单链表的六大解题套路,你都见过么?
本文就总结一下单链表的基本技巧,每个技巧都对应着至少一道算法题:
1、合并两个有序链表
2、合并k个有序链表
3、寻找单链表的倒数第k个节点
4、寻找单链表的中点
5、判断单链表是否包含环并找出环起点
6、判断两个单链表是否相交并找出交点
这些解法都用到了双指针技巧,所以说对于单链表相关的题目,双指针的运用是非常广泛的,下面我们就来一个一个看。
合并两个有序链表
这是最基本的链表技巧,力扣第 21 题「合并两个有序链表」就是这个问题:

给你输入两个有序链表,请你把他俩合并成一个新的有序链表,函数签名如下:
ListNode mergeTwoLists(ListNode l1, ListNode l2);
这题比较简单,我们直接看解法:
ListNode mergeTwoLists(ListNode l1, ListNode l2) {
// 虚拟头结点
ListNode dummy = new ListNode(-1), p = dummy;
ListNode p1 = l1, p2 = l2;
while (p1 != null && p2 != null) {
// 比较 p1 和 p2 两个指针
// 将值较小的的节点接到 p 指针
if (p1.val > p2.val) {
p.next = p2;
p2 = p2.next;
} else {
p.next = p1;
p1 = p1.next;
}
// p 指针不断前进
p = p.next;
}
if (p1 != null) {
p.next = p1;
}
if (p2 != null) {
p.next = p2;
}
return dummy.next;
}
我们的 while 循环每次比较p1和p2的大小,把较小的节点接到结果链表上:

这个算法的逻辑类似于「拉拉链」,l1, l2类似于拉链两侧的锯齿,指针p就好像拉链的拉索,将两个有序链表合并。
代码中还用到一个链表的算法题中是很常见的「虚拟头节点」技巧,也就是dummy节点。你可以试试,如果不使用dummy虚拟节点,代码会复杂很多,而有了dummy节点这个占位符,可以避免处理空指针的情况,降低代码的复杂性。
合并 k 个有序链表
看下力扣第 23 题「合并K个升序链表」:

函数签名如下:
ListNode mergeKLists(ListNode[] lists);
合并k个有序链表的逻辑类似合并两个有序链表,难点在于,如何快速得到k个节点中的最小节点,接到结果链表上?
这里我们就要用到 优先级队列(二叉堆) 这种数据结构,把链表节点放入一个最小堆,就可以每次获得k个节点中的最小节点:
ListNode mergeKLists(ListNode[] lists) {
if (lists.length == 0) return null;
// 虚拟头结点
ListNode dummy = new ListNode(-1);
ListNode p = dummy;
// 优先级队列,最小堆
PriorityQueue<ListNode> pq = new PriorityQueue<>(
lists.length, (a, b)->(a.val - b.val));
// 将 k 个链表的头结点加入最小堆
for (ListNode head : lists) {
if (head != null)
pq.add(head);
}
while (!pq.isEmpty()) {
// 获取最小节点,接到结果链表中
ListNode node = pq.poll();
p.next = node;
if (node.next != null) {
pq.add(node.next);
}
// p 指针不断前进
p = p.next;
}
return dummy.next;
}
这个算法是面试常考题,它的时间复杂度是多少呢?
优先队列pq中的元素个数最多是k,所以一次poll或者add方法的时间复杂度是O(logk);所有的链表节点都会被加入和弹出pq,所以算法整体的时间复杂度是O(Nlogk),其中k是链表的条数,N是这些链表的节点总数。
单链表的倒数第 k 个节点
从前往后寻找单链表的第k个节点很简单,一个 for 循环遍历过去就找到了,但是如何寻找从后往前数的第k个节点呢?
那你可能说,假设链表有n个节点,倒数第k个节点就是正数第n - k个节点,不也是一个 for 循环的事儿吗?
是的,但是算法题一般只给你一个ListNode头结点代表一条单链表,你不能直接得出这条链表的长度n,而需要先遍历一遍链表算出n的值,然后再遍历链表计算第n - k个节点。
也就是说,这个解法需要遍历两次链表才能得到出倒数第k个节点。
那么,我们能不能只遍历一次链表,就算出倒数第k个节点?可以做到的,如果是面试问到这道题,面试官肯定也是希望你给出只需遍历一次链表的解法。
这个解法就比较巧妙了,假设k = 2,思路如下:
首先,我们先让一个指针p1指向链表的头节点head,然后走k步:

