求根节点到叶节点数字之和(树、深度优先搜索)、二叉树的中序遍历(栈、树)、2 的幂(位运算、递归)
求根节点到叶节点数字之和(树、深度优先搜索)
给你一个二叉树的根节点 root ,树中每个节点都存放有一个 0 到 9 之间的数字。
每条从根节点到叶节点的路径都代表一个数字:
- 例如,从根节点到叶节点的路径 1 -> 2 -> 3 表示数字 123 。
计算从根节点到叶节点生成的 所有数字之和 。
叶节点 是指没有子节点的节点。
示例 1:

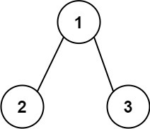
输入:root = [1,2,3]
输出:25
解释:
从根到叶子节点路径 1->2 代表数字 12
从根到叶子节点路径 1->3 代表数字 13
因此,数字总和 = 12 + 13 = 25
示例 2:

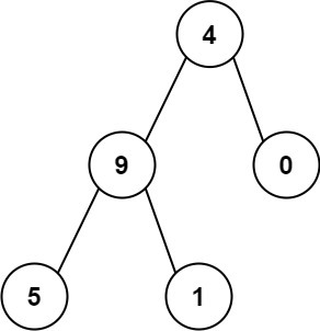
输入:root = [4,9,0,5,1]
输出:1026
解释: 从根到叶子节点路径 4->9->5 代表数字 495
从根到叶子节点路径 4->9->1 代表数字 491
从根到叶子节点路径 4->0 代表数字 40
因此,数字总和 = 495 + 491 + 40 = 1026
提示:
- 树中节点的数目在范围 [1, 1000] 内
- 0 <= Node.val <= 9
- 树的深度不超过 10
解答:
public class Solution {
public class TreeNode {
int val;
TreeNode left;
TreeNode right;
TreeNode() {
}
TreeNode(int val) {
this.val = val;
}
TreeNode(int val, TreeNode left, TreeNode right) {
this.val = val;
this.left = left;
this.right = right;
}
}
StringBuffer tempPath = new StringBuffer();
int sum = 0;
public void dfs(TreeNode root) {
char c = (char) (root.val + '0');
tempPath.append(c);
if (root.left == null && root.right == null) {
String s = tempPath.toString();
int num = Integer.valueOf(s);
sum += num;
}
if (root.left != null) {
dfs(root.left);
tempPath.delete(tempPath.length() - 1, tempPath.length());
}
if (root.right != null) {
dfs(root.right);
tempPath.delete(tempPath.length() - 1, tempPath.length());
}
}
public int sumNumbers(TreeNode root) {
dfs(root);
return sum;
}
}
二叉树的中序遍历(栈、树)
给定一个二叉树的根节点 root ,返回它的 中序 遍历。
示例 1:

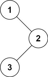
输入:root = [1,null,2,3]
输出:[1,3,2]
示例 2:
输入:root = []
输出:[]
示例 3:
输入:root = [1]
输出:[1]
示例 4:

输入:root = [1,2]
输出:[2,1]
示例 5:

输入:root = [1,null,2]
输出:[1,2]
提示:
- 树中节点数目在范围 [0, 100] 内
- -100 <= Node.val <= 100
进阶: 递归算法很简单,你可以通过迭代算法完成吗?
解答:
public class TreeNode {
int val;
TreeNode left;
TreeNode right;
TreeNode(int x) {
val = x;
}
}
class Solution {
public List<Integer> inorderTraversal(TreeNode root) {
List<Integer> list = new ArrayList<>();
Stack<TreeNode> stack = new Stack<>();
TreeNode cur = root;
while (cur != null || !stack.isEmpty()) {
if (cur != null) {
stack.push(cur);
cur = cur.left;
} else {
cur = stack.pop();
list.add(cur.val);
cur = cur.right;
}
}
return list;
}
}
2 的幂(位运算、递归)
给你一个整数 n,请你判断该整数是否是 2 的幂次方。如果是,返回 true ;否则,返回 false 。
如果存在一个整数 x 使得 n == 2x ,则认为 n 是 2 的幂次方。
示例 1:
输入:n = 1 输出:true 解释:20 = 1
示例 2:
输入:n = 16 输出:true 解释:24 = 16
示例 3:
输入:n = 3 输出:false
示例 4:
输入:n = 4 输出:true
示例 5:
输入:n = 5 输出:false
提示:
- -231 <= n <= 231 - 1
**进阶:**你能够不使用循环/递归解决此问题吗?
解答:
class Solution {
public boolean isPowerOfTwo(int n) {
if (n <= 0)
return false;
return countBit(n) == 1;
}
public int countBit(int num) {
int count = 0;
while (num != 0) {
count += (num & 1);
num >>= 1;
}
return count;
}
}
本文内容到此结束了,
如有收获欢迎点赞👍收藏💖关注✔️,您的鼓励是我最大的动力。
如有错误❌疑问💬欢迎各位大佬指出。
保持热爱,奔赴下一场山海。🏃🏃🏃
- 点赞
- 收藏
- 关注作者
评论(0)