三维海浪模型建模与matlab仿真,并在海浪中加入浮标
1.算法理论概述
一、引言
海洋工程是一门涉及海洋环境、海洋结构、海洋资源等多个方面的综合性学科。其中,海浪是海洋环境中一种重要的自然现象,对海洋工程设计和运营具有重要影响。本文将介绍如何使用三维海浪模型建模,并在海浪中加入浮标。
二、三维海浪模型建模
三维海浪模型是一种用于模拟海浪运动的数学模型。在建模过程中,需要考虑海浪的传播、反射、折射等多种现象。通常使用频域方法或时域方法来解决三维海浪模型中的数学方程。
频域方法
频域方法是一种将时间域问题转化为频域问题进行求解的方法。在三维海浪模型中,可以使用频域方法来解决海浪波浪方程和边界条件,得到海浪的频域响应。通常使用快速傅里叶变换(FFT)来实现频域方法的计算。
时域方法
时域方法是一种直接在时间域内求解问题的方法。在三维海浪模型中,可以使用时域方法来求解海浪波浪方程和边界条件,得到海浪的时域响应。通常使用有限差分法(FDM)或有限元法(FEM)来实现时域方法的计算。
三维海浪模型实现步骤
三维海浪模型的实现步骤如下:
(1)定义海浪波浪方程
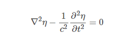
海浪波浪方程是描述海浪运动的数学方程,可以根据波动理论和海洋动力学原理得到。通常使用线性波动理论来描述海浪波浪方程,其数学形式为:

其中,$\eta$表示海面高度,$c$表示波速。
(2)定义边界条件
边界条件是指海浪与海洋结构之间的交界面,需要满足能量守恒和动量守恒等物理原理。通常使用边界元法或边界积分方程法来求解边界条件。
(3)求解海浪频谱
海浪频谱是指海浪的频率和振幅的分布情况,可以使用线性波动理论和频域方法来求解海浪频谱。通常使用FFT来计算海浪频谱。
(4)求解海浪时域响应
海浪时域响应是指海浪在时间上的波动情况,可以使用线性波动理论和时域方法来求解海浪时域响应。通常使用FDM或FEM来计算海浪时域响应。
三、在海浪中加入浮标
在海浪中加入浮标可以模拟浮标的运动和受力情况,对海洋工程设计和运营具有重要意义。在进行浮标模拟时,需要考虑浮标的运动方程和受力情况。
浮标运动方程
浮标运动方程是描述浮标在海浪中运动的数学方程,可以根据牛顿第二定律和海洋动力学原理得到。通常使用受力平衡方程和运动方程来描述浮标的运动情况,其数学形式为:

其中,$m$表示浮标的质量,$\mathbf{r}$表示浮标的位置矢量,$\mathbf{g}$表示重力加速度,$\mathbf{F}_d$表示浮力,$\mathbf{F}_s$表示浮标所受的风力和水流力等额外作用力。
浮标受力情况
浮标在海浪中所受的力包括浮力、阻力、摩擦力、风力和水流力等。其中,浮力和阻力是影响浮标运动最主要的因素。
浮力是指浮标所受的水的作用力,其大小与浮标在水中的体积和密度有关,可以根据阿基米德原理求解。阻力是指浮标在水中运动时与水的摩擦力,其大小与浮标运动速度、水的粘性和浮标表面积有关,可以根据流体力学原理求解。风力和水流力等额外作用力可以根据相关物理原理求解。
浮标模拟步骤
在海浪中加入浮标的模拟步骤如下:
(1)根据浮标的几何形状和物理性质计算浮标的质量、体积和浮力。
(2)利用三维海浪模型计算海浪波浪方程和边界条件,得到海浪的频谱和时域响应。
(3)将浮标的运动方程和受力情况与海浪的时域响应相结合,求解浮标在海浪中的运动情况。通常使用数值积分方法(如欧拉法或龙格-库塔法)来求解浮标的运动方程。
(4)根据浮标的运动情况,计算浮标所受的阻力、摩擦力、风力和水流力等额外作用力。
- 根据浮标所受的各种力,更新浮标的运动状态和位置,进行下一步的模拟计算。
2.算法运行软件版本
MATLAB2013b
3.算法运行效果图预览


4.部分核心程序
%模块1:底部圆柱
%模块1:底部圆柱
t = 0:pi/20:2*pi;
RR = 3.5;
x = 50+RR*sin(t)/kx;
y = 50+RR*cos(t)/ky;
z = linspace(-2.3,-1.8,length(t))/kz + OW;
X = meshgrid(x);
Y = meshgrid(y);
Z = [meshgrid(z)]';
surf(X,Y,Z);
hold on;
%模块2:四个圆柱形支架
%模块2:四个圆柱形支架
delta = 0.13;
for i = 1:18
EX = 1.5;
t = 0:pi/20:2*pi;
RR = 0.5;
x = 50+RR*sin(t)/kx+EX/kx + i*delta/kx;
y = 50+RR*cos(t)/ky+EX/ky + i*delta/ky;
z = linspace(-1.8+(i-1)*0.1,-1.8+i*0.1,length(t))/kz + OW;
X = meshgrid(x) ;
Y = meshgrid(y);
Z = [meshgrid(z)]';
surf(X,Y,Z);
hold on;
end
for i = 1:18
EX = 1.5;
t = 0:pi/20:2*pi;
RR = 0.5;
x = 50+RR*sin(t)/kx+EX/kx + i*delta/kx;
y = 50+RR*cos(t)/ky-EX/ky - i*delta/ky;
z = linspace(-1.8+(i-1)*0.1,-1.8+i*0.1,length(t))/kz + OW;
X = meshgrid(x) ;
Y = meshgrid(y);
Z = [meshgrid(z)]';
surf(X,Y,Z);
hold on;
end
for i = 1:18
EX = 1.5;
t = 0:pi/20:2*pi;
RR = 0.5;
x = 50+RR*sin(t)/kx-EX/kx - i*delta/kx;
y = 50+RR*cos(t)/ky+EX/ky + i*delta/ky;
z = linspace(-1.8+(i-1)*0.1,-1.8+i*0.1,length(t))/kz + OW;
X = meshgrid(x) ;
Y = meshgrid(y);
Z = [meshgrid(z)]';
surf(X,Y,Z);
hold on;
end
for i = 1:18
EX = 1.5;
t = 0:pi/20:2*pi;
RR = 0.5;
x = 50+RR*sin(t)/kx-EX/kx - i*delta/kx;
y = 50+RR*cos(t)/ky-EX/ky - i*delta/ky;
z = linspace(-1.8+(i-1)*0.1,-1.8+i*0.1,length(t))/kz + OW;
X = meshgrid(x) ;
Y = meshgrid(y);
Z = [meshgrid(z)]';
surf(X,Y,Z);
hold on;
end
- 点赞
- 收藏
- 关注作者
评论(0)