LeetCode-101. 对称二叉树(java)
👨🎓作者:bug菌
✏️博客:、、、等
🎉简介:CSDN/阿里云/华为云/51CTO 博客专家,博客之星Top30,掘金年度人气作者Top40,51CTO年度博主Top12,掘金/InfoQ/51CTO等社区优质创作者,全网粉丝合计10w+,硬核微信公众号「猿圈奇妙屋」,欢迎你的加入!免费领取简历模板/学习资料/大厂面试真题/职业规划等海量资料。
..
✍️温馨提醒:本文字数:1999字, 阅读完需:约 6 分钟
嗨,家人们,我是bug菌呀,我又来啦。今天我们来聊点什么咧,OK,接着为大家更系列文章吧。希望能帮助更多的初学者们快速入门!
如果小伙伴们在批阅文章的过程中觉得文章对自己有帮助,请别吝啬手中的赞呀,大胆的把文章点亮👍,相信你点赞了好的文章,平台也会经常给你推荐高质量好文,您的点赞三连(收藏+关注+留言)就是对bug菌写文道路上最好的鼓励与支持😘。时光不弃🏃🏻♀️,创作不停💕,加油☘️
一、前言🔥
哈喽,小伙伴们,我是bug菌呀👀。金三银四,又到了刷题月啦。所以不管你是准备跳槽还是在职,都一起行动起来,顺应这个时代月干点该干的事儿👣。所以,赶紧跟着bug菌的步伐卷起来吧⏰,变强从这一刻开始!➕🧈
小伙伴们在批阅文章的过程中如果觉得文章对您有一丝丝帮助,还请别吝啬您手里的赞呀,大胆的把文章点亮👍吧,您的点赞三连(收藏⭐️+关注👨🎓+留言📃)就是对bug菌我创作道路上最好的鼓励与支持😘。时光不弃🏃🏻♀️,创作不停💕,加油☘️
二、题目描述:
题目:
给你一个二叉树的根节点 root , 检查它是否轴对称。
具体请看如下示例:
示例 1:
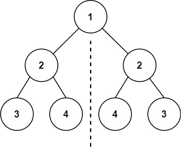
输入:root = [1,2,2,3,4,4,3]
输出:true
示例 2:
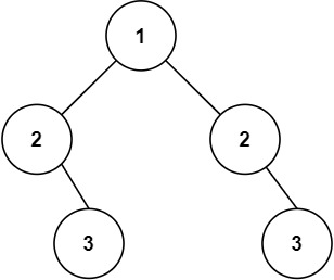
输入:root = [1,2,2,null,3,null,3]
输出:false
提示:
- 树中节点数目在范围
[1, 1000]内 -100 <= Node.val <= 100
题目来源:
题目难度:⭐⭐
三、思路分析:
分析题意描述可得:判断树左右是否对称?其实就理解成树的镜像是否对称,也就等价于左子树是否镜像于右子树?如果同时满足下面的条件,两个树即互为镜像:
- 它们的两个根结点具有相同的值。
- 每个树的右子树都与另一个树的左子树镜像对称。
这还不好做么,xdm,提示到这里了都。
思路1:递归法
最让人容易想到的就是递归,递归比较左子树和右子树。具体做法:
- 标记根节点的左子为
left,右子树为right。比较left是否等于right,不等的话直接返回就可以了。 - 如果相当,比较 left 的左节点和 right 的右节点,再比较 left 的右节点和 right 的左节点
- 注意递归结束条件:left 和 right 不相等,或者 left 和 right 都为空。
思路2:迭代法
「思路一」中我们用递归的方法实现了对称性的判断。那么如何用迭代的方法实现呢?具体思路做法如下:
- 首先我们引入一个队列。
- 初始化时把根节点入队两次。
- 每次提取两个结点并比较它们的值(队列中每两个连续的结点应该是相等的,而且它们的子树互为镜像),然后将两个结点的左右子结点按相反的顺序插入队列中。
- 当队列为空时,或者检测到树不对称(即从队列中取出两个不相等的连续结点)时,迭代算法结束。
四、算法实现:
1、递归法_AC代码
具体算法代码实现如下:
class Solution {
public boolean isSymmetric(TreeNode root) {
//进行递归调用
return dg(root, root);
}
//递归函数
public boolean dg(TreeNode p, TreeNode q) {
//注意临界条件
if (p == null && q == null) {
return true;
}
if (p == null || q == null) {
return false;
}
//比较树的左右节点。
return p.val == q.val && dg(p.left, q.right) && dg(p.right, q.left);
}
}
2、迭代法_AC代码
具体算法代码实现如下:
class Solution {
public boolean isSymmetric(TreeNode root) {
return dd(root, root);
}
public boolean dd(TreeNode u, TreeNode v) {
Queue<TreeNode> q = new LinkedList<TreeNode>();
q.offer(u);
q.offer(v);
while (!q.isEmpty()) {
u = q.poll();
v = q.poll();
if (u == null && v == null) {
continue;
}
if ((u == null || v == null) || (u.val != v.val)) {
return false;
}
q.offer(u.left);
q.offer(v.right);
q.offer(u.right);
q.offer(v.left);
}
return true;
}
}
五、总结:
1、递归法之leetcode提交运行结果截图如下:
复杂度分析:
- 时间复杂度:O(n)。遍历了整棵树。
- 空间复杂度:O(n)。这里的空间复杂度和递归使用的栈空间有关,这里递归层数不超过n,故渐进空间复杂度为O(n)。
2、迭代法之leetcode提交运行结果截图如下:
复杂度分析:
- 时间复杂度:O(n)。遍历了整棵树。
- 空间复杂度:O(n)。
此题还是很好玩的,对比之前有一道判断两棵树是否完全相同,解题思路都是通用的,那就是递归,但是很浪费性能。思路二是参考力扣官方提供的解题思路,我也在最后贴了希望大家也能参考一下不同的思路题解,别太局限一看到二叉树题就通用递归。
再者,解题道路千万条,欢迎小伙伴们脑洞大开,如果你们有啥更好的想法或者思路,欢迎评论区告诉我哦,大家一起互相借鉴互相学习,方能成长的更快。
好啦,以上就是本期的所有内容啦,咱们下期见咯。
... ...
好啦,以上就是这期的所有内容啦,你们学废了么?如果对你有所帮助,还请不要忘记给bug菌[三连支持]哟。如果想获得更多的学习资源或者想和更多的技术爱好者一起交流,可以关注我的公众号『』,后台回复关键词领取学习资料、大厂面经、面试模板等海量资源,就等你来拿。
六. 热文推荐🔥
滴~如下推荐【Spring Boot 进阶篇】的学习大纲,请小伙伴们注意查收。
...
七. 文末🔥
如果想系统性的学习Spring Boot,小伙伴们直接订阅bug菌专门为大家创建的Spring Boot专栏从入门到精通,从无到有,从零到一!以知识点+实例+项目的学习模式由浅入深对Spring Boot框架进行学习&使用。
如果你有一定的基础却又想精进Spring Boot,那么将会是你的最好的选择;此栏进行知识点+实例+项目的学习方式全面深入框架剖析及各种高阶玩法,励志打造全网最全最新springboot学习专栏,投资学习自己性价比最高。
我是bug菌,一名想走👣出大山改变命运的程序猿。接下来的路还很长,都等待着我们去突破、去挑战。来吧,小伙伴们,我们一起加油!未来皆可期,fighting!
- 点赞
- 收藏
- 关注作者






评论(0)