用数组写水仙花数(算法高阶、数论算法)、验证二叉搜索树(树、深度优先搜索)、跳跃游戏 II(贪心、数组)
【摘要】 用数组写水仙花数(算法高阶、数论算法)定义一个整型数组 a[7],在控制台输入任意的 7 个整数给数组赋值,输出数组中所 有的“水仙花数”。“水仙花数”是指一个三位数其各位数字的立方和等于该数本身。解答:import java.util.Scanner;public class Test { public static void main(String[] args) { ...
用数组写水仙花数(算法高阶、数论算法)
定义一个整型数组 a[7],在控制台输入任意的 7 个整数给数组赋值,输出数组中所 有的“水仙花数”。“水仙花数”是指一个三位数其各位数字的立方和等于该数本身。
解答:
import java.util.Scanner;
public class Test {
public static void main(String[] args) {
Scanner in = new Scanner(System.in);
int arr[] = new int[7];
System.out.println("请输入7个三位数:");
for (int i = 0; i < arr.length; i++) {
arr[i] = in.nextInt();
}
System.out.println("数组中的水花仙数为:");
for (int i = 0; i < arr.length; i++) {
int x = arr[i] / 100;
int y = arr[i] / 10 % 10;
int z = arr[i] % 10;
if (arr[i] == x * x * x + y * y * y + z * z * z)
System.out.println(i);
}
}
}
验证二叉搜索树(树、深度优先搜索)
给你一个二叉树的根节点 root ,判断其是否是一个有效的二叉搜索树。
有效 二叉搜索树定义如下:
- 节点的左子树只包含** 小于 **当前节点的数。
- 节点的右子树只包含 大于 当前节点的数。
- 所有左子树和右子树自身必须也是二叉搜索树。
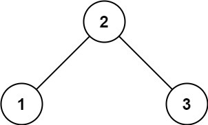
示例 1:

输入:root = [2,1,3] 输出:true
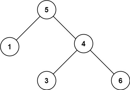
示例 2:

输入:root = [5,1,4,null,null,3,6] 输出:false 解释:根节点的值是 5 ,但是右子节点的值是 4 。
提示:
- 树中节点数目范围在[1, 104] 内
- -231 <= Node.val <= 231 - 1
解答:
public class TreeNode {
int val;
TreeNode left;
TreeNode right;
TreeNode(int x) {
val = x;
}
}
class Solution {
public boolean isValidBST(TreeNode root) {
if (root == null)
return true;
if (root.left == null && root.right == null) {
return true;
}
if (root.left != null) {
TreeNode cur = root.left;
while (cur.right != null) {
cur = cur.right;
}
if (cur.val >= root.val) {
return false;
}
}
if (root.right != null) {
TreeNode cur = root.right;
while (cur.left != null) {
cur = cur.left;
}
if (cur.val <= root.val) {
return false;
}
}
boolean left = isValidBST(root.left);
boolean right = isValidBST(root.right);
return left && right;
}
}
跳跃游戏 II(贪心、数组)
给定一个非负整数数组,你最初位于数组的第一个位置。
数组中的每个元素代表你在该位置可以跳跃的最大长度。
你的目标是使用最少的跳跃次数到达数组的最后一个位置。
示例:
输入: [2,3,1,1,4]
输出: 2
解释: 跳到最后一个位置的最小跳跃数是 2。从下标为 0 跳到下标为 1 的位置,跳 1 步,然后跳 3 步到达数组的最后一个位置。
说明:
假设你总是可以到达数组的最后一个位置。
解答:
class Solution {
public int jump(int[] nums) {
int end = 0;
int steps = 0;
int maxPosition = 0;
for (int i = 0; i < nums.length - 1; i++) {
maxPosition = Math.max(maxPosition, i + nums[i]);
if (i == end) {
end = maxPosition;
steps++;
}
}
return steps;
}
}
【声明】本内容来自华为云开发者社区博主,不代表华为云及华为云开发者社区的观点和立场。转载时必须标注文章的来源(华为云社区)、文章链接、文章作者等基本信息,否则作者和本社区有权追究责任。如果您发现本社区中有涉嫌抄袭的内容,欢迎发送邮件进行举报,并提供相关证据,一经查实,本社区将立刻删除涉嫌侵权内容,举报邮箱:
cloudbbs@huaweicloud.com
- 点赞
- 收藏
- 关注作者
评论(0)