
% 处理不匹配图像
file_path1 = 'Test\non-match\';% 图像文件夹路径 % 不匹配图像文件夹路径
img_path_list = dir(strcat(file_path1,'*.jpg'));
figure;
idx=0;
for i = 1:16
idx = idx+1;
I = imread([file_path1,img_path_list(i).name]);
img = (I);
img1 = img(:,1:113,:);
img1 = imresize(img1, [227 227]);
img2 = img(:,115:end,:);
img2 = imresize(img2, [227 227]);
% 对左右两部分图像分别进行分类
result1 = classify(classifier,img1);
result2 = classify(classifier,img2);
% 判断两部分图像是否属于同一个人
if result1 == result2
T = '同一个人';
else
T = '不同人员';
end
subplot(4,4,idx)
imshow(img)
title(T);
end
- 点赞
- 收藏
- 关注作者
评论(0)