现在的p1,只要再走n - k步,就能走到链表末尾的空指针了对吧?
趁这个时候,再用一个指针p2指向链表头节点head:

接下来就很显然了,让p1和p2同时向前走,p1走到链表末尾的空指针时走了n - k步,p2也走了n - k步,也就恰好到达了链表的倒数第k个节点:

这样,只遍历了一次链表,就获得了倒数第k个节点p2。
上述逻辑的代码如下:
// 返回链表的倒数第 k 个节点
ListNode findFromEnd(ListNode head, int k) {
ListNode p1 = head;
// p1 先走 k 步
for (int i = 0; i < k; i++) {
p1 = p1.next;
}
ListNode p2 = head;
// p1 和 p2 同时走 n - k 步
while (p1 != null) {
p2 = p2.next;
p1 = p1.next;
}
// p2 现在指向第 n - k 个节点
return p2;
}
当然,如果用 big O 表示法来计算时间复杂度,无论遍历一次链表和遍历两次链表的时间复杂度都是O(N),但上述这个算法更有技巧性。
很多链表相关的算法题都会用到这个技巧,比如说力扣第 19 题「删除链表的倒数第 N 个结点」:

我们直接看解法代码:
// 主函数
public ListNode removeNthFromEnd(ListNode head, int n) {
// 虚拟头节点
ListNode dummy = new ListNode(-1);
dummy.next = head;
// 删除倒数第 n 个,要先找倒数第 n + 1 个节点
ListNode x = findFromEnd(dummy, n + 1);
// 删掉倒数第 n 个节点
x.next = x.next.next;
return dummy.next;
}
private ListNode findFromEnd(ListNode head, int k) {
// 代码见上文
}
这个逻辑就很简单了,要删除倒数第n个节点,就得获得倒数第n + 1个节点的引用,可以用我们实现的findFromEnd来操作。
不过注意我们又使用了虚拟头结点的技巧,也是为了防止出现空指针的情况,比如说链表总共有 5 个节点,题目就让你删除倒数第 5 个节点,也就是第一个节点,那按照算法逻辑,应该首先找到倒数第 6 个节点。但第一个节点前面已经没有节点了,这就会出错。
但有了我们虚拟节点dummy的存在,就避免了这个问题,能够对这种情况进行正确的删除。
单链表的中点
力扣第 876 题「链表的中间结点」就是这个题目,问题的关键也在于我们无法直接得到单链表的长度n,常规方法也是先遍历链表计算n,再遍历一次得到第n / 2个节点,也就是中间节点。
如果想一次遍历就得到中间节点,也需要耍点小聪明,使用「快慢指针」的技巧:
我们让两个指针slow和fast分别指向链表头结点head。
每当慢指针slow前进一步,快指针fast就前进两步,这样,当fast走到链表末尾时,slow就指向了链表中点。
上述思路的代码实现如下:
ListNode middleNode(ListNode head) {
// 快慢指针初始化指向 head
ListNode slow = head, fast = head;
// 快指针走到末尾时停止
while (fast != null && fast.next != null) {
// 慢指针走一步,快指针走两步
slow = slow.next;
fast = fast.next.next;
}
// 慢指针指向中点
return slow;
}
需要注意的是,如果链表长度为偶数,也就是说中点有两个的时候,我们这个解法返回的节点是靠后的那个节点。
另外,这段代码稍加修改就可以直接用到判断链表成环的算法题上。
判断链表是否包含环
判断单链表是否包含环属于经典问题了,解决方案也是用快慢指针:
每当慢指针slow前进一步,快指针fast就前进两步。
如果fast最终遇到空指针,说明链表中没有环;如果fast最终和slow相遇,那肯定是fast超过了slow一圈,说明链表中含有环。
只需要把寻找链表中点的代码稍加修改就行了:
boolean hasCycle(ListNode head) {
// 快慢指针初始化指向 head
ListNode slow = head, fast = head;
// 快指针走到末尾时停止
while (fast != null && fast.next != null) {
// 慢指针走一步,快指针走两步
slow = slow.next;
fast = fast.next.next;
// 快慢指针相遇,说明含有环
if (slow == fast) {
return true;
}
}
// 不包含环
return false;
}
当然,这个问题还有进阶版:如果链表中含有环,如何计算这个环的起点?

