LeetCode-83. 删除排序链表中的重复元素(java)
👨🎓作者:bug菌
✏️博客:、、、等
🎉简介:CSDN/阿里云/华为云/51CTO 博客专家,博客之星Top30,掘金年度人气作者Top40,51CTO年度博主Top12,掘金/InfoQ/51CTO等社区优质创作者,全网粉丝合计10w+,硬核微信公众号「猿圈奇妙屋」,欢迎你的加入!免费领取简历模板/学习资料/大厂面试真题/职业规划等海量资料。
..
✍️温馨提醒:本文字数:1999字, 阅读完需:约 6 分钟
嗨,家人们,我是bug菌呀,我又来啦。今天我们来聊点什么咧,OK,接着为大家更系列文章吧。希望能帮助更多的初学者们快速入门!
如果小伙伴们在批阅文章的过程中觉得文章对自己有帮助,请别吝啬手中的赞呀,大胆的把文章点亮👍,相信你点赞了好的文章,平台也会经常给你推荐高质量好文,您的点赞三连(收藏+关注+留言)就是对bug菌写文道路上最好的鼓励与支持😘。时光不弃🏃🏻♀️,创作不停💕,加油☘️
一、前言🔥
哈喽,小伙伴们,我是bug菌呀👀。金三银四,又到了刷题月啦。所以不管你是准备跳槽还是在职,都一起行动起来,顺应这个时代月干点该干的事儿👣。所以,赶紧跟着bug菌的步伐卷起来吧⏰,变强从这一刻开始!➕🧈
小伙伴们在批阅文章的过程中如果觉得文章对您有一丝丝帮助,还请别吝啬您手里的赞呀,大胆的把文章点亮👍吧,您的点赞三连(收藏⭐️+关注👨🎓+留言📃)就是对bug菌我创作道路上最好的鼓励与支持😘。时光不弃🏃🏻♀️,创作不停💕,加油☘️
二、题目描述:
题目:
给定一个已排序的链表的头head,删除所有重复的元素,使每个元素只出现一次。返回已排序的链表。
具体请看如下示例:
示例 1:
示例 2:
提示:
- 链表中节点数目在范围
[0, 300]内 -100 <= Node.val <= 100- 题目数据保证链表已经按升序 排列
题目来源:
题目难度:⭐⭐
三、思路分析:
总算是迎来了一道链表题啦,这题其实蛮简单的,稍微懂点链表结构的同学,肯定会毫不犹豫, 由于给定的是排序链表,重复元素位置肯定都是连续的,直接一个遍历判断前后元素是否相等啪的一下就裸写提交去了。但是呢,接下来我还是得讲讲这道题的解题思路及步骤,肯定会有不太懂的同学,会的同学也可以再回顾一下啦。
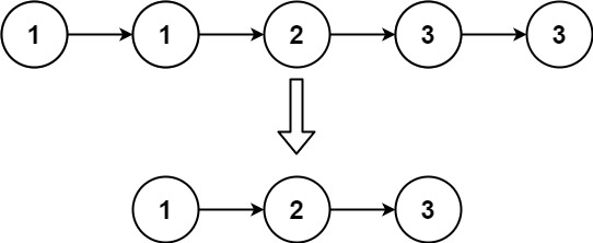
我们先定义一个指针 cur 指向链表的头节点,然后开始遍历链表:
- 如果 cur 与 cur.next 对应的元素相同,说明两节点元素重复,去重做法就是将cur.next 从链表中移除(你就这么理解:将cur 的下一个指针指向cur的下一个的下一个,跳过它);
- 否则说明当前链表中不存在与cur 对应的元素相同的节点,因此就将 cur 指向cur.next,继续循环。
- 当遍历完整个链表之后,我们返回链表的头节点即可。
四、算法实现:
AC代码
具体算法代码实现如下:
五、总结:
leetcode提交运行结果截图如下:
复杂度分析:
- 时间复杂度:O(n)。其中n 是链表的长度。
- 空间复杂度:O(1)。
综上所述,这道去重链表题还是相对简单,唯独就是需要注意当遍历到最后一个节点时,如果cur.next 为空节点,如果直接获取cur.next 对应的元素肯定会报错。所以在你循环时需要加上这个判空逻辑即可。其实采用快慢指针的思路也可以解这道题,这个就你们自己线下试试吧,我这就不给大家做演示啦,还得赶项目呢。
再者,解题道路千万条,欢迎小伙伴们脑洞大开,如果你们有啥更好的想法或者解题思路,欢迎评论区告诉我哦,大家一起互相借鉴互相学习,方能成长的更快。
好啦,以上就是本期的所有内容啦,咱们下期见咯。
... ...
好啦,以上就是这期的所有内容啦,你们学废了么?如果对你有所帮助,还请不要忘记给bug菌[三连支持]哟。如果想获得更多的学习资源或者想和更多的技术爱好者一起交流,可以关注我的公众号『』,后台回复关键词领取学习资料、大厂面经、面试模板等海量资源,就等你来拿。
六. 热文推荐🔥
滴~如下推荐【Spring Boot 进阶篇】的学习大纲,请小伙伴们注意查收。
...
七. 文末🔥
如果想系统性的学习Spring Boot,小伙伴们直接订阅bug菌专门为大家创建的Spring Boot专栏从入门到精通,从无到有,从零到一!以知识点+实例+项目的学习模式由浅入深对Spring Boot框架进行学习&使用。
如果你有一定的基础却又想精进Spring Boot,那么将会是你的最好的选择;此栏进行知识点+实例+项目的学习方式全面深入框架剖析及各种高阶玩法,励志打造全网最全最新springboot学习专栏,投资学习自己性价比最高。
我是bug菌,一名想走👣出大山改变命运的程序猿。接下来的路还很长,都等待着我们去突破、去挑战。来吧,小伙伴们,我们一起加油!未来皆可期,fighting!
- 点赞
- 收藏
- 关注作者





评论(0)