信号频域特征参数
信号频域特征参数
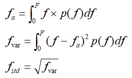
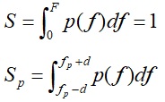
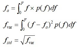
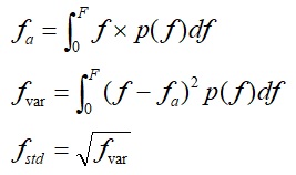
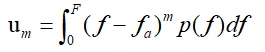
提取信号频域特征参数,先估计信号的功率谱密度函数,然后从功率谱密度函数计算信号的频域特征参数。频域特征参数包括峰值频率、均值频率、中值频率、频率标准差、四分位宽度、频率变异系数、频谱峰度、频谱偏度、能量聚度、频谱熵比等。使用这些参数来刻画信号功率谱密度曲线的概貌特征。将在频率[f1,f2]范围内的功率谱密度曲线看成是概率分布密度函数就能很好地理解频域特征参数的计算方法,通常频率范围设置为[0,F]之间,因此f1=0, f2=F=Fs/2,Fs是信号的采样速率。已知功率谱密度函数为p(f),计算均值频率fa与频率标准差fstd,以及频率变异系数fcv:

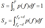
其中函数p(f)是功率谱密度函数,且满足

因此频率变异系数fcv为:

(1)峰值频率
如下图所示功率谱曲线,横轴代表频率,纵轴代表归一化功率,其中最大值对应的频率即峰值频率fp=fpeak。

(2)中值频率
中值频率fm两边的曲线下面积相等,S1=S2=0.5,按此条件来计算中值频率fm。


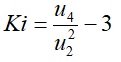
(3)频谱四分位宽度
频率fL以下的曲线面积S1,频率fU以上的曲线面积S2,且S1=S2=0.25,则四分位频率宽度为fq=fU-fL。


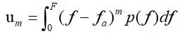
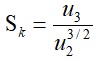
(4)频谱峰度和偏度
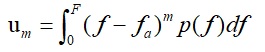
基于概率分布密度函数,可以计算二阶矩、三阶矩和四阶矩,由此计算频谱偏度和峰度。
假设功率谱的频率范围是[0,F],功率谱密度函数为p(f),且满足:

那么m阶中心矩为:

其中fa是均值频率。
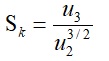
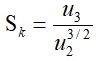
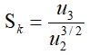
频谱偏度系数Skewness为:

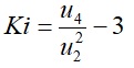
频谱峰度系数Kurtosis为:

上式中减3是为了让正态分布的峰度系数为零。
如果信号是单频率正弦信号,则其峰值频率、均值频率、中值频率、过零率、峰值率可以认为是相等的。
(5)能量聚度
能量聚度用来表示在峰值频率附近的能量聚集程度。如果峰值频率为fp,在频率范围[fp-d,fp+d]内的曲线下面积为Sp,曲线下总面积为S,则:

则能量聚度Ec为:

此处d值比较小,例如d=F/200。如果在峰值频率附近的能量很集中则Ec值接近于100。

(6)频谱熵比
信息熵

均匀分布函数为f(x)=1/F,对应的熵为:H1=log(F),那么频谱熵比Ep为:Ep=H/H1*100%。
这里log()是自然对数。频谱熵比(Ep)越大表示功率谱密度曲线在各频率点的能量越分散。
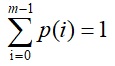
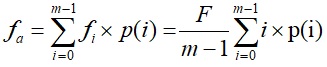
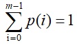
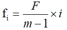
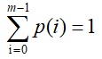
(7)离散频谱情况
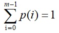
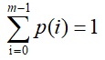
对于离散情况,功率谱密度值落在离散频率点上,即p(i),i=0,1,…,m-1,并且满足:

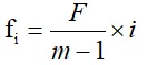
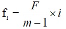
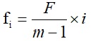
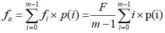
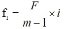
如果对应频率范围是[0,F],则离散频率点fi, i = 0,1, …, m-1为:

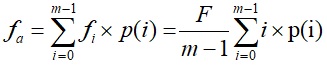
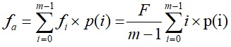
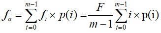
上述频域特征参数计算中求积分可以用求和来逼近。
例如均值频率计算为:

参考文献:
[1]马振华 主编. 现代应用数学手册--概率统计与随机过程卷[M]. 北京 清华大学出版社,2000年7月第1版. 第47-56页.
- 点赞
- 收藏
- 关注作者
评论(0)