这里简单提一下解法:
ListNode detectCycle(ListNode head) {
ListNode fast, slow;
fast = slow = head;
while (fast != null && fast.next != null) {
fast = fast.next.next;
slow = slow.next;
if (fast == slow) break;
}
// 上面的代码类似 hasCycle 函数
if (fast == null || fast.next == null) {
// fast 遇到空指针说明没有环
return null;
}
// 重新指向头结点
slow = head;
// 快慢指针同步前进,相交点就是环起点
while (slow != fast) {
fast = fast.next;
slow = slow.next;
}
return slow;
}
可以看到,当快慢指针相遇时,让其中任一个指针指向头节点,然后让它俩以相同速度前进,再次相遇时所在的节点位置就是环开始的位置。
我们假设快慢指针相遇时,慢指针slow走了k步,那么快指针fast一定走了2k步:
fast一定比slow多走了k步,这多走的k步其实就是fast指针在环里转圈圈,所以k的值就是环长度的「整数倍」。
假设相遇点距环的起点的距离为m,那么结合上图的 slow 指针,环的起点距头结点head的距离为k - m,也就是说如果从head前进k - m步就能到达环起点。
巧的是,如果从相遇点继续前进k - m步,也恰好到达环起点。因为结合上图的 fast 指针,从相遇点开始走k步可以转回到相遇点,那走k - m步肯定就走到环起点了:
所以,只要我们把快慢指针中的任一个重新指向head,然后两个指针同速前进,k - m步后一定会相遇,相遇之处就是环的起点了。
两个链表是否相交
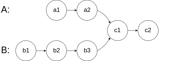
这个问题有意思,也是力扣第 160 题「相交链表」函数签名如下:
ListNode getIntersectionNode(ListNode headA, ListNode headB);
给你输入两个链表的头结点headA和headB,这两个链表可能存在相交。
如果相交,你的算法应该返回相交的那个节点;如果没相交,则返回 null。
比如题目给我们举的例子,如果输入的两个链表如下图:

那么我们的算法应该返回c1这个节点。
这个题直接的想法可能是用HashSet记录一个链表的所有节点,然后和另一条链表对比,但这就需要额外的空间。
如果不用额外的空间,只使用两个指针,你如何做呢?
难点在于,由于两条链表的长度可能不同,两条链表之间的节点无法对应:

如果用两个指针p1和p2分别在两条链表上前进,并不能同时走到公共节点,也就无法得到相交节点c1。
所以,解决这个问题的关键是,通过某些方式,让p1和p2能够同时到达相交节点c1。
所以,我们可以让p1遍历完链表A之后开始遍历链表B,让p2遍历完链表B之后开始遍历链表A,这样相当于「逻辑上」两条链表接在了一起。
如果这样进行拼接,就可以让p1和p2同时进入公共部分,也就是同时到达相交节点c1:

那你可能会问,如果说两个链表没有相交点,是否能够正确的返回 null 呢?
这个逻辑可以覆盖这种情况的,相当于c1节点是 null 空指针嘛,可以正确返回 null。
按照这个思路,可以写出如下代码:
ListNode getIntersectionNode(ListNode headA, ListNode headB) {
// p1 指向 A 链表头结点,p2 指向 B 链表头结点
ListNode p1 = headA, p2 = headB;
while (p1 != p2) {
// p1 走一步,如果走到 A 链表末尾,转到 B 链表
if (p1 == null) p1 = headB;
else p1 = p1.next;
// p2 走一步,如果走到 B 链表末尾,转到 A 链表
if (p2 == null) p2 = headA;
else p2 = p2.next;
}
return p1;
}
这样,这道题就解决了,空间复杂度为O(1),时间复杂度为O(N)。
以上就是单链表的所有技巧,希望对你有启发。
- 点赞
- 收藏
- 关注作者
评论(0)